A Study of the Pyrolysis Products of Kraft Lignin
Abstract
:1. Introduction
2. Materials and Methods
2.1. Materials
2.2. Fresh Lignin Characterization Procedures
2.3. Pyrolysis Setup
2.4. Extraction Procedures
2.5. Equipment and Characterization Procedures
3. Results and Discussions
3.1. Characterization of Fresh Lignin
3.2. Effect of Reaction Temperature on Product Distribution
3.3. Solid Residue (Biochar) Characterization
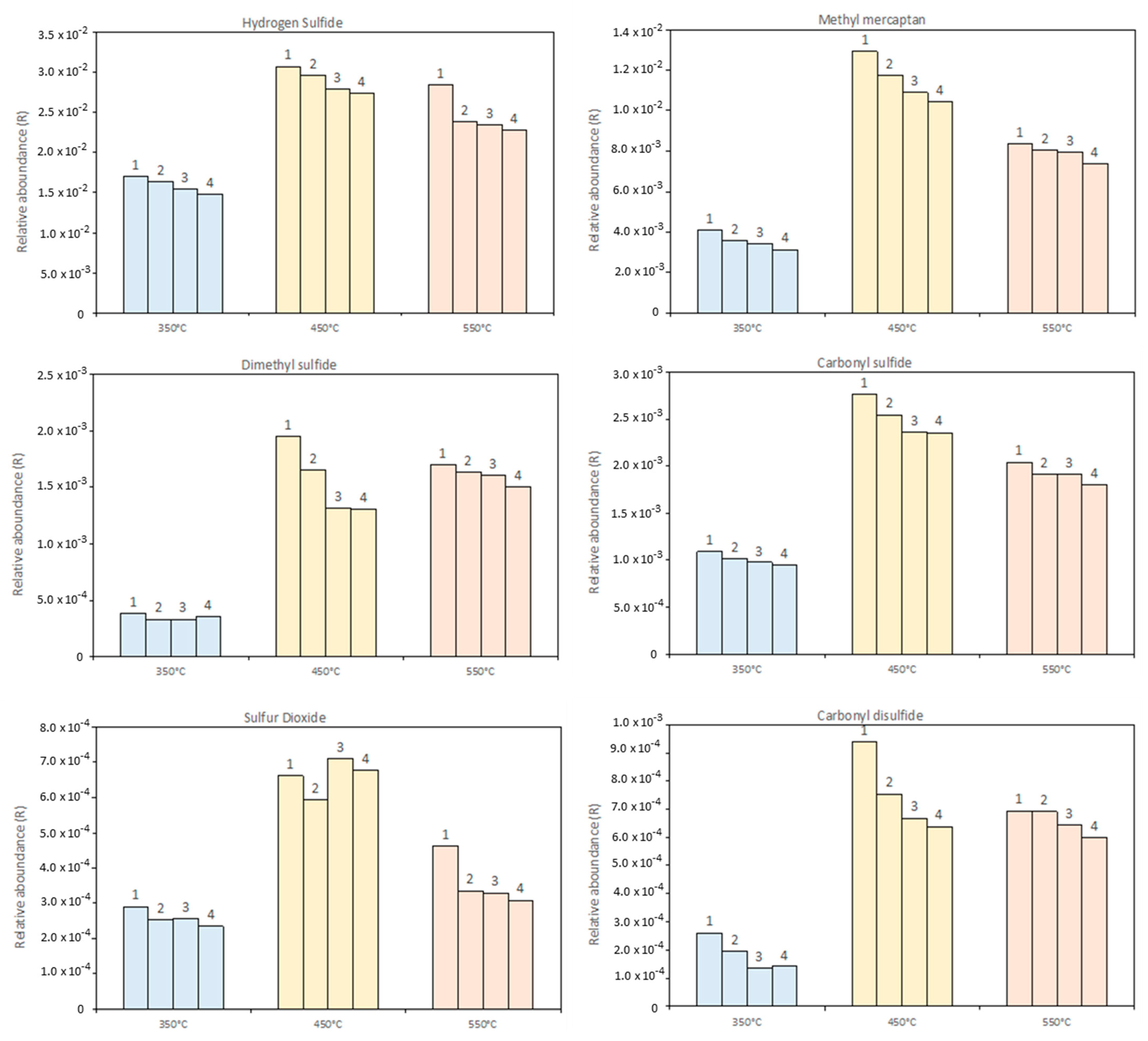
3.4. Gas Products Characterization
3.5. Liquid Products Characterization
4. Conclusions
Author Contributions
Funding
Institutional Review Board Statement
Informed Consent Statement
Data Availability Statement
Conflicts of Interest
References
- Spennati, E.; Casazza, A.A.; Converti, A.; Busca, G. Thermocatalytic Pyrolysis of Exhausted Arthrospira Platensis Biomass after Protein or Lipid Recovery. Energies 2020, 13, 5246. [Google Scholar] [CrossRef]
- Azadi, P.; Inderwildi, O.R.; Farnood, R.; King, D.A. Liquid Fuels, Hydrogen and Chemicals from Lignin: A Critical Review. Renew. Sustain. Energy Rev. 2013, 21, 506–523. [Google Scholar] [CrossRef]
- Kang, S.; Li, X.; Fan, J.; Chang, J. Hydrothermal Conversion of Lignin: A Review. Renew. Sustain. Energy Rev. 2013, 27, 546–558. [Google Scholar] [CrossRef]
- Kawamoto, H. Lignin Pyrolysis Reactions. J. Wood Sci. 2017, 63, 117–132. [Google Scholar] [CrossRef] [Green Version]
- Vavilala, S.L.; Ghag, S.B.; D’Souza, J.S. Lignin: Understanding and Exploring Its Potential for Biofuel Production; Elsevier Inc.: Amsterdam, The Netherlands, 2019; ISBN 9780128179413. [Google Scholar]
- Zevallos Torres, L.A.; Lorenci Woiciechowski, A.; de Andrade Tanobe, V.O.; Karp, S.G.; Guimarães Lorenci, L.C.; Faulds, C.; Soccol, C.R. Lignin as a Potential Source of High-Added Value Compounds: A Review. J. Clean. Prod. 2020, 263, 121499. [Google Scholar] [CrossRef]
- Gellerstedt, G. Softwood Kraft Lignin: Raw Material for the Future. Ind. Crop. Prod. 2015, 77, 845–854. [Google Scholar] [CrossRef]
- Qiao, Y.; Wang, B.; Ji, Y.; Xu, F.; Zong, P.; Zhang, J.; Tian, Y. Thermal Decomposition of Castor Oil, Corn Starch, Soy Protein, Lignin, Xylan, and Cellulose during Fast Pyrolysis. Bioresour. Technol. 2019, 278, 287–295. [Google Scholar] [CrossRef]
