Preparation and Structural Properties of Bacterial Nanocellulose Obtained from Beetroot Peel Medium
Abstract
1. Introduction
2. Materials and Methods
2.1. Materials and Reagents
2.2. Production of BNC Pellicle and Culture Conditions
2.3. Media and Fermentation Conditions
2.3.1. Preparation of Complex Media (Beetroot Peels)
2.3.2. Preparation of Chemically Defined Media
2.4. Analytical Methods
2.4.1. Determination of Macrocomponent Composition
2.4.2. Analysis of Sugar and Acid Concentrations
2.4.3. pH and Total Acidity Analysis
2.5. Dry Weight Content
2.6. Thickness of BNC Pellicle
2.7. Effect of Surface Area and Depth of Culture Medium on BNC Production
- (a)
- 300 mL Erlenmeyer flask (diameter, d = 8.7 cm; height, h = 15.6 cm; surface area, a = 59.4 cm2);
- (b)
- 370 mL jar (diameter, d = 10 cm; height, h = 6.5 cm; surface area, a = 33.2 cm2);
- (c)
- 720 mL jar (diameter, d = 9 cm; height, h = 12 cm; surface area, a = 77.1 cm2);
- (d)
- 1000 mL jar (diameter, d = 10 cm; height, h = 18 cm; surface area, a = 113.1 cm2).
2.8. Purification of BNC Pellicle
2.9. Calculations
2.10. Microstructural Characterization
2.10.1. Scanning Electron Microscopy (SEM)
2.10.2. Fourier Transform Infrared Spectroscopy (FT-IR)
2.10.3. X-ray Diffractometry Analysis (XRD)
2.11. Water-Holding Capacity (WHC) and Water Release Rate (WRR)
2.12. Iodine Sorption Value (ISV)
2.13. Statistical Analysis
3. Results and Discussion
3.1. Proximate Analysis of Complex Growth Medium (Beetroot Peels)
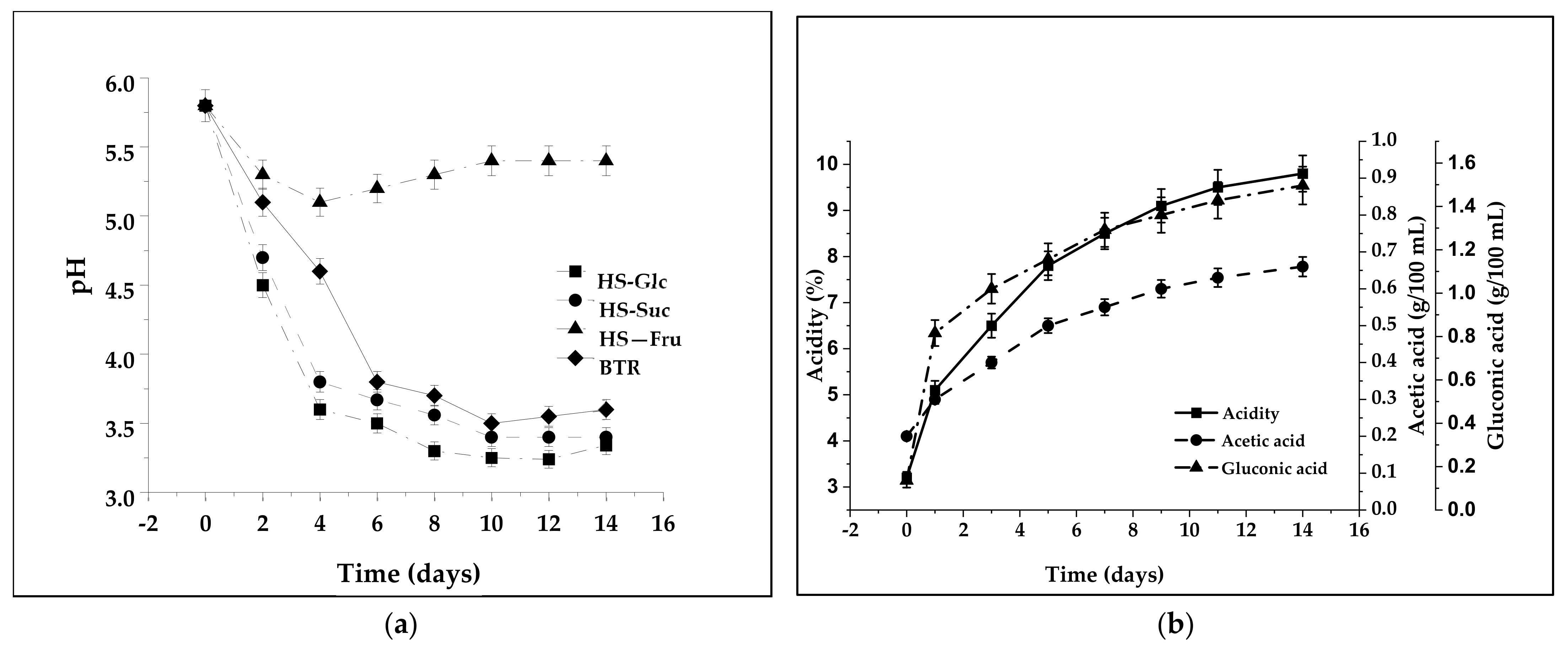
3.2. pH Values and Organic Acid Release
3.3. Fermentative Production of BNC
3.4. Effect of Surface Area and Depth of Culture Medium on BNC Production
3.5. BNC Morphology (SEM)
3.6. FT-IR Spectra
3.7. XRD Analysis
3.8. Water-Holding Capacity (WHC), Water Release Rate (WRR), and Iodine Sorption Value (ISV)
4. Conclusions
Author Contributions
Funding
Informed Consent Statement
Data Availability Statement
Conflicts of Interest
References
- Phuong, H.T.; Thoa, N.K.; Tuyet, P.T.A.; Van, Q.N.; Hai, Y.D. Cellulose Nanomaterials as a Future, Sustainable and Renewable Material. Crystals 2022, 12, 106. [Google Scholar] [CrossRef]
- Avcioglu, N.H. Bacterial cellulose: Recent progress in production and industrial applications. World J. Microbiol. Biotechnol. 2022, 38, 86. [Google Scholar] [CrossRef]
- Teoh, A.L.; Heard, G.; Cox, J. Yeast Ecology of Kombucha Fermentation. Int. J. Food Microbiol. 2004, 95, 119–126. [Google Scholar] [CrossRef]
- Jarrell, J.; Cal, T.; Bennett, J.W. The Kombucha consortia of yeasts and bacteria. Mycologist 2000, 14, 166–170. [Google Scholar] [CrossRef]
- Kallel, L.; Desseaux, V.; Hamdi, M.; Stocker, P.; Ajandouz, E.H. Insights into the Fermentation Biochemistry of Kombucha Teas and Potential Impacts of Kombucha Drinking on Starch Digestion. Food Res. Int. 2012, 49, 226–232. [Google Scholar] [CrossRef]
- Ayed, L.; Abid, S.B.; Hamdi, M. Development of a beverage from red grape juice fermented with the kombucha consortium. Ann. Microbiol. 2017, 67, 111–121. [Google Scholar] [CrossRef]
- Nikolaev, Y.A.; Plakunov, V.K. Biofilm—“City of Microbes” or an analogue of multicellular organisms. Microbiology 2007, 76, 125–138. [Google Scholar] [CrossRef]
