Participation of Aggregated DERs to the Ancillary Services Market: A Monte Carlo Simulation-Based Heuristic Greedy-Indexing Model
Abstract
:1. Introduction
- Counteracting the problem of number and small size of involved power plants, which causes DERs to be often unmanageable and “invisible” to the Transmission System Operator (TSO), by aggregating them into bigger market entities, able to deliver electricity with dispatchable and controllable production schedules.
- Reducing the costs arising on the Ancillary Services Market (ASM) for the collection of the regulation services required to ensure to the power system an adequate degree of reliability (operation performed, for example, by relaxing the restrictions on technical requirements to get access to the market, with the purpose to involve new subjects, e.g., DERs) [2].
2. The Proposed Approach
2.1. Enabled Virtual Unit Portfolio Definition
2.2. DAM Commitments and Schedule Forecasts
2.3. Reserve Bidding
- minimizing the imbalances with respect to the DAM schedule, defined in Equation (1);
- maintaining at a predetermined reference value the battery SoC (), assumed equal to 50% of ESS rated capacity.
- is the State of Charge of the ESS at time ;
- is the ESS set level, assumed equal to half of its capacity to consider symmetric up/downward regulating bands;
- Finally, the ESS round trip efficiency is defined as:
- and are the expected net earnings from up and downward regulation, respectively;
- is the cost of wearing down the batteries, calculated as
2.4. Market Commitment
2.5. Real-Time Operation
- exploiting the CHP flexibility;
- activating the ESS;
- reducing the energy generated by the RES (i.e., energy curtailment);
- maintaining the residual imbalance.
- Costs (earnings) deriving from the regulation performed through the ESS ();
- Costs (earnings) deriving from the regulation performed through the CHP ();
- Cost of NDRES curtailment ();
- Costs of residual imbalance ().
2.5.1. Cost and Availability of ESS Regulation
2.5.2. Cost and Availability of CHP Regulation
2.5.3. Cost and Availability of NDRES Curtailment
2.5.4. Cost of Residual Imbalance
2.5.5. Selection of the Best Control Action
3. Case Study
4. Numerical Results
4.1. EVUs Generation
- total energy produced by NDRES power plants of the EVU over the year ();
- total imbalances () and average nonzero ( ) imbalance to grid ;
- average relative imbalance calculated with respect to the energy sold on the DAM ;
- total revenues in the considered period ;
- total revenues in the ideal scenario , i.e., assuming a perfect day-ahead forecasting of EVU production.
4.2. Discussion on Test Results
- No Reg scenario: in this configuration, no regulation is performed by the Heuristic Greedy-Indexing; this scenario is used as a benchmark to compare results.
- C scenario: only the CHP power plant (sized ) is considered as regulating unit in the EVU, providing imbalance relief, secondary and replacement frequency reserve.
- C(RR) scenario: CHP regulation is limited to imbalance relief and replacement reserve.
- S scenario: ESS (sized 20% of EVU total rated power: 2 MW/8 MWh) is used to adjust the EVU power profile and to supply ancillary services to the power system.
- S(RR) scenario: only energy imbalance correction and replacement reserve are provided through the ESS (20% of EVU’s rated power).
- C+S scenario: the regulation is supplied by both CHP and ESS units, each one sized according to the above-mentioned criteria.
- C+S-half scenario: CHP and ESS are used, each one sized half than in the previous scenarios ( and ).
- C+S(RR) scenario: ESS regulation is limited to imbalance correction and replacement reserve, while CHP also supplies secondary reserve.