- Liu, X.; Wang, T.; Chu, J.; He, M.; Li, Q.; Zhang, Y. Understanding Lignin Gasification in Supercritical Water Using Reactive Molecular Dynamics Simulations. Renew. Energy 2020, 161, 858–866. [Google Scholar] [CrossRef]
- Dou, X.; Li, W.; Zhu, C. Catalytic Hydrotreatment of Kraft Lignin into Liquid Fuels over Porous ZnCoOx Nanoplates. Fuel 2021, 283, 118801. [Google Scholar] [CrossRef]
- Güvenatam, B.; Kurşun, O.; Heeres, E.H.J.; Pidko, E.A.; Hensen, E.J.M. Hydrodeoxygenation of Mono- and Dimeric Lignin Model Compounds on Noble Metal Catalysts. Catal. Today 2014, 233, 83–91. [Google Scholar] [CrossRef]
- Xu, A.; Guo, X.; Zhang, Y.; Li, Z.; Wang, J. Efficient and Sustainable Solvents for Lignin Dissolution: Aqueous Choline Carboxylate Solutions. Green Chem. 2017, 19, 4067–4073. [Google Scholar] [CrossRef]
- Xu, A.; Chen, L.; Xu, X.; Xiao, Z.; Liu, R.; Gao, R.; Yuan, M.; Zhang, L. Recyclable Choline Nicotinate and Ferulate Aqueous Solutions as Efficient Lignin Solvents. Polymers 2018, 10, 840. [Google Scholar] [CrossRef] [PubMed] [Green Version]
- Hart, W.E.S.; Harper, J.B.; Aldous, L. The Effect of Changing the Components of an Ionic Liquid upon the Solubility of Lignin. Green Chem. 2015, 17, 214–218. [Google Scholar] [CrossRef] [Green Version]
- Pandey, M.P.; Kim, C.S. Lignin Depolymerization and Conversion: A Review of Thermochemical Methods. Chem. Eng. Technol. 2011, 34, 29–41. [Google Scholar] [CrossRef]
- Nanda, S.; Mohammad, J.; Reddy, S.N.; Kozinski, J.A.; Dalai, A.K. Pathways of Lignocellulosic Biomass Conversion to Renewable Fuels. Biomass Convers. Biorefin. 2014, 4, 157–191. [Google Scholar] [CrossRef]
- Jegers, H.E.; Klein, M.T. Primary and Secondary Lignin Pyrolysis Reaction Pathways. Ind. Eng. Chem. Process Des. Dev. 1985, 24, 173–183. [Google Scholar] [CrossRef]
- Busca, G. Production of Gasolines and Monocyclic Aromatic Hydrocarbons: From Fossil Raw Materials to Green Processes. Energies 2021, 14, 4061. [Google Scholar] [CrossRef]
- Wang, X.; Du, B.; Pu, L.; Guo, Y.; Li, H.; Zhou, J. Effect of Particle Size of HZSM-5 Zeolite on the Catalytic Depolymerization of Organosolv Lignin to Phenols. J. Anal. Appl. Pyrolysis 2018, 129, 13–20. [Google Scholar] [CrossRef]