- Jayabalan, R.; Malbaša, R.V.; Lončar, E.S.; Vitas, J.S.; Sathishkumar, M. A review on Kombucha tea-microbiology, composition, fermentation, beneficial effects, toxic-ity, and tea fungus. Compr. Rev. Food Sci. Food Saf. 2014, 13, 538–550. [Google Scholar] [CrossRef] [PubMed]
- Soemphol, W.; Hongsachart, P.; Tanamool, V. Production and characterization of bacterial cellulose produced from agricultural by-product by Gluconacetobacter strains. Mater. Today Proc. 2018, 5, 11159–11168. [Google Scholar] [CrossRef]
- Urbina, L.; Corcuera, M.A.; Gabilondo, N.; Eceiza, A.; Retegi, A. A review of bacterial cellulose: Sustainable production from agricultural waste and applications in various fields. Cellulose 2021, 28, 8229–8253. [Google Scholar] [CrossRef]
- Ul-Islam, M.; Ullah, M.W.; Khan, S.; Shah, N.; Park, J.K. Strategies for cost-effective and enhanced production of bacterial cellulose. Int. J. Biol. Macromol. 2017, 102, 1166–1173. [Google Scholar] [CrossRef] [PubMed]
- Jozala, A.F.; De Lencastre-Novaes, L.C.; Lopes, A.M.; De Carvalho Santos-Ebinuma, V.; Mazzola, P.G.; Pessoa, A., Jr.; Grotto, D.; Gerenutti, M.; Chaud, M.V. Bacterial nanocellulose production and application: A 10-year overview. Appl. Microbiol. Biotechnol. 2016, 100, 2063–2072. [Google Scholar] [CrossRef]
- Moniri, M.; Boroumand Moghaddam, A.; Azizi, S.; Rahim, R.A.; Bin Ariff, A.; Zuhainis Saad, W.; Navaderi, M.; Mohamad, R. Production and Status of Bacterial Cellulose in Biomedical Engineering. Nanomaterials 2017, 7, 257. [Google Scholar] [CrossRef]
- Ullah, H.; Wahid, F.; Santos, H.A.; Khan, T. Advances in biomedical and pharmaceutical applications of functional bacterial cellulose-based nanocomposites. Carbohydr. Polym. 2016, 150, 330–352. [Google Scholar] [CrossRef] [PubMed]
- Azeredo, H.M.C.; Barud, H.; Farinas, C.S.; Vasconcellos, V.M.; Claro, A.M. Bacterial Cellulose as a Raw Material for Food and Food Packaging Applications. Front. Sustain. Food Syst. 2019, 3, 7. [Google Scholar] [CrossRef]
- Fernandez Santos, J.; Gala Morena, A.; Valenzuela, S.V.; Pastor, F.I.J.; Diaz, P.; Martinez, J. Microbial cellulose from Komagataeibacter intermedius strain isolated from commercial wine vinegar. J. Polym. Environ. 2019, 27, 956–967. [Google Scholar] [CrossRef]
- Ul-Islam, M.; Khan, S.; Ullah, M.W.; Park, J.K. Bacterial cellulose composites: Synthetic strategies and multiple applications in bio-medical and electro-conductive fields. Biotechnol. J. 2015, 10, 1847–1861. [Google Scholar] [CrossRef]
- Kaminski, K.; Jarosz, M.; Grudzien, J.; Pawlik, J.; Zastawnik, F.; Pandyra, P.; Kołodziejczyk, A.M. Hydrogel bacterial cellulose: A path to improved materials for new eco-friendly textiles. Cellulose 2020, 27, 5353–5365. [Google Scholar] [CrossRef]
- Alves, A.A.; Silva, W.E.; Belian, M.F.; Lins, L.S.G.; Galembeck, A. Bacterial Cellulose Membranes for Environmental Water Remediation and Industrial Wastewater Treatment. Int. J. Environ. Sci. Technol. 2020, 17, 3997–4008. [Google Scholar] [CrossRef]
- Kumbhar, J.V.; Rajwade, J.M.; Paknikar, K.M. Fruit peels support higher yield and superior quality bacterial cellulose production. Appl. Microbiol. Biotechnol. 2015, 99, 6677–6691. [Google Scholar] [CrossRef]