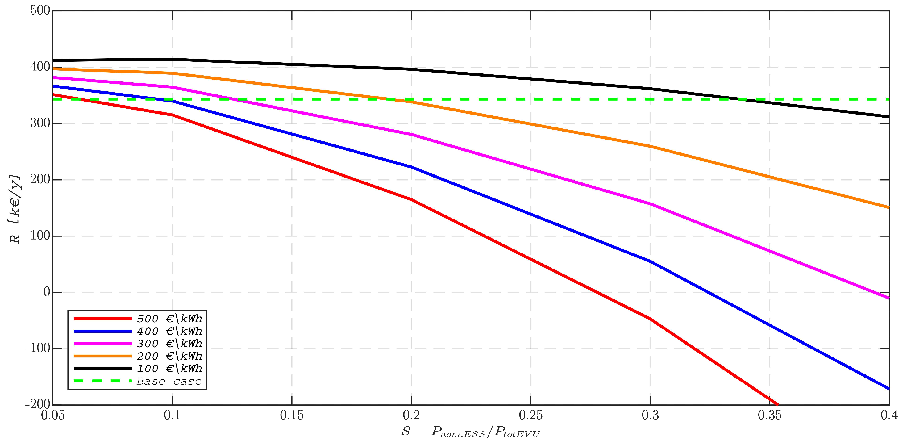
5. Sensitivity Analysis
6. Conclusions
Author Contributions
Funding
Institutional Review Board Statement
Informed Consent Statement
Data Availability Statement
Acknowledgments
Conflicts of Interest
Nomenclature
| Acronyms: | |
| Ancillary Services | |
| Ancillary Services Market | |
| Costs | |
| Cash Flow | |
| Combined Heat and Power | |
| Day-Ahead Market | |
| Distributed Energy Resources | |
| Energy Storage System | |
| Enabled Virtual Unit | |
| Hydro Power | |
| Non-Dispatchable Renewable Energy Sources | |
| PhotoVoltaic | |
| Revenues | |
| Replacement Reserve | |
| State of Charge | |
| Secondary Reserve | |
| Transmission System Operator | |
| Wind Turbine | |
| Parameters and Variables: | |
| Quantities bid in a RR/SR market session | |
| Cost of the regulation performed by the CHP/NDRES curtailment/ESS | |
| Average cost expected on future ASM sessions | |
| Fuel cost of the CHP generator | |
| Total cash flow of the EVU | |
| Cash flows related to imbalance | |
| Cost of residual imbalance (total/per unit of energy) | |
| Investment cost per unit of power capacity of the ESS | |
| Battery wearing cost (total/per unit of energy) | |
| Timestep of the simulation | |
| Energy available by the k-th regulation action (up/downward regulation) | |
| Energy available by the CHP/ESS unit for up/downward regulation | |
| Energy sold on the DAM | |
| Energy exchanged by the CHP/ESS unit | |
| Energy exchanged through the k-th regulation action (up/downward regulation) | |
| Residual imbalance | |
| Residual imbalance (average/relative/total value) | |
| Threshold of the Monte Carlo stopping criterion | |
| Nominal ESS capacity | |
| Energy produced by the NDRES | |
| Total energy required to fulfill the market commitments (up/downward regulation) | |
| Energy required to fulfill the commitments for RR/SR service (up/downward regulation) | |
| Bidding price of the RR/SR service (up/downward regulation) | |
| Set level for the ESS state of charge | |
| ESS charge/discharge efficiency | |
| ESS round trip efficiency | |
| Factor modulating bid price aggressiveness (up/downward regulation) | |
| Factor modulating the aggressiveness of the SR service offering process (up/downward reserve) | |
| Number of expected storage cycles at DoD = 80% | |
| Up/downward band available for the ASM bidding | |
| CHP residual up/downward flexibility bands | |
| DAM power schedule | |
| DAM clearing price | |
| Error correction in bidding | |
| Power forecast used in the DAM | |
| Power absorbed by the industrial load supplied by the CHP generator | |
| Technical limit for charging/discharging power of the ESS | |
| Maximum price accepted in the ASM for upward service | |
| Minimum price accepted in the ASM for downward service | |
| CHP minimum admissible power production | |
| Nominal power of the CHP/NDRES/ESS unit | |
| Power required to bring the ESS to the set level | |
| Total rated power of the EVU | |
| Updated power forecast used in the ASM | |
| Historical AS prices for the X service | |
| Quantities accepted on the market for RR/SR service (up/downward regulation) | |
| Average quantity accepted on the market for RR/SR service (up/downward regulation) | |
| Revenues from DAM | |
| Cost avoided for the imbalance correction | |
| Revenues relevant in the ideal scenario (perfect forecast) | |
| Revenues from the provision of RR/SR service | |
| Secondary regulation control signal | |
| Imbalance zonal sign | |
| Power statistical distribution of NDRES | |
| Technology statistical distribution of NDRES | |
References
- Steele, A.J.H.; Burnett, J.W.; Bergstrom, J.C. The impact of variable renewable energy resources on power system reliability. Energy Policy 2021, 151, 111947. [Google Scholar] [CrossRef]
- Rancilio, G.; Rossi, A.; Falabretti, D.; Galliani, A.; Merlo, M. Ancillary services markets in europe: Evolution and regulatory trade-offs. Renew. Sustain. Energy Rev. 2021, 154, 111850. [Google Scholar] [CrossRef]
- Italian Energy Authority (ARERA). Resolution 300/2017/r/eel. May 2017. Available online: https://www.arera.it/it/docs/17/300-17.htm (accessed on 28 December 2021).