- Shu, R.; Xu, Y.; Ma, L.; Zhang, Q.; Wang, C.; Chen, Y. Controllable Production of Guaiacols and Phenols from Lignin Depolymerization Using Pd/C Catalyst Cooperated with Metal Chloride. Chem. Eng. J. 2018, 338, 457–464. [Google Scholar] [CrossRef]
- Lago, A.; Hernando, H.; Moreno, J.M.; Serrano, D.P.; Fermoso, J. Valorisation of a Lignin-Rich Residue via Catalytic Pyrolysis over ZrO2/ZSM-5 Technical Catalyst. Fuel Process. Technol. 2021, 215, 106746. [Google Scholar] [CrossRef]
- Feng, Y.; Li, G.; Li, X.; Zhu, N.; Xiao, B.; Li, J.; Wang, Y. Enhancement of Biomass Conversion in Catalytic Fast Pyrolysis by Microwave-Assisted Formic Acid Pretreatment. Bioresour. Technol. 2016, 214, 520–527. [Google Scholar] [CrossRef]
- Wang, W.; Wang, M.; Huang, J.; Zhao, X.; Su, Y.; Wang, Y.; Li, X. Formate-Assisted Analytical Pyrolysis of Kraft Lignin to Phenols. Bioresour. Technol. 2019, 278, 464–467. [Google Scholar] [CrossRef]
- Joshi, P.; Mishra, R.; Narayan, R.J. Biosensing Applications of Carbon-Based Materials. Curr. Opin. Biomed. Eng. 2021, 18, 100274. [Google Scholar] [CrossRef]
- Ház, A.; Jablonský, M.; Šurina, I.; Kačík, F.; Bubeníková, T.; Ďurkovič, J. Chemical Composition and Thermal Behavior of Kraft Lignins. Forests 2019, 10, 483. [Google Scholar] [CrossRef] [Green Version]
- Farzin, S.; Johnson, T.J.; Chatterjee, S.; Zamani, E.; Dishari, S.K. Ionomers from Kraft Lignin for Renewable Energy Applications. Front. Chem. 2020, 8, 690. [Google Scholar] [CrossRef]
- Latham, K.G.; Matsakas, L.; Figueira, J.; Rova, U.; Christakopoulos, P.; Jansson, S. Examination of How Variations in Lignin Properties from Kraft and Organosolv Extraction Influence the Physicochemical Characteristics of Hydrothermal Carbon. J. Anal. Appl. Pyrolysis 2021, 155, 105095. [Google Scholar] [CrossRef]
- Rashid, T.; Kait, C.F.; Murugesan, T. A “Fourier Transformed Infrared” Compound Study of Lignin Recovered from a Formic Acid Process. Procedia Eng. 2016, 148, 1312–1319. [Google Scholar] [CrossRef] [Green Version]
- Boeriu, C.G.; Bravo, D.; Gosselink, R.J.A.; van Dam, J.E.G. Characterisation of Structure-Dependent Functional Properties of Lignin with Infrared Spectroscopy. Ind. Crop. Prod. 2004, 20, 205–218. [Google Scholar] [CrossRef]
- AOAC. Official Methods of Analysis of the AOAC International, 17th ed.; AOAC: Gaithersburg, MD, USA, 2000. [Google Scholar]
