Comparative Study of Spark-Ignited and Pre-Chamber Hydrogen-Fueled Engine: A Computational Approach
Abstract
1. Introduction
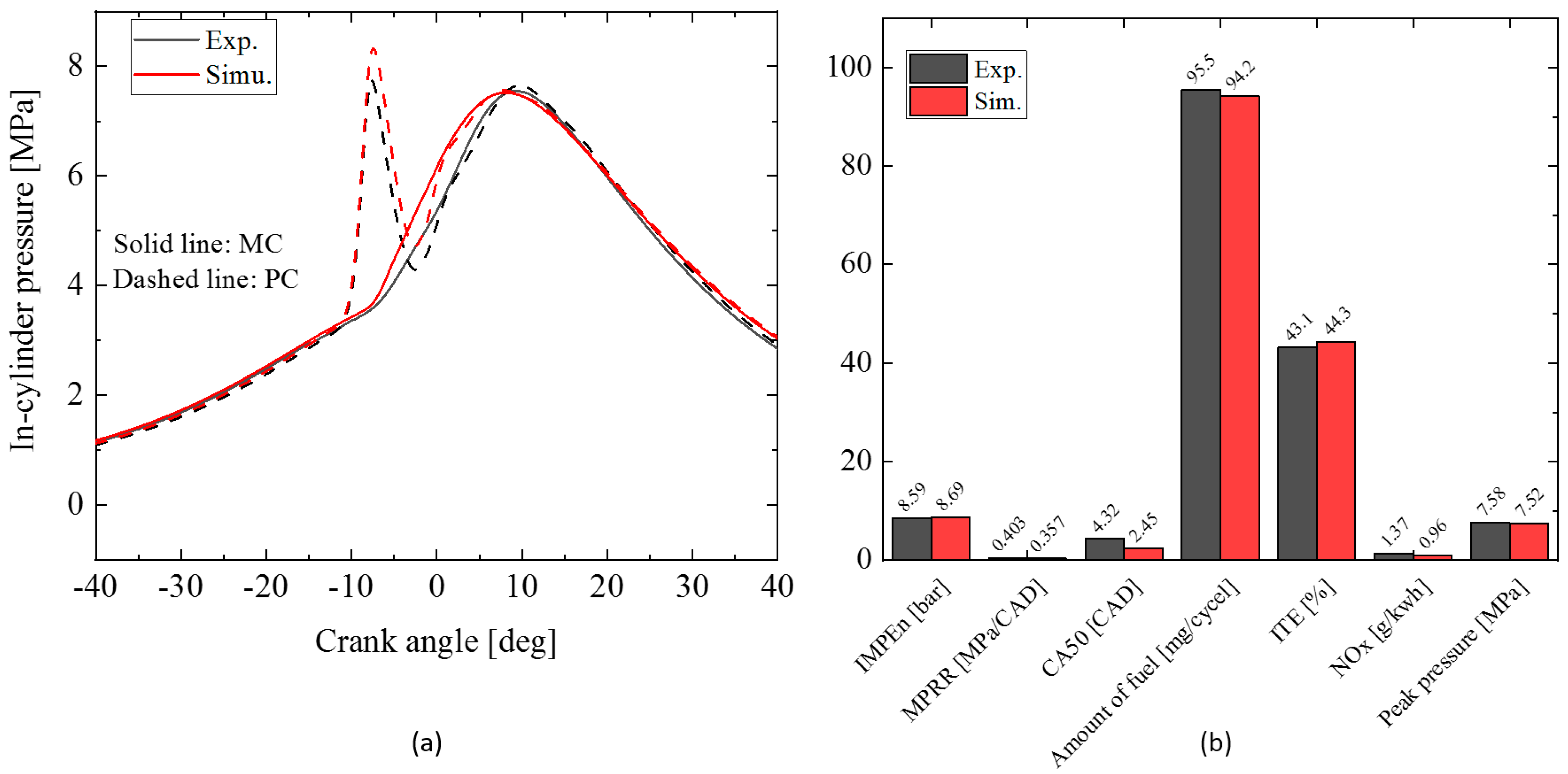
2. Numerical Setup and Model Validation
3. Results and Discussion
3.1. SI Combustion
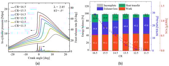
3.1.1. Effect of Compression Ratio
3.1.2. Effect of Air–Fuel Ratio (λ)
3.1.3. Effect of Spark Timing
3.2. Pre-Chamber (PC) Combustion
3.2.1. Passive PC
3.2.2. Active PC
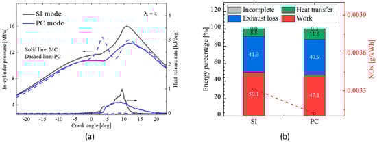
3.3. Comparison between SI and PC Combustion Modes
4. Conclusions
Author Contributions
Funding
Acknowledgments
Conflicts of Interest
Abbreviation
| Abbreviation | Meaning |
| AMR | Adaptive mesh refinement |
| bTDC | Before top dead center |
| CA | Crank angle |
| CA5 | Crank angle of 5% cumulative heat release |
| CA90 | Crank angle of 90% cumulative heat release |
| CAD | Crank angle degree |
| CFD | Computational fluid dynamics |
| CI | Compression ignition |
| CO | Carbon monoxide |
| CR | Compression ratio |
| GHG | Greenhouse gas |
| HCCI | Homogenous charge compression ignition |
| HRR | Heat release rate |
| ICE | Internal combustion engine |
| IMEP | Indicated mean effective pressure |
| ITE | Indicated thermal efficiency |
| MC | Main chamber |
| MPRR | Maximum pressure rise rate |
| PC | Pre-chamber |
| PCFR | Pre-chamber fueling ratio |
| PFI | Port fuel injection |
| RNG | Renormalization group |
| RON | Research octane number |
| RPM | Revolution per minute |
| SACI | Spark assisted compression ignition |
| SI | Spark ignition |
| ST | Spark time |
| TDC | Top dead center |
| TKE | Turbulent kinetic energy |
| λ | Air–fuel ratio |
References
- McBain, S.; Teter, J. Tracking Transport 2021; IEA: International Energy Agency. Available online: https://policycommons.net/artifacts/1887399/tracking-transport-2021/2636759/ (accessed on 24 November 2022).
- White, C.M.; Steeper, R.R.; Lutz, A.E. The hydrogen-fueled internal combustion engine: A technical review. Int. J. Hydrog. Energy 2006, 31, 1292–1305. [Google Scholar] [CrossRef]
- Knop, V.; Benkenida, A.; Jay, S.; Colin, O. Modelling of combustion and nitrogen oxide formation in hydrogen-fuelled internal combustion engines within a 3D CFD code. Int. J. Hydrog. Energy 2008, 33, 5083–5097. [Google Scholar] [CrossRef]
- Verhelst, S.; Maesschalck, P.; Rombaut, N.; Sierens, R. Increasing the power output of hydrogen internal combustion engines by means of supercharging and exhaust gas recirculation. Int. J. Hydrog. Energy 2009, 34, 4406–4412. [Google Scholar] [CrossRef]
