Numerical Study on Vortex Structures and Loss Characteristics in a Transonic Turbine with Various Squealer Tips
Abstract
:1. Introduction
2. Methodology
2.1. Research Object and Geometric Parameters
2.2. Numerical Methods
2.3. Mesh Generation and Independence Validation
2.4. Numerical Validation
3. Results and Discussion
3.1. Aerodynamic Performance
3.2. Effect of Cavity Width
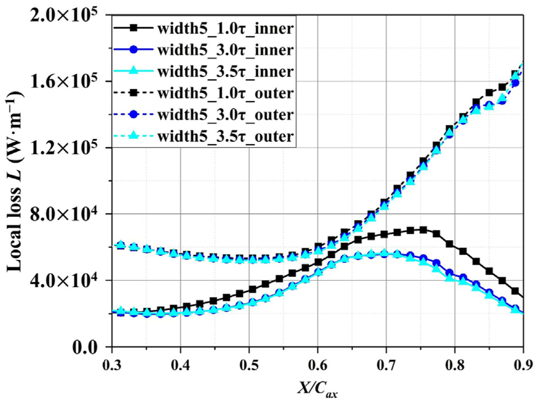
3.2.1. Analysis of Aerodynamic Loss
3.2.2. Characteristics of Flow Field in the Passage
3.2.3. Analysis of Tip Leakage Flow Characteristics
3.3. Effect of Cavity Height
4. Conclusions
- There are aerodynamic optimal values for both height and width of cavity. The optimal value of cavity height is 2.5–3.0 τ. The optimal value of cavity width is affected by the cavity height and is about 10.0–10.5 τ when the cavity height is about its optimal value. The aerodynamic optimal values of cavity width and height could provide an important reference for the design of turbine cavity tip in practical engineering.
- The small cavity width could delay the occurrence of APG and restrain the breakdown of TLV, which is beneficial to reducing the tip leakage loss. The effect of cavity width on the breakdown of TLV could provide a different perspective for the study of TLF in turbines.
- The decrease in cavity width could improve the blocking effect of SV on TLF, which is conducive to inhibit the development of TLV and reducing the tip leakage loss. However, the small cavity width could inhibit the chordwise length of SV, which is bad for controlling the loss caused by TLV near the trailing edge.
- The effect of large cavity height on the development of SV is similar to that of small cavity width. The difference is that large cavity height could reduce the vorticity of SV and loss inside the clearance, while small cavity width could not.
Author Contributions
Funding
Institutional Review Board Statement
Informed Consent Statement
Data Availability Statement
Conflicts of Interest
Nomenclature
| Cax | axial chord length |
| h* | total enthalpy |
| H | cavity height |
| L | local loss |
| mleakage | normalized tip leakage flow rate |
| mpa | leakage rate per unit area |
| mVn | normal momentum |
| Ma | Mach number |
| p | static pressure |
| p* | stagnation pressure |
| Re | Reynolds number |
| ui | the components of velocity, u, v, w |
| V | velocity |
| W | cavity width |
| xi | the components of coordinate, x, y, z |
| γ | the ratio of specific heat |
| Δ | variation |
| η | turbine stage efficiency |
| θ | the velocity flow angle of main-flow |
| μeff | effective viscosity |
| π | total-to-total pressure ratio |
| τ | clearance height |
| Φ | the dissipation function |
| ω | vorticity |
| Subscript | |
| 0 | the inlet of stator domain |
| 2 | the outlet of rotor domain |
| a | axial direction |
| c | circumferential direction |
| is | isentropic |
| r | relative |
| s | streamwise |
| Abbreviations | |
| APG | adverse pressure gradient |
| PS | pressure surface of blade |
| PSCV | pressure side squealer corner vortex |