- Setter, C.; Sanchez Costa, K.L.; Pires de Oliveira, T.J.; Farinassi Mendes, R. The Effects of Kraft Lignin on the Physicomechanical Quality of Briquettes Produced with Sugarcane Bagasse and on the Characteristics of the Bio-Oil Obtained via Slow Pyrolysis. Fuel Process. Technol. 2020, 210, 106561. [Google Scholar] [CrossRef]
- Cuong, D.V.; Matsagar, B.M.; Lee, M.; Hossain, M.S.A.; Yamauchi, Y.; Vithanage, M.; Sarkar, B.; Ok, Y.S.; Wu, K.C.W.; Hou, C.H. A Critical Review on Biochar-Based Engineered Hierarchical Porous Carbon for Capacitive Charge Storage. Renew. Sustain. Energy Rev. 2021, 145, 111029. [Google Scholar] [CrossRef]
- Chen, L.; Yuan, J.; Li, T.; Jiang, X.; Ma, S.; Cen, W.; Jiang, W. A Regenerable N-Rich Hierarchical Porous Carbon Synthesized from Waste Biomass for H2S Removal at Room Temperature. Sci. Total Environ. 2021, 768, 144452. [Google Scholar] [CrossRef] [PubMed]
- Casazza, A.A.; Aliakbarian, B.; Lagazzo, A.; Garbarino, G.; Carnasciali, M.M.; Perego, P.; Busca, G. Pyrolysis of Grape Marc before and after the Recovery of Polyphenol Fraction. Fuel Process. Technol. 2016, 153, 121–128. [Google Scholar] [CrossRef]
- Yan, Q.; Arango, R.; Li, J.; Cai, Z. Fabrication and Characterization of Carbon Foams Using 100% Kraft Lignin. Mater. Des. 2021, 201, 109460. [Google Scholar] [CrossRef]
- Cadet, F.; Robert, C.; Offmann, B. Simultaneous Determination of Sugars by Multivariate Analysis Applied to Mid-Infrared Spectra of Biological Samples. Appl. Spectrosc. 1997, 51, 369–375. [Google Scholar] [CrossRef]
- Phung, T.K.; Casazza, A.A.; Perego, P.; Capranica, P.; Busca, G. Catalytic Pyrolysis of Vegetable Oils to Biofuels: Catalyst Functionalities and the Role of Ketonization on the Oxygenate Paths. Fuel Process. Technol. 2015, 140, 119–124. [Google Scholar] [CrossRef]
- Casazza, A.A.; Spennati, E.; Converti, A.; Busca, G. Study on the Thermal Decomposition of Plastic Residues. Chem. Eng. Trans. 2019, 74, 1141–1146. [Google Scholar] [CrossRef]
- Liu, C.; Zhang, R.; Wei, S.; Wang, J.; Liu, Y.; Li, M.; Liu, R. Selective Removal of H2S from Biogas Using a Regenerable Hybrid TiO2/Zeolite Composite. Fuel 2015, 157, 183–190. [Google Scholar] [CrossRef]
- Cheah, S.; Carpenter, D.L.; Magrini-Bair, K.A. Review of Mid- to High-Temperature Sulfur Sorbents for Desulfurization of Biomass- and Coal-Derived Syngas. Energy Fuels 2009, 23, 5291–5307. [Google Scholar] [CrossRef]