- Mohammadi, A.; Shioji, M.; Nakai, Y.; Ishikura, W.; Tabo, E. Performance and combustion characteristics of a direct injection SI hydrogen engine. Int. J. Hydrog. Energy 2007, 32, 296–304. [Google Scholar] [CrossRef]
- Boretti, A.A.; Watson, H.C. Enhanced combustion by jet ignition in a turbocharged cryogenic port fuel injected hydrogen engine. Int. J. Hydrog. Energy 2009, 34, 2511–2516. [Google Scholar] [CrossRef]
- Safari, H.; Jazayeri, S.A.; Ebrahimi, R. Potentials of NOX emission reduction methods in SI hydrogen engines: Simulation study. Int. J. Hydrog. Energy 2009, 34, 1015–1025. [Google Scholar] [CrossRef]
- D’Errico, G.; Onorati, A.; Ellgas, S. 1D thermo-fluid dynamic modelling of an SI single-cylinder H2 engine with cryogenic port injection. Int. J. Hydrog. Energy 2008, 33, 5829–5841. [Google Scholar] [CrossRef]
- Kawahara, N.; Tomita, E. Visualization of auto-ignition and pressure wave during knocking in a hydrogen spark-ignition engine. Int. J. Hydrog. Energy 2009, 34, 3156–3163. [Google Scholar] [CrossRef]
- Antunes, J.M.G.; Mikalsen, R.; Roskilly, A.P. An experimental study of a direct injection compression ignition hydrogen engine. Int. J. Hydrog. Energy 2009, 34, 6516–6522. [Google Scholar] [CrossRef]
- Nieminen, J.; D’Souza, N.; Dincer, I. Comparative combustion characteristics of gasoline and hydrogen fuelled ICEs. Int. J. Hydrog. Energy 2010, 35, 5114–5123. [Google Scholar] [CrossRef]
- Aleiferis, P.G.; Rosati, M.F. Controlled autoignition of hydrogen in a direct-injection optical engine. Combust. Flame 2012, 159, 2500–2515. [Google Scholar] [CrossRef]
- Drell, I.L.; Belles, F.E. Survey of Hydrogen Combustion Properties: Report 1383; National Advisory Committee for Aeronautics: Cleveland, OH, USA, 1958. [Google Scholar]
- Heywood, J.B. Internal Combustion Engine Fundamentals; McGraw-Hill Education: New York, NY, USA, 2018; ISBN 1260116107. [Google Scholar]
- Tang, X.; Kabat, D.M.; Natkin, R.J.; Stockhausen, W.F.; Heffel, J. Ford P2000 hydrogen engine dynamometer development. SAE Trans. 2002, 111, 631–642. [Google Scholar]
- Li, H.; Karim, G.A. Knock in spark ignition hydrogen engines. Int. J. Hydrog. Energy 2004, 29, 859–865. [Google Scholar] [CrossRef]
- Al-Baghdadi, M.A.R.S. Effect of compression ratio, equivalence ratio and engine speed on the performance and emission characteristics of a spark ignition engine using hydrogen as a fuel. Renew. Energy 2004, 29, 2245–2260. [Google Scholar] [CrossRef]
- Das, L.M. Hydrogen engines: A view of the past and a look into the future. Int. J. Hydrog. Energy 1990, 15, 425–443. [Google Scholar] [CrossRef]
- Nagalingam, B.; Dubel, M.; Schmillen, K. Performance of the Supercharged Spark Ignition Hydrogen Engine; Indian Institute of Technology: Madras, India, 1983. [Google Scholar]