- Orths, A.G.; Eriksen, P.B. European test field: VPP Denmark. In Proceedings of the 2009 IEEE Power & Energy Society General Meeting, Piscataway, NJ, USA, 26–30 July 2009; Volume 9, pp. 1–5. [Google Scholar]
- Mashhour, E.; Tafreshi, S.M.M. Bidding Strategy of Virtual Power Plant for Participating in Energy and Spinning Reserve Markets—Part I: Problem Formulation. IEEE Trans. Power Syst. 2011, 26, 949–956. [Google Scholar] [CrossRef]
- Trovato, V.; Kantharaj, B. Energy storage behind-the-meter with renewable generators: Techno-economic value of optimal imbalance management. Int. J. Electr. Power Energy Syst. 2020, 118, 105813. [Google Scholar] [CrossRef]
- Kardakos, E.G.; Simoglou, C.K.; Bakirtzis, A.G. Optimal Offering Strategy of a Virtual Power Plant: A Stochastic Bi-Level Approach. IEEE Trans. Smart Grid 2015, 7, 794. [Google Scholar] [CrossRef]
- Nezamabadi, H.; Nazar, M.S. Arbitrage strategy of virtual power plants in energy, spinning reserve and reactive power markets. IET Gener. Transm. Distrib. 2016, 10, 750–763. [Google Scholar] [CrossRef]
- Yang, D.; He, S.; Wang, M.; Pandzic, H. Bidding Strategy for Virtual Power Plant Considering the Large-Scale Integrations of Electric Vehicles. IEEE Trans. Ind. Appl. 2020, 56, 5890–5900. [Google Scholar] [CrossRef]
- Yuan, Y.; Wei, Z.; Sun, G.; Sun, Y.; Wang, D. A real-time optimal generation cost control method for virtual power plant. Neurocomputing 2014, 143, 322–330. [Google Scholar] [CrossRef]
- Zapata, J.; Vandewalle, J.; D’Haeseleer, W. A comparative study of imbalance reduction strategies for virtual power plant operation. Appl. Therm. Eng. 2014, 71, 847–857. [Google Scholar] [CrossRef]
- Mashhour, E.; Tafreshi, S.M.M. Bidding Strategy of Virtual Power Plant for Participating in Energy and Spinning Reserve Markets—Part II: Numerical Analysis. IEEE Trans. Power Syst. 2010, 26, 957–964. [Google Scholar] [CrossRef]
- Logenthiran, T.; Srinivasan, D.; Khambadkone, A.; Raj, T.S. Optimal sizing of Distributed Energy Resources for integrated microgrids using Evolutionary Strategy. In 2012 IEEE Congress on Evolutionary Computation; Institute of Electrical and Electronics Engineers (IEEE): Piscataway, NJ, USA, 2012; pp. 1–8. [Google Scholar]
- Maity, S.; Paul, S.; Karbouj, H.; Rather, Z.H. Optimal Sizing and Placement of Wind Farm in a Radial Distribution Network Considering Reliability, Operational, Economic and Environmental Factors. IEEE Trans. Power Deliv. 2021, 36, 3043–3054. [Google Scholar] [CrossRef]
- Petersen, M.K.; Hansen, L.H.; Bendtsen, J.D.; Edlund, K.; Stoustrup, J. Heuristic Optimization for the Discrete Virtual Power Plant Dispatch Problem. IEEE Trans. Smart Grid 2014, 5, 2910–2918. [Google Scholar] [CrossRef]
- Gulotta, F.; Rancilio, G.; Blaco, A.; Bovera, F.; Merlo, M.; Moncecchi, M.; Falabretti, D. E-Mobility Scheduling for the Provision of Ancillary Services to the Power System. Int. J. Electr. Electron. Eng. Telecommun. 2020, 9, 349–355. [Google Scholar] [CrossRef]