- Premjet, S.; Premjet, D.; Ohtani, Y. The effect of ingredients of sugar cane molasses on bacterial cellulose production by Acetobacter xylinum ATCC 10245. Sen’i Gakkaishi 2007, 63, 193–199. [Google Scholar] [CrossRef]
- Sperotto, G.; Stasiak, L.G.; Godoi, J.P.; Gabiatti, N.C.; De Souza, S.S. A review of culture media for bacterial cellulose production: Complex, chemically defined and minimal media modulations. Cellulose 2021, 28, 2649–2673. [Google Scholar] [CrossRef]
- Hussain, Z.; Sajjad, W.; Khan, T.; Wahid, F. Production of bacterial cellulose from industrial wastes: A review. Cellulose 2019, 26, 2895–2911. [Google Scholar] [CrossRef]
- Chen, C.; Liu, B.Y. Changes in major components of tea fungus metabolites during prolonged fermentation. J. Appl. Microbiol. 2000, 89, 834–839. [Google Scholar] [CrossRef]
- Lu, Z.; Zhang, Y.; Chi, Y.; Xu, N.; Yao, W.; Sun, B. Effects of alcohols on bacterial cellulose production by Acetobacter xylinum 186. World J. Microbiol. Biotechnol. 2011, 27, 2281–2285. [Google Scholar] [CrossRef]
- Jedrzejczak-Krzepkowska, M.; Kubiak, K.; Ludwicka, K.; Bielecki, S. Bacterial NanoCellulose Synthesis, Recent Findings. In Bacterial Nanocellulose: From Biotechnology to Bio-Economy; Gama, M., Dourado, F., Bielecki, S., Eds.; Elsevier: New York, NY, USA, 2016; pp. 19–46. [Google Scholar] [CrossRef]
- Herceg, F. Biosynthesis of bacterial cellulose assisted by symbiosis of osmophilic yeasts and acetic acid bacteria. Bachelor’s Thesis, Faculty of Food Technology and Biotechnology, University of Zagreb, Zagreb, Croatia, 14 July 2017. [Google Scholar]
- Zubaidah, E.; Dewantari, F.J.; Novitasari, F.R.; Srianta, I.; Blanc, P.J. Potential of snake fruit (Salacca zalacca (Gaerth.) Voss) for the development of a beverage through fermentation with the Kombucha consortium. Biocatal. Agric. Biotechnol. 2018, 13, 198–203. [Google Scholar] [CrossRef]
- Šeremet, D.; Durgo, K.; Jokić, S.; Huđek, A.; Vojvodić-Cebin, A.; Mandura, A.; Jurasović, J.; Komes, D. Valorization of Banana and Red Beetroot Peels: Determination of Basic Macrocomponent Composition, Application of Novel Extraction Methodology and Assessment of Biological Activity In Vitro. Sustainability 2020, 12, 4539. [Google Scholar] [CrossRef]
- Zin, M.M.; Alsobh, A.; Nath, A.; Csighy, A.; Bánvölgyi, S. Concentrations of Beetroot (Beta vulgaris L.) Peel and Flesh Extracts by Reverse Osmosis Membrane. Appl. Sci. 2022, 12, 6360. [Google Scholar] [CrossRef]
- Ceclu, L.; Nistor, O.-V. Red Beetroot: Composition and Health Effects—A Review. J. Nutr. Med. Diet. Care 2020, 6, 43. [Google Scholar] [CrossRef]
- Hestrin, S.; Schramm, M. Synthesis of cellulose by Acetobacter xylinum. II. Preparation of freeze-dried cells capable of polymerizing glucose to cellulose. Biochem. J. 1954, 58, 345–352. [Google Scholar] [CrossRef]
- Padmore, J.M. Animal feed—AOAC official method 930.15—Moisture in animal feed. In Official Methods of Analysis, 15th ed.; Helrich, K., Ed.; AOAC International: Arlington, VA, USA, 1990; Volume 1, pp. 69–70. [Google Scholar]
- Padmore, J.M. Animal feed—AOAC official method 976.05—Protein (crude) in animal feed, automated Kjeldahl method. In Official Methods of Analysis, 15th ed.; Helrich, K., Ed.; AOAC International: Arlington, VA, USA, 1990; Volume 1, p. 72. [Google Scholar]