| RANS | Reynolds Averaged Navier–Stokes |
| SS | suction surface of blade |
| SSCV | suction side squealer corner vortex |
| SST | shear stress transport |
| SV | scraping vortex |
| TLV | tip leakage vortex |
| TLF | tip leakage flow |
| UPV | upper passage vortex |
References
- Denton, J.D. Loss mechanisms in turbomachines. J. Turbomach. 1993, 115, 621–656. [Google Scholar] [CrossRef]
- Bindon, J.P. The measurement and formation of tip clearance loss. J. Turbomach. 1989, 111, 257–263. [Google Scholar] [CrossRef]
- Dishart, P.T.; Moore, J. Tip leakage losses in a linear turbine cascade. J. Turbomach. 1990, 112, 599–608. [Google Scholar] [CrossRef]
- Yaras, M.I.; Sjolander, S.A. Prediction of tip-leakage losses in axial turbine. J. Turbomach. 1992, 114, 204–210. [Google Scholar] [CrossRef]
- Yang, H.; Zhang, W.; Zou, Z.; Zhang, S.; Zeng, F.; Xu, W. The development and applications of a loading distribution based tip leakage loss model for unshrouded gas turbines. J. Turbomach. 2020, 142, 071005. [Google Scholar] [CrossRef]
- Jung, J.; Kim, I.; Joo, J.S.; Lee, S.W. Experimental study on aerodynamic loss and heat transfer for various squealer tips. J. Turbomach. 2021, 143, 051002. [Google Scholar] [CrossRef]
- Zhou, C.; Zhong, F. A novel suction-side winglet design philosophy for high-pressure turbine rotor tips. J. Turbomach. 2017, 139, 111002. [Google Scholar] [CrossRef]
- Wang, Y.; Song, Y.; Yu, J.; Chen, F. Effect of cooling injection on the leakage flow of a turbine cascade with honeycomb tip. Appl. Therm. Eng. 2018, 133, 690–703. [Google Scholar] [CrossRef]
- Yu, J.; Yu, J.; Chen, F.; Wang, C. Numerical study of tip leakage flow control in turbine cascades using the DBD plasma model improved by the parameter identification method. Aerosp. Sci. Technol. 2019, 84, 856–864. [Google Scholar] [CrossRef]
- Bunker, R.S. Axial turbine blade tips: Function, design, and durability. J. Propul. Power 2006, 22, 271–285. [Google Scholar] [CrossRef]
- Mischo, B.; Behr, T.; Abhari, R.S. Flow physics and profiling of recessed blade tips: Impact on performance and heat load. J. Turbomach. 2008, 130, 021008. [Google Scholar] [CrossRef]
- Zhou, C. Effects of endwall motion on thermal performance of cavity tips with different squealer width and height. Int. J. Heat Mass Transf. 2015, 91, 1248–1258. [Google Scholar] [CrossRef]
- Virdi, A.S.; Zhang, Q.; He, L.; Li, H.D.; Hunsley, R. Aerothermal performance of shroudless turbine blade tips with relative casing movement effects. J. Propul. Power 2015, 31, 527–536. [Google Scholar] [CrossRef] [Green Version]
- Wang, X.; Wang, J.; He, F.; Zhang, H. Effect of relative movement between the shroud and blade on tip leakage flow characteristics. Energies 2017, 10, 1600. [Google Scholar] [CrossRef] [Green Version]
- Zou, Z.; Shao, F.; Li, Y.; Zhang, W.; Berglund, A. Dominant flow structure in the squealer tip gap and its impact on turbine aerodynamic performance. Energy 2017, 138, 167–184. [Google Scholar] [CrossRef]