- Ke, X.D.; Wu, D.; Lu, N. A Real-Time Greedy-Index Dispatching Policy for Using PEVs to Provide Frequency Regulation Service. IEEE Trans. Smart Grid 2019, 10, 864–877. [Google Scholar] [CrossRef]
- Shi, H.; Blaauwbroek, N.; Nguyen, P.; Kamphuis, R.I.G. Energy management in Multi-Commodity Smart Energy Systems with a greedy approach. Appl. Energy 2016, 167, 385–396. [Google Scholar] [CrossRef]
- Lagodimos, A.; Leopoulos, V.I. Greedy heuristic algorithms for manpower shift planning. Int. J. Prod. Econ. 2000, 68, 95–106. [Google Scholar] [CrossRef]
- Falabretti, D.; Lindholm, M.; Merlo, M.; Scapeccia, G. Energy storage coupling in a high efficiency household scenario: A real life experimental application. J. Energy Storage 2018, 17, 496–506. [Google Scholar] [CrossRef]
- Terna. Secondary Reserve Control Signal. Available online: https://myterna.terna.it/SunSet/Public (accessed on 28 December 2021).
- Eyer, J.; Iannucci, J.; Butler, P.C. Estimating Electricity Storage Power Rating and Discharge Duration for Utility Transmission and Distribution Deferral. A Study for the DOE Energy Storage Systems Program; SANDIA Report SAND2005-7069; Sandia National Laboratories: Albuquerque, NM, USA, 2005. [Google Scholar]
- Italian Energy Authority (ARERA). Annex A to Resolution ARG/Let 111/06. Available online: https://www.arera.it/it/docs/06/111-06.htm (accessed on 28 December 2021).
- GSE. AtlaImpianti. 2021. Available online: https://atla.gse.it/atlaimpianti (accessed on 28 December 2021).
- GSE. Rapporto Statistico—Energia da Fonti Rinnovabili—Anno 2019. 2021. Available online: https://www.gse.it/dati-e-scenari/statistiche (accessed on 28 December 2021).
- Italian Electrical Committee (CEI). CEI 0-16. Reference Technical Rules for the Connection of Active and Passive Consumers to the HV and MV Electrical Networks of Distribution Company. 2019. Available online: https://mycatalogo.ceinorme.it/cei/item/0000016796 (accessed on 28 December 2021).
- GME Website. 2021. Available online: http://www.mercatoelettrico.org/it (accessed on 28 December 2021).
- Italian Energy Authority (ARERA). Resolution 200/2020/r/eel. 2020. Available online: https://www.arera.it/it/docs/20/200-20.htm (accessed on 28 December 2021).
- Penisa, X.N.; Castro, M.T.; Pascasio, J.D.A.; Esparcia, E.A.; Schmidt, O.; Ocon, J.D. Projecting the Price of Lithium-Ion NMC Battery Packs Using a Multifactor Learning Curve Model. Energies 2020, 13, 5276. [Google Scholar] [CrossRef]











| Class I | Class II | Class III | Class IV | Class V | Class VI | Class VII | Class VIII | Class IX | Class X | Class XI | Class XII | Class XIII | Class XIV | ||
|---|---|---|---|---|---|---|---|---|---|---|---|---|---|---|---|
| Pclass_min [kW] | 100.0 | 134.0 | 179.5 | 240.5 | 322.1 | 431.6 | 578.2 | 774.6 | 1037.7 | 1390.3 | 1862.6 | 2495.3 | 3342.9 | 4478.6 | |
| Pclass_max [kW] | 134.0 | 179.5 | 240.5 | 322.1 | 431.6 | 578.2 | 774.6 | 1037.7 | 1390.3 | 1862.6 | 2495.3 | 3342.9 | 4478.6 | 6000.0 | |