- Ma, H.; Zhou, L.; Lv, S.; Chew, J.W.; Wang, Z. Review on Reaction Mechanisms of Sulfur Species during Coal Combustion. J. Energy Resour. Technol. Trans. ASME 2019, 141, 1–7. [Google Scholar] [CrossRef]
- Sokolova, T.A.; Alekseeva, S.A. Adsorption of Sulfate Ions by Soils (a Review). Eurasian Soil Sci. 2008, 41, 140–148. [Google Scholar] [CrossRef]
- Zeelani, G.G.; Pal, S.L. A Review on Desulfurization Techniques of Liquid Fuels. Int. J. Sci. Res. IJSR 2016, 5, 2413–2419. [Google Scholar] [CrossRef]












| Pyrolysis Temperature | C (%) | O (%) | Na (%) | S (%) |
|---|---|---|---|---|
| As received | 67.1 | 31.6 | 0.2 | 1.1 |
| 300 °C | 70.2 | 28.6 | 0.5 | 0.7 |
| 350 °C | 73.7 | 24.6 | 0.5 | 1.3 |
| 450 °C | 82.0 | 16.2 | 0.5 | 1.3 |
| 550 °C | 89.8 | 7.7 | 0.7 | 1.9 |
| 450 °C | 550 °C | ||||
|---|---|---|---|---|---|
| Compound Name | Chloroform | Ethanol/Water | NaOH/Water | Chloroform | NaOH/Water |
| Furfural | 0.57 | 0.36 | 3.11 | 0.32 | 3.35 |
| EthylBenzene | 0.18 | 0.16 | 1.33 | 0.16 | 1.81 |
| o-Xylene, Benzene, p-Xylene | 0.10 | 0.11 | 1.15 | 0.16 | 2.25 |
| styrene | 0.09 | − | 1.32 | 0.09 | 1.23 |
| propanal 3 methyl thiol | 0.11 | − | 1.40 | 0.10 | 1.06 |
| Phenol 2-methoxy or 4-methoxy | 19.35 | 11.43 | 2.08 | 8.66 | 1.50 |
| disulfide, methyl (methyl thio) methyl | 0.39 | 0.27 | 4.73 | 0.01 | 2.88 |
| 2 methoxy-6-methyl Phenol | 1.21 | 1.11 | 2.18 | 0.94 | 1.57 |
| 3 methoxy-5-methyl Phenol | 34.05 | 23.70 | 13.43 | 16.57 | 8.72 |
| 1-2 Benzenediol | 2.11 | 1.72 | − | 2.65 | 0.67 |
| 3,4 dimethoxy Toluene | 0.24 | 0.31 | 4.05 | 0.52 | 3.31 |
| 2 ethoxy methyl phenol | 1.02 | 1.59 | − | 1.55 | 0.94 |
| Phenol 4 ethyl 2-methoxy | 14.41 | 10.59 | 23.10 | 8.84 | 17.92 |
| 1-2 Benzendiol 4-methyl | 1.30 | 1.94 | − | 3.58 | − |
| 2-methoxy-4-vinilphenol | 0.85 | 1.81 | − | 2.51 | − |
| benzene 4 ethyl 1-2 di methoxy | 0.17 | 0.36 | 1.34 | 0.28 | 0.88 |
| Eugenol | 0.99 | 1.62 | 3.81 | 1.13 | 1.76 |
| Benzene, 4-ethyl-1,2-dimethoxy- | 0.41 | 0.77 | 5.57 | 0.78 | 33.87 |
| phenol 2-methoxy-4-propyl | 1.15 | 2.38 | 9.74 | 1.88 | 7.19 |
| 4-ethyl cathecol | 0.56 | 0.97 | − | 1.66 | − |
| vanillin | 1.18 | 1.85 | − | 1.40 | − |
| phenol 2 methoxy-4-propenyl | 0.59 | 1.47 | 1.51 | 1.45 | 1.05 |