- Natkin, R.J.; Tang, X.; Boyer, B.; Oltmans, B.; Denlinger, A.; Heffel, J.W. Hydrogen IC engine boosting performance and NOx study. SAE Trans. 2003, 112, 865–875. [Google Scholar]
- Fischer, M.; Sterlepper, S.; Pischinger, S.; Seibel, J.; Kramer, U.; Lorenz, T. Operation principles for hydrogen spark ignited direct injection engines for passenger car applications. Int. J. Hydrog. Energy 2022, 47, 5638–5649. [Google Scholar] [CrossRef]
- Oikawa, M.; Kojiya, Y.; Sato, R.; Goma, K.; Takagi, Y.; Mihara, Y. Effect of supercharging on improving thermal efficiency and modifying combustion characteristics in lean-burn direct-injection near-zero-emission hydrogen engines. Int. J. Hydrog. Energy 2022, 47, 1319–1327. [Google Scholar] [CrossRef]
- Bao, L.; Sun, B.; Luo, Q. Experimental investigation of the achieving methods and the working characteristics of a near-zero NOx emission turbocharged direct-injection hydrogen engine. Fuel 2022, 319, 123746. [Google Scholar] [CrossRef]
- Gürbüz, H.; Akçay, İ.H. Evaluating the effects of boosting intake-air pressure on the performance and environmental-economic indicators in a hydrogen-fueled SI engine. Int. J. Hydrog. Energy 2021, 46, 28801–28810. [Google Scholar] [CrossRef]
- Niu, R.; Yu, X.; Du, Y.; Xie, H.; Wu, H.; Sun, Y. Effect of hydrogen proportion on lean burn performance of a dual fuel SI engine using hydrogen direct-injection. Fuel 2016, 186, 792–799. [Google Scholar] [CrossRef]
- Molina, S.; Novella, R.; Gomez-Soriano, J.; Olcina-Girona, M. Experimental Evaluation of Methane-Hydrogen Mixtures for Enabling Stable Lean Combustion in Spark-Ignition Engines for Automotive Applications; No. 2022-01-0471. SAE Technical Paper; SAE: Warrendale, PA, USA, 2022. [Google Scholar]
- Lee, K.J.; Kim, Y.R.; Byun, C.H.; Lee, J.T. Feasibility of compression ignition for hydrogen fueled engine with neat hydrogen-air pre-mixture by using high compression. Int. J. Hydrog. Energy 2013, 38, 255–264. [Google Scholar] [CrossRef]
- Bunce, M.P.; Chinnathambi, P.; Blaxill, H.R. The Effects of Pre-Chamber-Initiated Lean-Burn Combustion on Engine Efficiency and Emissions; MAHLE Powertrain LLC: Plymouth, MI, USA, 2015. [Google Scholar]
- Control of Lean Mixtures; SAE Technical Paper; SAE International: Warrendale, PA, USA, 1979.
- Jamrozik, A. Lean combustion by a pre-chamber charge stratification in a stationary spark ignited engine. J. Mech. Sci. Technol. 2015, 29, 2269–2278. [Google Scholar] [CrossRef]
- Liu, F.; Zhou, L.; Hua, J.; Liu, C.; Wei, H. Effects of pre-chamber jet ignition on knock and combustion characteristics in a spark ignition engine fueled with kerosene. Fuel 2021, 293, 120278. [Google Scholar] [CrossRef]