- Padmore, J.M. Animal feed—AOAC official method 920.39—Fat (crude) or ether extract in animal feed. In Official Methods of Analysis, 15th ed.; Helrich, K., Ed.; AOAC International: Arlington, VA, USA, 1990; Volume 1, p. 79. [Google Scholar]
- Padmore, J.M. Animal feed—AOAC official method 942.05—Ash of animal feed. In Official Methods of Analysis, 15th ed.; Helrich, K., Ed.; AOAC International: Arlington, VA, USA, 1990; Volume 1, p. 70. [Google Scholar]
- Kazimierczak, R.; Hallmann, E.; Lipowski, J.; Drela, N.; Kowalik, A.; Püssa, T.; Matt, D.; Luik, A.; Gozdowski, D.; Rembiałkowska, E. Beetroot (Beta vulgaris L.) and naturally fermented beetroot juices from organic and conventional production: Metabolomics, antioxidant levels and anticancer activity. J. Sci. Food Agric. 2014, 94, 2618–2629. [Google Scholar] [CrossRef] [PubMed]
- Betlej, I.; Rybak, K.; Nowacka, M.; Antczak, A.; Borysiak, S.; Krochmal-Marczak, B.; Lipska, K.; Boruszewski, P. Structural Properties of Bacterial Cellulose Film Obtained on a Substrate Containing Sweet Potato Waste. Crystals 2022, 12, 1191. [Google Scholar] [CrossRef]
- Wada, M.; Kondo, T.; Okano, T. Thermally induced crystal transformation from cellulose Iα to Iβ. Polym. J. 2003, 35, 155–159. [Google Scholar] [CrossRef]
- Cheng, K.C.; Catchmark, J.M.; Demirci, A. Effect of different additives on bacterial cellulose production by Acetobacter xylinum and analysis of material property. Cellulose 2009, 16, 1033–1045. [Google Scholar] [CrossRef]
- Segal, L.; Creely, J.; Martin, A.; Conrad, C. An empirical method for estimating the degree of crystallinity of native cellulose using the X-ray diffractometer. Textile Res. J. 1959, 29, 786–794. [Google Scholar] [CrossRef]
- Moosavi-Nasab, M.; Yousefi, M. Biotechnological Production of Cellulose by Gluconacetobacter Xylinus from Agricultural Waste. Iran. J. Biotechnol. 2011, 9, 94–101. [Google Scholar]
- Schrecker, S.T.; Gostomski, P.A. Determining the water holding capacity of microbial cellulose. Biotechnol. Lett. 2005, 27, 1435–1438. [Google Scholar] [CrossRef]
- Ul-Islam, M.; Khan, T.; Park, J.K. Water holding and release properties of bacterial cellulose obtained by in situ and ex situ modification. Carbohydr. Polym. 2012, 88, 596–603. [Google Scholar] [CrossRef]
- Nelson, M.L.; Rousselle, M.A.; Cangemi, S.J.; Trouard, P. The Iodine Sorption Test. Factors Affecting Reproducibility and a Semimicro Adaptation. Textile Res. J. 1970, 40, 872–880. [Google Scholar] [CrossRef]
- Jadhav, P.; Sonne, M.; Kadam, A.; Patil, S.; Dahigaonkar, K.; Oberoi, J.K. Formulation of cost effective alternative bacterial culture media using fruit and vegetables waste. Int. J. Curr. Res. Rev. 2018, 10, 6–15. [Google Scholar] [CrossRef]
- Mirmiran, P.; Houshialsadat, Z.; Gaeini, Z.; Bahadoran, Z.; Azizi, F. Functional properties of beetroot (Beta vulgaris) in management of cardio-metabolic diseases. Nutr. Metabol. 2020, 17, 3. [Google Scholar] [CrossRef] [PubMed]
- Vasconcelos, N.F.; Feitosa, J.P.A.; da Gama, F.M.P.; Morais, J.P.S.; Andrade, F.K.; de Souza, M.D.S.M.; de Freitas Rosa, M. Bacterial cellulose nanocrystals produced under different hydrolysis conditions: Properties and morphological features. Carbohydr. Polym. 2017, 155, 425–431. [Google Scholar] [CrossRef]