- Błoński, D.; Strzelecka, K.; Kudela, H. Vortex Trapping Cavity on Airfoil: High-Order Penalized Vortex Method Numerical Simulation and Water Tunnel Experimental Investigation. Energies 2021, 14, 8402. [Google Scholar] [CrossRef]
- Zeng, F.; Zhang, W.; Wang, Y.; Cao, X.; Zou, Z. Effects of squealer geometry of turbine blade tip on the tip-leakage flow and loss. J. Therm. Sci. 2021, 30, 1376–1387. [Google Scholar] [CrossRef]
- Li, C.; Xiang, J.; Song, L.; Li, J. An aerothermal analysis of the effects of tip gap height and cavity depth of a gas turbine blade. Int. J. Therm. Sci. 2020, 158, 106521. [Google Scholar] [CrossRef]
- Lu, S.; Ma, H.; Zhang, Q.; Teng, J. Cutback squealer tip trailing edge cooling performance. Int. J. Heat Mass Transf. 2020, 154, 119632. [Google Scholar] [CrossRef]
- Prakash, C.; Lee, C.P.; Cherry, D.G.; Wadia, A.R. Analysis of some improved blade tip concepts. J. Turbomach. 2006, 128, 639–642. [Google Scholar] [CrossRef]
- Senel, C.B.; Maral, H.; Kavurmacioglu, L.A.; Camci, C. An aerothermal study of the influence of squealer width and height near a HP turbine blade. Int. J. Heat Mass Transf. 2018, 120, 18–32. [Google Scholar] [CrossRef]
- Su, X.; Ren, X.; Li, X.; Gu, C. Unsteadiness of tip leakage flow in the detached-eddy simulation on a transonic rotor with vortex breakdown phenomenon. Energies 2019, 12, 954. [Google Scholar] [CrossRef] [Green Version]
- Huang, A.C.; Greitzer, E.M.; Tan, C.S.; Clemens, E.F.; Gegg, S.G.; Turner, E.R. Blade loading effects on axial turbine tip leakage vortex dynamics and loss. J. Turbomach. 2013, 135, 051012. [Google Scholar] [CrossRef] [Green Version]
- Gao, J.; Zheng, Q.; Xu, T.; Dong, P. Inlet conditions effect on tip leakage vortex breakdown in unshrouded axial turbines. Energy 2015, 91, 255–263. [Google Scholar] [CrossRef]
- Gao, J.; Zheng, Q.; Liu, Y.; Dong, P. Effects of blade rotation on axial turbine tip leakage vortex breakdown and loss. Proc. Inst. Mech. Eng. Part G 2017, 231, 1634–1649. [Google Scholar] [CrossRef]
- Zhou, K.; Zhou, C. Effects of upstream Rankine vortex on tip leakage vortex breakdown in a subsonic turbine. Aerosp. Sci. Technol. 2020, 99, 105776. [Google Scholar] [CrossRef]
- Menter, F.R.; Galpin, P.F.; Esch, T.; Kuntz, M.; Berner, C. CFD simulations of aerodynamic flows with a pressure-based method. In Proceedings of the 24th International Congress of the Aeronautical Sciences, Yokohama, Japan, 29 August–3 September 2004. [Google Scholar]
- Zou, Z.; Wang, S.; Liu, H.; Zhang, W. Axial Turbine Aerodynamics for Aero-Engines: Flow Analysis and Aerodynamic Design; Shanghai Jiao Tong University Press: Shanghai, China, 2018. [Google Scholar]
- Qi, L.; Zou, Z.; Liu, H.; Li, W. Upstream wake–secondary flow interactions in the endwall region of high-loaded turbines. Comput. Fluids 2010, 39, 1575–1584. [Google Scholar]
- Lei, Q. Investigations of Unsteady Interaction Mechanism and Flow Control in the Turbine Endwall Regions. Ph.D. Thesis, Beihang University, Beijing, China, 2010. [Google Scholar]
- Gardner, W.B. Energy Efficient Engine: High Pressure Turbine Uncooled Rig Technology Report; No. NASA-CR-165149; NASA: Cleveland, OH, USA, 1979.