- Novella, R.; Gómez-Soriano, J.; Martinez-Hernandiz, P.J.; Libert, C.; Rampanarivo, F. Improving the performance of the passive pre-chamber ignition concept for spark-ignition engines fueled with natural gas. Fuel 2021, 290, 119971. [Google Scholar] [CrossRef]
- Benajes, J.; Novella, R.; Gómez-Soriano, J.; Martinez-Hernandiz, P.J.; Libert, C.; Dabiri, M. Evaluation of the passive pre-chamber ignition concept for future high compression ratio turbocharged spark-ignition engines. Appl. Energy 2019, 248, 576–588. [Google Scholar] [CrossRef]
- Garcia-Oliver, J.M.; Niki, Y.; Rajasegar, R.; Novella, R.; Gomez-Soriano, J.; Martinez-Hernandiz, P.J.; Li, Z.; Musculus, M.P.B. An experimental and one-dimensional modeling analysis of turbulent gas ejection in pre-chamber engines. Fuel 2021, 299, 120861. [Google Scholar] [CrossRef]
- Validi, A.; Schock, H.; Jaberi, F. Turbulent jet ignition assisted combustion in a rapid compression machine. Combust. Flame 2017, 186, 65–82. [Google Scholar] [CrossRef]
- Ju, D.; Huang, Z.; Li, X.; Zhang, T.; Cai, W. Comparison of open chamber and pre-chamber ignition of methane/air mixtures in a large bore constant volume chamber: Effect of excess air ratio and pre-mixed pressure. Appl. Energy 2020, 260, 114319. [Google Scholar] [CrossRef]
- Boretti, A.A. Modelling auto ignition of hydrogen in a jet ignition pre-chamber. Int. J. Hydrog. Energy 2010, 35, 3881–3890. [Google Scholar] [CrossRef]
- Tanoue, K.; Kimura, T.; Jimoto, T.; Hashimoto, J.; Moriyoshi, Y. Study of prechamber combustion characteristics in a rapid compression and expansion machine. Appl. Therm. Eng. 2017, 115, 64–71. [Google Scholar] [CrossRef]
- Biswas, S.; Tanvir, S.; Wang, H.; Qiao, L. On ignition mechanisms of premixed CH4/air and H2/air using a hot turbulent jet generated by pre-chamber combustion. Appl. Therm. Eng. 2016, 106, 925–937. [Google Scholar] [CrossRef]
- Liu, Z.; Zhou, L.; Liu, B.; Zhao, W.; Wei, H. Effects of equivalence ratio and pilot fuel mass on ignition/extinction and pressure oscillation in a methane/diesel engine with pre-chamber. Appl. Therm. Eng. 2019, 158, 113777. [Google Scholar] [CrossRef]
- da Costa, R.B.R.; Teixeira, A.F.; Rodrigues Filho, F.A.; Pujatti, F.J.P.; Coronado, C.J.R.; Hernández, J.J.; Lora, E.E.S. Development of a homogeneous charge pre-chamber torch ignition system for an SI engine fuelled with hydrous ethanol. Appl. Therm. Eng. 2019, 152, 261–274. [Google Scholar] [CrossRef]
- Alvarez, C.E.C.; Couto, G.E.; Roso, V.R.; Thiriet, A.B.; Valle, R.M. A review of prechamber ignition systems as lean combustion technology for SI engines. Appl. Therm. Eng. 2018, 128, 107–120. [Google Scholar] [CrossRef]