- Jung, H.-I.; Jeong, J.-H.; Lee, O.-M.; Park, G.-T.; Kim, K.-K.; Park, H.-C.; Lee, S.-M.; Kim, Y.-G.; Son, H.-J. Influence of glycerol on production and structural–physical properties of cellulose from Acetobacter sp. V6 cultured in shake flasks. Bioresour. Technol. 2010, 101, 3602–3608. [Google Scholar] [CrossRef] [PubMed]
- Son, H.J.; Kim, H.G.; Kim, K.K.; Kim, H.S.; Kim, Y.G.; Lee, S.J. Increased production of bacterial cellulose by Acetobacter sp. V6 in synthetic media under shaking culture conditions. Bioresour. Technol. 2003, 86, 215–219. [Google Scholar] [CrossRef] [PubMed]
- Puspawati, N.N.; Arihantana, N.M.I.H. Viability of lactic acid bacteria isolated from kombucha tea against low ph and bile salt. Sci. J. Food Technol. 2016, 3, 18–25. [Google Scholar]
- Goh, W.N.; Rosma, A.; Kaur, B.; Fazilah, A.; Karim, A.A.; Bhat, R. Microstructureand physical properties of microbial cellulose produced during fermentation of black tea broth (Kombucha). II. Int. Food Res 2012, 19, 153–158. [Google Scholar]
- Blanc, P.J. Characterization of the tea fungus metabolites. Biotechnol. Lett. 1996, 18, 139–142. [Google Scholar] [CrossRef]
- Fijałkowski, K.; Zywicka, A.; Drozd, R.; Kordas, M.; Rakoczy, R. Effect of Gluconacetobacter xylinus cultivation conditions on the selected properties of bacterial cellulose. Pol. J. Chem. Technol. 2016, 18, 116–122. [Google Scholar] [CrossRef]
- Gullo, M.; La China, S.; Falcone, P.M.; Giudici, P. Biotechnological Production of Cellulose by Acetic Acid Bacteria: Current State and Perspectives. Appl. Microbiol. Biotechnol. 2018, 102, 6885–6898. [Google Scholar] [CrossRef]
- Chawla, P.R.; Bajaj, I.B.; Survase, S.A.; Singhal, R.S. Microbial cellulose: Fermentative production and applications (Review). Food Technol. Biotechnol. 2009, 47, 107–124. [Google Scholar]
- Ross, P.; Mayer, R.; Benziman, M. Cellulose biosynthesis and function in bacteria. Microbiol. Rev. 1991, 55, 35–58. [Google Scholar] [CrossRef]
- Oikawa, T.; Nakai, J.; Tsukagawa, Y.; Soda, K. Anovel type ofd-mannitol dehydrogenase from Acetobacterxylinum: Occurrence, purification and basic properties. Biosci. Biotechnol. Biochem. 1997, 61, 1778–1782. [Google Scholar] [CrossRef] [PubMed]
- Keshk, S.M.A.S.; Sameshima, K. Evaluation of different carbon sources for bacterial cellulose production. Afr. J. Biotechnol. 2005, 4, 478–482. [Google Scholar] [CrossRef]
- Tabaii, M.J.; Emtiazi, G. Comparison of bacterial cellulose production among different strains and fermented media. Appl. Food Biotechnol. 2016, 3, 35–41. [Google Scholar] [CrossRef]
- Neffe-Skocińska, K.; Sinek, B.; Ścibisz, I.; Kołożyn-Krajewska, D. Acid contents and the effect of fermentation condition of Kombucha tea beverages on physico-chemical, microbiological and sensory properties. CYTA J. Food 2017, 15, 601–607. [Google Scholar] [CrossRef]
- Cvetković, D.; Markov, S.; Djurić, M.; Savić, D.; Velićanski, A. Specific interfacial area as a key variable in scaling-up Kombucha fermentation. J. Food Eng. 2008, 85, 387–392. [Google Scholar] [CrossRef]
- Sreeramulu, G.; Zhu, Y.; Knol, W. Kombucha fermentation and its antimicrobial activity. J. Agric. Food Chem. 2000, 48, 2589–2594. [Google Scholar] [CrossRef]