| 1,4-benzenediol, 2,3,5, trimethyl | − | − | 1.49 | 0.29 | − |
| phenol 2 methoxy-4-propenyl | 4.05 | 6.51 | 5.19 | 5.04 | 3.71 |
| Ethanone (1-3 hydroxy-4-methoxyphenyl) | 1.29 | 2.60 | − | 3.22 | − |
| 1-2 dimethoxy 4 n propyl benzene | 0.11 | 0.27 | 1.07 | 0.58 | − |
| 2-propanone (1-3 hydroxy-4-methoxyphenyl) | 0.29 | 1.99 | − | 1.88 | − |
| 3 ethoxy 4 methoxy benzaldehyde | 0.58 | 1.18 | − | 1.27 | − |
| 4-(3-methoxy phenyl) propylcyanide | − | − | 2.45 | − | − |
| methyl 2-hydroxy-3-ethoxyBenzylEther | 1.50 | 3.25 | − | 3.65 | − |
| L-4-Hydroxy-3-methoxyphenylalanine | 0.11 | 0.22 | 1.30 | 0.24 | − |
| 2-isopropyl-10-methyphenantrene | 0.24 | 0.49 | 1.38 | 1.71 | 1.36 |
| 1,1′-Biphenyl, 2,2′-dimethyl-6,6′-dinitro- | 0.43 | 0.68 | − | 2.34 | − |
| Phenol, 2-methoxy-4-propyl- | 1.38 | 4.56 | − | 4.31 | − |
| Phenantrene carboxylic acid | 0.33 | 0.72 | 3.07 | 1.01 | 0.94 |
| Phenol, 2-methoxy-4-propyl- | 0.37 | 1.22 | − | 0.98 | − |
| 4 diethyl aminophenyl isothiocyanate | 0.58 | 1.70 | − | 1.81 | − |
| Phenantrene carboxylic acid | 0.37 | 0.82 | − | 2.12 | − |
| Phenol, 2-methoxy-4-Propyl- | 0.27 | 0.83 | − | 1.01 | − |
Publisher’s Note: MDPI stays neutral with regard to jurisdictional claims in published maps and institutional affiliations. |
© 2022 by the authors. Licensee MDPI, Basel, Switzerland. This article is an open access article distributed under the terms and conditions of the Creative Commons Attribution (CC BY) license (https://creativecommons.org/licenses/by/4.0/).
Share and Cite
Borella, M.; Casazza, A.A.; Garbarino, G.; Riani, P.; Busca, G. A Study of the Pyrolysis Products of Kraft Lignin. Energies 2022, 15, 991. https://doi.org/10.3390/en15030991
Borella M, Casazza AA, Garbarino G, Riani P, Busca G. A Study of the Pyrolysis Products of Kraft Lignin. Energies. 2022; 15(3):991. https://doi.org/10.3390/en15030991
Chicago/Turabian StyleBorella, Matteo, Alessandro A. Casazza, Gabriella Garbarino, Paola Riani, and Guido Busca. 2022. "A Study of the Pyrolysis Products of Kraft Lignin" Energies 15, no. 3: 991. https://doi.org/10.3390/en15030991
APA StyleBorella, M., Casazza, A. A., Garbarino, G., Riani, P., & Busca, G. (2022). A Study of the Pyrolysis Products of Kraft Lignin. Energies, 15(3), 991. https://doi.org/10.3390/en15030991