- Xu, G.; Kotzagianni, M.; Kyrtatos, P.; Wright, Y.M.; Boulouchos, K. Experimental and numerical investigations of the unscavenged prechamber combustion in a rapid compression and expansion machine under engine-like conditions. Combust. Flame 2019, 204, 68–84. [Google Scholar] [CrossRef]
- Yousefi, A.; Birouk, M. Investigation of natural gas energy fraction and injection timing on the performance and emissions of a dual-fuel engine with pre-combustion chamber under low engine load. Appl. Energy 2017, 189, 492–505. [Google Scholar] [CrossRef]
- Richards, K.J.; Senecal, P.K.; Pomraning, E. CONVERGE 3.0; Convergent Science: Madison, WI, USA, 2022. [Google Scholar]
- Han, Z.; Reitz, R.D. Turbulence modeling of internal combustion engines using RNG κ-ε models. Combust. Sci. Technol. 1995, 106, 267–295. [Google Scholar] [CrossRef]
- Amsden, A.A.; Findley, M. KIVA-3V: A Block-Structured KIVA Program for Engines with Vertical or Canted Valves; Lawrence Livermore National Lab.(LLNL): Livermore, CA, USA, 1997. [Google Scholar]
- Nasrifar, K. Comparative study of eleven equations of state in predicting the thermodynamic properties of hydrogen. Int. J. Hydrog. Energy 2010, 35, 3802–3811. [Google Scholar] [CrossRef]
- Park, J.-W.; Pei, Y.; Zhang, Y.; Zhang, A.; Som, S. Optimizing Hydrogen Kinetics for Zero-Carbon Emission Transport Technologies. In Proceedings of the International Petroleum Technology Conference, Riyadh, Saudi Arabia, 21–23 February 2022; OnePetro: Richardson, TX, USA, 2022. [Google Scholar]
- Burke, M.P.; Chaos, M.; Ju, Y.; Dryer, F.L.; Klippenstein, S.J. Comprehensive H2/O2 kinetic model for high-pressure combustion. Int. J. Chem. Kinet. 2012, 44, 444–474. [Google Scholar] [CrossRef]
- Bradley, D.; Lawes, M.; Liu, K.; Verhelst, S.; Woolley, R. Laminar burning velocities of lean hydrogen–air mixtures at pressures up to 1.0 MPa. Combust. Flame 2007, 149, 162–172. [Google Scholar] [CrossRef]
- Silva, M.R.; Ben Houidi, M.; Hlaing, P.; Sanal, S.; Cenker, E.; AlRamadan, A.; Chang, J.; Turner, J.; Im, H. The Effects of Piston Shape in a Narrow-Throat Pre-Chamber Engine; SAE Technical Paper; SAE International: Warrendale, PA, USA, 2022. [Google Scholar]
- Hlaing, P.; Silva, M.; Marquez, M.E.; Cenker, E.; Ben Houidi, M.; Im, H.G.; Turner, J.W.G.; Johansson, B. Estimates of the air-fuel ratio at the time of ignition in a pre-chamber using a narrow throat geometry. Int. J. Engine Res. 2021. [Google Scholar] [CrossRef]