- Marsh, A.J.; Sullivan, O.O.; Hill, C.; Ross, R.P.; Cotter, P.D. Sequence-based analysis of the bacterial and fungal compositions of multiple Kombucha (tea fungus) samples. Food Microbiol. 2014, 38, 171–178. [Google Scholar] [CrossRef]
- Malbaša, R.V.; Lončar, E.S.; Djurić, M. Comparison of the products of kombucha fermentation on sucrose and molasses. Food Chem. 2008, 106, 1039–1045. [Google Scholar] [CrossRef]
- Sievers, M.; Lanini, C.; Weber, A.; Schuler-Schmid, U.; Teuber, M. Microbiology and fermentation balance in a kombucha beverage obtained from a tea fungus fermentation. Syst. Appl. Microbiol. 1995, 18, 590–594. [Google Scholar] [CrossRef]
- Mo, H.; Zhu, Y.; Chen, Z. Microbial fermented tea–a potential source of natural food preservatives. Trends Food Sci. Technol. 2008, 19, 124–130. [Google Scholar] [CrossRef]
- Zhong, C. Industrial-Scale production and applications of bacterial cellulose. Front. Bioeng. Biotechnol. 2020, 8, 605374. [Google Scholar] [CrossRef] [PubMed]
- Ruka, D.R.; Simon, G.P.; Dean, K.M. Altering the growth conditions of Gluconacetobacter xylinus to maximize the yield of bacterial cellulose. Carbohydr. Polym. 2012, 89, 613–622. [Google Scholar] [CrossRef]
- Masaoka, S.; Ohe, T.; Sakota, N. Production of cellulose from glucose by Acetobacter xylinum. J. Ferment. Bioeng. 1993, 75, 18–22. [Google Scholar] [CrossRef]
- Okiyama, A.; Motoki, M.; Yamanaka, S.M. Bacterial cellulose III. Development of a new form of cellulose. Food Hydrocoll. 1993, 6, 493–501. [Google Scholar] [CrossRef]
- Tsouko, E.; Kourmentza, C.; Ladakis, D. Bacterial cellulose production from industrial waste and by-product streams. Int. J. Mol. Sci. 2015, 16, 14832–14849. [Google Scholar] [CrossRef] [PubMed]
- Cichosz, S.; Masek, A. IR Study on Cellulose with the Varied Moisture Contents: Insight into the Supramolecular Structure. Materials 2020, 13, 4573. [Google Scholar] [CrossRef]
- Hospodarova, V.; Singovszka, E.; Stevulova, N. Characterization of Cellulosic Fibers by FTIR Spectroscopy for Their Further Implementation to Building Materials. Am. J. Anal. Chem. 2018, 9, 303–310. [Google Scholar] [CrossRef]
- Abol-Fotouh, D.; Hassan, M.A.; Shokry, H.; Roig, R.; Azab, M.S.; Kashyout, A.B. Bacterial nanocellulose from agro-industrial wastes: Low-cost and enhanced production by Komagataeibacter saccharivorans MD1. Sci. Rep. 2020, 10, 3491. [Google Scholar] [CrossRef]
- Wang, S.S.; Han, Y.H.; Chen, J.L.; Zhang, D.C.; Shi, X.X.; Ye, Y.X.; Chen, D.L.; Li, M. Insights into Bacterial Cellulose Biosynthesis from Different Carbon Sources and the Associated Biochemical Transformation Pathways in Komagataeibacter sp. W1. Polymers 2018, 10, 963. [Google Scholar] [CrossRef]
- Castro, C.; Zuluaga, R.; Álvarez, C.; Putaux, J.L.; Caro, G.; Rojas, O.J.; Mondragon, I.; Gañán, P. Bacterial Cellulose Produced by a New Acid-Resistant Strain of Gluconacetobacter Genus. Carbohydr. Polym. 2012, 89, 1033–1037. [Google Scholar] [CrossRef] [PubMed]
- Elazzouzi-Hafraoui, S.; Nishiyama, Y.; Putaux, J.-L.; Heux, L.; Dubreuil, F.; Rochas, C. The shape and size distribution of crystalline nanoparticles prepared by acid hydrolysis of native cellulose. Biomacromolecules 2008, 9, 57–65. [Google Scholar] [CrossRef] [PubMed]