- Kudela, H.; Malecha, Z.M. Investigation of unsteady vorticity layer eruption induced by vortex patch using vortex particles method. J. Theor. Appl. Mech. 2007, 45, 785–800. [Google Scholar]
- Kudela, H.; Malecha, Z.M. Eruption of a boundary layer induced by a 2D vortex patch. Fluid Dyn. Res. 2009, 41, 055502. [Google Scholar] [CrossRef]
- Ghorani, M.M.; Sotoude Haghighi, M.H.; Maleki, A.; Riasi, A. A numerical study on mechanisms of energy dissipation in a pump as turbine (PAT) using entropy generation theory. Renew. Energy 2020, 162, 1036–1053. [Google Scholar] [CrossRef]
- Hall, M.G. Vortex breakdown. Annu. Rev. Fluid Mech. 1972, 4, 195–218. [Google Scholar] [CrossRef]
- Liu, C.; Gao, Y.; Tian, S.; Dong, X. Rortex—A new vortex vector definition and vorticity tensor and vector decompositions. Phys. Fluids 2018, 30, 035103. [Google Scholar] [CrossRef] [Green Version]
- Xu, W.; Gao, Y.; Deng, Y.; Liu, J.; Liu, C. An explicit expression for the calculation of the Rortex vector. Phys. Fluids 2019, 31, 095102. [Google Scholar] [CrossRef]
- Wang, Y.; Zhang, W.; Cao, X.; Yang, H. The applicability of vortex identification methods for complex vortex structures in axial turbine rotor passages. J. Hydrodyn. 2019, 31, 700–707. [Google Scholar] [CrossRef]


















| Parameters | Aspect Ratio | Clearance Height τ (%Span) | Total-to-Total Pressure Ratio π | Mar,2 | Rer,2 |
|---|---|---|---|---|---|
| Value | 1.15 | 1.16% | 4.08 | 1.11 | 1.12 × 106 |
| Streamwise × Pitchwise × Spanwise (Gap) | Total Number (×106) | |
|---|---|---|
| Grid 1 | 214 × 43 × 90 (14) | 2.19 |
| Grid 2 | 214 × 43 × 96 (20) | 2.37 |
| Grid 3 | 214 × 43 × 102 (26) | 2.54 |
| Grid 4 | 214 × 43 × 108 (32) | 2.72 |
| Grid 5 | 214 × 43 × 114 (38) | 2.89 |
| Grid 6 | 214 × 43 × 120 (44) | 3.07 |
| Reverse Flow Region | Starting Location/Cax | Ending Location/Cax | Axial Length/Cax |
|---|---|---|---|
| width 1 | 0.87 | 1.28 | 0.41 |
| width 5 | 0.91 | 1.25 | 0.34 |
| width 6 | 0.91 | 1.24 | 0.33 |
Publisher’s Note: MDPI stays neutral with regard to jurisdictional claims in published maps and institutional affiliations. |
© 2022 by the authors. Licensee MDPI, Basel, Switzerland. This article is an open access article distributed under the terms and conditions of the Creative Commons Attribution (CC BY) license (https://creativecommons.org/licenses/by/4.0/).
Share and Cite
Wang, Y.; Zhang, W.; Huang, D.; Jiang, S.; Chen, Y. Numerical Study on Vortex Structures and Loss Characteristics in a Transonic Turbine with Various Squealer Tips. Energies 2022, 15, 1018. https://doi.org/10.3390/en15031018
Wang Y, Zhang W, Huang D, Jiang S, Chen Y. Numerical Study on Vortex Structures and Loss Characteristics in a Transonic Turbine with Various Squealer Tips. Energies. 2022; 15(3):1018. https://doi.org/10.3390/en15031018
Chicago/Turabian StyleWang, Yufan, Weihao Zhang, Dongming Huang, Shoumin Jiang, and Yun Chen. 2022. "Numerical Study on Vortex Structures and Loss Characteristics in a Transonic Turbine with Various Squealer Tips" Energies 15, no. 3: 1018. https://doi.org/10.3390/en15031018
APA StyleWang, Y., Zhang, W., Huang, D., Jiang, S., & Chen, Y. (2022). Numerical Study on Vortex Structures and Loss Characteristics in a Transonic Turbine with Various Squealer Tips. Energies, 15(3), 1018. https://doi.org/10.3390/en15031018