- Silva, M.; Sanal, S.; Hlaing, P.; Cenker, E.; Johansson, B.; Im, H.G. A Computational Investigation of Fuel Enrichment in the Pre-Chamber on the Ignition of the Main Chamber Charge; In SAE Technical Paper Series; SAE International: Warrendale, PA, USA, 2021. [Google Scholar] [CrossRef]
- Silva, M.; Sanal, S.; Hlaing, P.; Cenker, E.; Johansson, B.; Im, H.G. Effects of Geometry on Passive Pre-Chamber Combustion Characteristics; SAE Technical Paper; SAE International: Warrendale, PA, USA, 2020. [Google Scholar]
- Sanal, S.; Silva, M.; Hlaing, P.; Cenker, E.; Johansson, B.; Im, H.G. A Numerical Study on the Ignition of Lean CH 4/Air Mixture by a Pre-Chamber-Initiated Turbulent Jet; SAE Technical Paper; SAE International: Warrendale, PA, USA, 2020. [Google Scholar]
- Silva, M.; Liu, X.; Hlaing, P.; Sanal, S.; Cenker, E.; Chang, J.; Johansson, B.; Im, H.G. Computational assessment of effects of throat diameter on combustion and turbulence characteristics in a pre-chamber engine. Appl. Therm. Eng. 2022, 212, 118595. [Google Scholar] [CrossRef]
- Aljabri, H.H.; Babayev, R.; Liu, X.; Badra, J.; Johansson, B.; Im, H.G. Validation of Computational Models for Isobaric Combustion Engines; SAE Technical Paper Series; SAE International: Warrendale, PA, USA, 2020. [Google Scholar] [CrossRef]
- Aljabri, H.; Liu, X.; Allehaibi, M.; AlRamadan, A.S.; Badra, J.; Ben Houidi, M.; Johansson, B.; Im, H.G. Computational Investigation of the Effects of Injection Strategy and Rail Pressure on Isobaric Combustion in an Optical Compression Ignition Engine; SAE Technical Paper; SAE International: Warrendale, PA, USA, 2021. [Google Scholar]
- Meininger, R.D.; Kweon, C.-B.M.; Szedlmayer, M.T.; Dang, K.Q.; Jackson, N.B.; Lindsey, C.A.; Gibson, J.A.; Armstrong, R.H. Knock criteria for aviation diesel engines. Int. J. Engine Res. 2017, 18, 752–762. [Google Scholar] [CrossRef]
- Sahoo, S.; Srivastava, D.K. Effect of compression ratio on engine knock, performance, combustion and emission characteristics of a bi-fuel CNG engine. Energy 2021, 233, 121144. [Google Scholar] [CrossRef]
- Sementa, P.; de Vargas Antolini, J.B.; Tornatore, C.; Catapano, F.; Vaglieco, B.M.; Sánchez, J.J.L. Exploring the potentials of lean-burn hydrogen SI engine compared to methane operation. Int. J. Hydrog. Energy 2022, 47, 25044–25056. [Google Scholar] [CrossRef]
- Ge, H.; Lee, B.; Parameswaran, S.; Zhao, P. Combustion, knock and emissions of a port-fuled spark-ignition hydrogen engine: A CFD study. In Proceedings of the 12th U. S. National Combustion Meeting, Virtual, 14 May 2021. [Google Scholar]
- Hlaing, P.; Echeverri Marquez, M.; Singh, E.; Almatrafi, F.; Cenker, E.; Ben Houidi, M.; Johansson, B. Effect of Pre-Chamber Enrichment on Lean Burn Pre-Chamber Spark Ignition Combustion Concept with a Narrow-Throat Geometry; SAE Technical Papers; SAE International: Warrendale, PA, USA, 2020; pp. 1–21. [Google Scholar] [CrossRef]






