- Bootten, T.J.; Harris, P.J.; Melton, L.D.; Newman, R.H. WAXS and 13C NMR Study of Glucoacetobacter Xylinus Cellulose in Composites with Tamarind Xyloglucan. Carbohydr. Res. 2008, 343, 221–229. [Google Scholar] [CrossRef] [PubMed]
- Poletto, M.; Ornaghi, H.L.; Zattera, A.J. Native cellulose: Structure, characterization and thermal properties. Materials 2014, 7, 6105–6119. [Google Scholar] [CrossRef] [PubMed]
- Kim, J.; Cai, Z.; Lee, H.S.; Choi, G.S.; Lee, D.H.; Jo, C. Preparation and Characterization of a Bacterial Cellulose/Chitosan Composite for Potential Biomedical Application. J. Polym. Res. 2011, 18, 739–744. [Google Scholar] [CrossRef]
- Atykyan, N.; Revin, V.; Shutova, V. Raman and FT-IR Spectroscopy investigation the cellulose structural differences from bacteria Gluconacetobacter sucrofermentans during the different regimes of cultivation on a molasses media. AMB Express 2020, 10, 1–11. [Google Scholar] [CrossRef]
- Costa, A.F.S.; Almeida, F.C.G.; Vinhas, G.M.; Sarubbo, L.A. Production of bacterial cellulose by Gluconacetobacter hansenii using corn steep liquor as nutrient sources. Front. Microbiol. 2017, 8, 2027. [Google Scholar] [CrossRef]
- Portela, R.; Leal, C.R.; Almeida, P.L.; Sobral, R.G. Bacterial Cellulose: A Versatile Biopolymer for Wound Dressing Applications. Microb. Biotechnol. 2019, 12, 586–610. [Google Scholar] [CrossRef] [PubMed]
- Gorgieva, S.; Trček, J. Bacterial Cellulose: Production, Modification and Perspectives in Biomedical Applications. Nanomaterials 2019, 9, 1352. [Google Scholar] [CrossRef]
- Gelin, K.; Bodin, A.; Gatenholm, P.; Mihranyan, A.; Edwards, K.; Strømme, M. Characterization of Water in Bacterial Cellulose Using Dielectric Spectroscopy and Electron Microscopy. Polymer 2007, 48, 7623–7631. [Google Scholar] [CrossRef]
- Schwertassek, K. 30 Jahre Strukturstudien an Cellulosefasern mittels der Jodsorption. Ruckblick und Ausblick. Faserforsch. Text. 1961, 12, 369. [Google Scholar]
- Nikolić, T.; Hajnrih, T.; Kramar, A.; Petronijević, Z.; Koštić, M. Influence of periodate oxidation on sorption properties of viscose yarn. Cellul. Chem. Technol. 2018, 52, 459–467. [Google Scholar]











| Type of Medium | Sample Coding | Media Composition |
|---|---|---|
| HS-Glc | 30 g/L glucose 5 g/L yeast extract 5 g/L peptone 2.7 g/L Na2HPO4 1.15 g/L citric acid | |
| Chemically defined media—standard Hestrin–Schramm media with C-source modifications | HS-Fru | 30 g/L fructose 5 g/L yeast extract 5 g/L peptone 2.7 g/L Na2HPO4 1.15 g/L citric acid |
| HS-Suc | 30 g/L sucrose 5 g/L yeast extract 5 g/L peptone 2.7 g/L Na2HPO4 1.15 g/L citric acid | |
| Complex media—beetroot peels | BTR | 80.09 g/L sucrose 24.99 g/L glucose 8.6 g/L fructose N, P-sources, and growth factors were from beetroot peels |
| Analysis Type | Peel Composition (g/100 g) |
|---|---|
| Water | 88.02 ± 0.89 |
| Crude protein | 1.84 ± 0.02 |
| Total fat | 0.16 ± 0.11 |
| Ash | 1.09 ± 0.20 |
| Crude fiber | 2.35 ± 0.13 |
| Total sugars * | 7.54 ± 0.79 |
| Sucrose | 4.65 ± 0.51 |
| Glucose | 1.59 ± 0.23 |
| Fructose | 0.48 ± 0.18 |
| Carbon Source | Concentration (g/L) | Consumption (%) | Consumption of C (mol/L) | BNC Yield (g/L) | BNC Production Efficiency (g/mol C) | |
|---|---|---|---|---|---|---|