| Photovoltaic | 16.18% | 10.47% | 17.90% | 5.78% | 6.22% | 8.19% | 6.59% | 24.21% | 0.57% | 0.91% | 0.94% | 0.86% | 0.57% | 0.63% | 91.93% |
| Wind | 2.87% | 3.58% | 48.03% | 0.72% | 0.36% | 0.00% | 2.51% | 34.41% | 0.36% | 1.43% | 1.43% | 1.08% | 2.51% | 0.72% | 1.50% |
| Hydroelectric | 10.59% | 6.65% | 9.03% | 10.34% | 9.77% | 10.76% | 11.00% | 8.78% | 7.96% | 4.93% | 3.37% | 2.96% | 2.05% | 1.81% | 6.57% |
| 4 MWh/MW | |
| 0.85 | |
| 500 €/kWh | |
| 4000 | |
| 1.2–1.4 | |
| 0.95–1.05 |
| C | C(RR) | S | S(RR) | C+S | C+S-Half | C+S(RR) | |
|---|---|---|---|---|---|---|---|
| [MWh] | 523.30 ± 0.14% | - | 649.88 ± 0.24% | - | 1078.26 ± 0.21% | 836.02 ± 0.44% | - |
| [MWh] | −2354.39 ± 0.06% | - | −1090.71 ± 0.18% | - | −2728.71 ± 0.09% | −2476.71 ± 0.43% | |
| [MWh] | 29.11 ± 0.19% | 1234.00 ± 0.16% | 68.01 ± 0.50% | 307.18 ± 0.96% | 112.97 ± 0.49% | 81.80 ± 0.62% | 605.84 ± 0.70% |
| [MWh] | −3.26 ± 0.02% | −4057.72 ± 0.06% | 0.00 ± 3.23% | −1664.26 ± 0.20% | −3.26 ± 0.02% | −3.15 ± 0.57% | −4574.25 ± 0.09% |
| [MWh] | 58.09 ± 0.92% | 172.26 ± 0.76% | 42.89 ± 6.99% | 55.84 ± 16.36% | 34.33 ± 3.36% | 47.90 ± 4.45% | 63.39 ± 10.38% |
| [MWh] | −185.90 ± 0.77% | −347.92 ± 1.76% | −132.83 ± 4.26% | −365.28 ± 4.22% | −112.73 ± 1.04% | −137.65 ± 1.11% | −298.69 ± 1.38% |
| - | - | 176.25 ± 0.83% | 52.68 ± 2.65% | 201.49 ± 0.86% | 253.93 ± 0.54% | 59.19 ± 2.60% | |
| % | - | - | 3358.38 ± 1.51% | 7316.98 ± 2.33% | 2193.18 ± 2.01% | 2302.77 ± 1.72% | 5791.02 ± 2.70% |
| - | - | 528.45 ± 3.35% | 37.22 ± 13.38% | 751.68 ± 2.73% | 1232.78 ± 1.84% | 52.44 ± 11.97% |
Publisher’s Note: MDPI stays neutral with regard to jurisdictional claims in published maps and institutional affiliations. |
© 2022 by the authors. Licensee MDPI, Basel, Switzerland. This article is an open access article distributed under the terms and conditions of the Creative Commons Attribution (CC BY) license (https://creativecommons.org/licenses/by/4.0/).
Share and Cite
Falabretti, D.; Gulotta, F.; Spinelli, L. Participation of Aggregated DERs to the Ancillary Services Market: A Monte Carlo Simulation-Based Heuristic Greedy-Indexing Model. Energies 2022, 15, 1037. https://doi.org/10.3390/en15031037
Falabretti D, Gulotta F, Spinelli L. Participation of Aggregated DERs to the Ancillary Services Market: A Monte Carlo Simulation-Based Heuristic Greedy-Indexing Model. Energies. 2022; 15(3):1037. https://doi.org/10.3390/en15031037
Chicago/Turabian StyleFalabretti, Davide, Francesco Gulotta, and Lorenzo Spinelli. 2022. "Participation of Aggregated DERs to the Ancillary Services Market: A Monte Carlo Simulation-Based Heuristic Greedy-Indexing Model" Energies 15, no. 3: 1037. https://doi.org/10.3390/en15031037
APA StyleFalabretti, D., Gulotta, F., & Spinelli, L. (2022). Participation of Aggregated DERs to the Ancillary Services Market: A Monte Carlo Simulation-Based Heuristic Greedy-Indexing Model. Energies, 15(3), 1037. https://doi.org/10.3390/en15031037