| Engine Type | 4-Stroke |
|---|---|
| Bore/stroke (mm) | 131/158 |
| Connecting rod length (mm) | 255 |
| Displacement volume (L) | 2.13 |
| Geometric compression ratio | 17:1 |
| Intake valve open (°aTDC) | 347 |
| Intake valve close (°aTDC) | −167 |
| Exhaust valve open (°aTDC) | −140 |
| Exhaust valve close (°aTDC) | 352 |
| H2 injected mass (mg/cycle) | 38.2 |
| Load (bar IMEP) | 9.5 |
|---|---|
| Engine speed (RPM) | 1200 |
| Effective compression ration | 11.1 |
| Intake pressure (bar) | 1.5 |
| Intake temperature (K) | 303 |
| Exhaust pressure (bar) | 1.7 |
| Exhaust temperature (K) | 800 |
| Total fuel mass (mg) | 94 |
| Global-λ | 1.8 |
| Pre-chamber fueling ratio (PCFR) (%) | 3 |
| Spark timing (CAD aTDC) | −13 |
| PC Throat Diameter (mm) | 3.3 |
|---|---|
| PC nozzle layer number | 2 |
| PC total nozzle number | 12 |
| PC nozzle diameter (mm) | 1.5 |
| PC nozzle angle (°) | 134 |
Publisher’s Note: MDPI stays neutral with regard to jurisdictional claims in published maps and institutional affiliations. |
© 2022 by the authors. Licensee MDPI, Basel, Switzerland. This article is an open access article distributed under the terms and conditions of the Creative Commons Attribution (CC BY) license (https://creativecommons.org/licenses/by/4.0/).
Share and Cite
Aljabri, H.; Silva, M.; Houidi, M.B.; Liu, X.; Allehaibi, M.; Almatrafi, F.; AlRamadan, A.S.; Mohan, B.; Cenker, E.; Im, H.G. Comparative Study of Spark-Ignited and Pre-Chamber Hydrogen-Fueled Engine: A Computational Approach. Energies 2022, 15, 8951. https://doi.org/10.3390/en15238951
Aljabri H, Silva M, Houidi MB, Liu X, Allehaibi M, Almatrafi F, AlRamadan AS, Mohan B, Cenker E, Im HG. Comparative Study of Spark-Ignited and Pre-Chamber Hydrogen-Fueled Engine: A Computational Approach. Energies. 2022; 15(23):8951. https://doi.org/10.3390/en15238951
Chicago/Turabian StyleAljabri, Hammam, Mickael Silva, Moez Ben Houidi, Xinlei Liu, Moaz Allehaibi, Fahad Almatrafi, Abdullah S. AlRamadan, Balaji Mohan, Emre Cenker, and Hong G. Im. 2022. "Comparative Study of Spark-Ignited and Pre-Chamber Hydrogen-Fueled Engine: A Computational Approach" Energies 15, no. 23: 8951. https://doi.org/10.3390/en15238951
APA StyleAljabri, H., Silva, M., Houidi, M. B., Liu, X., Allehaibi, M., Almatrafi, F., AlRamadan, A. S., Mohan, B., Cenker, E., & Im, H. G. (2022). Comparative Study of Spark-Ignited and Pre-Chamber Hydrogen-Fueled Engine: A Computational Approach. Energies, 15(23), 8951. https://doi.org/10.3390/en15238951