| Sole carbon | Glc | 30.00 ± 0.09 | 90.67 ± 1.88 | 0.36 ± 0.01 | 13.07 ± 0.08 | 36.31 ± 0.31 |
| source (HS) | Fru | 30.00 ± 0.11 | 75.03 ± 2.12 | 0.3 ± 0.11 | 7.9 ± 0.21 | 26.33 ± 0.05 |
| Suc | 30.00 ± 0.12 | 95.02 ± 3.01 | 0.38 ± 0.09 | 10.55 ± 0.05 | 27.76 ± 0.29 | |
| Mixed carbon | Glc | 24.99 ± 0.24 | - | - | - | - |
| source (BTR) | Fru | 8.60 ± 0.31 | - | - | - | - |
| Suc | 80.09 ± 0.26 | 85.04 ± 2.56 | 0.86 ± 0.31 | 11.89 ± 0.18 | 13.83 ± 0.51 |
| Medium Volume V (mL) | Carbon Concentration (g/L) | Surface Area a (cm2) | Depth h (cm) | a/h Ratio (cm) | Pellicle Thickness (mm) | Wet Pellicle mass (g) | Dry Pellicle Mass (g) | BNC Yield (g/L) |
|---|---|---|---|---|---|---|---|---|
| 100 | 30 ± 0.01 | 59.4 ± 0.11 | 4.5 ± 0.04 | 13.2 ± 0.04 | 1.8 ± 0.12 | 27.21 ± 0.07 | 0.51 ± 0.05 | 5.11 ± 0.06 |
| 200 | 30 ± 0.03 | 33.2 ± 0.21 | 6.5 ± 0.02 | 5.11 ± 0.09 | 8.1 ± 0.03 | 98.75 ± 0.13 | 1.78 ± 0.09 | 8.92 ± 0.09 |
| 600 | 30 ± 0.02 | 77.1 ± 0.13 | 12 ± 0.15 | 6.43 ± 0.02 | 24.2 ± 0.05 | 346.23 ± 0.11 | 6.54 ± 0.06 | 10.09 ± 0.04 |
| 800 | 30 ± 0.05 | 113.1 ± 0.08 | 8 ± 0.09 | 9.82 ± 0.11 | 30.3 ± 0.01 | 516.13 ± 0.08 | 9.67 ± 0.04 | 12.09 ± 0.12 |
| Wavenumber (cm−1) | Chemical Group | Ref. |
|---|---|---|
| 3350 | γOH covalent bond, hydrogen bonding | [74] |
| 2936 | γCH asymmetric stretching of aliphatic CH2 and CH3 groups | [75] |
| 1627 | bending vibration of water molecules (HOH) | [76] |
| 1380 | δCH2 (symmetric stretching at C-6 (crystalline region)) | [74] |
| 1030–1100 | stretching vibration of C-O single bond | [75] |
| 669 | O-H out-of-phase bonding vibration | [76] |
| BNC Sample | d-Spacing (Å) 1 | Crystallite Size (nm) | Crystallinity Index | Z | ||||
|---|---|---|---|---|---|---|---|---|
| d1 | d2 | d3 | Crystal 1 | Crystal 2 | Crystal 3 | (%) | ||
| BTR BNC | 6.08 | 5.26 | 3.92 | 6.6 | 13 | 6.5 | 89 | 82 |
| HS-Glc BNC | 6.13 | 5.26 | 3.92 | 6.7 | 20 | 7.4 | 81 | 90 |
Publisher’s Note: MDPI stays neutral with regard to jurisdictional claims in published maps and institutional affiliations. |
© 2022 by the authors. Licensee MDPI, Basel, Switzerland. This article is an open access article distributed under the terms and conditions of the Creative Commons Attribution (CC BY) license (https://creativecommons.org/licenses/by/4.0/).
Share and Cite
Beluhan, S.; Herceg, F.; Leboš Pavunc, A.; Djaković, S. Preparation and Structural Properties of Bacterial Nanocellulose Obtained from Beetroot Peel Medium. Energies 2022, 15, 9374. https://doi.org/10.3390/en15249374
Beluhan S, Herceg F, Leboš Pavunc A, Djaković S. Preparation and Structural Properties of Bacterial Nanocellulose Obtained from Beetroot Peel Medium. Energies. 2022; 15(24):9374. https://doi.org/10.3390/en15249374
Chicago/Turabian StyleBeluhan, Sunčica, Filip Herceg, Andreja Leboš Pavunc, and Senka Djaković. 2022. "Preparation and Structural Properties of Bacterial Nanocellulose Obtained from Beetroot Peel Medium" Energies 15, no. 24: 9374. https://doi.org/10.3390/en15249374
APA StyleBeluhan, S., Herceg, F., Leboš Pavunc, A., & Djaković, S. (2022). Preparation and Structural Properties of Bacterial Nanocellulose Obtained from Beetroot Peel Medium. Energies, 15(24), 9374. https://doi.org/10.3390/en15249374

