Metal-Organic Framework Adsorbent Materials in HVAC Systems: General Survey and Theoretical Assessment
Abstract
1. Introduction
2. Traditional Dehumidification vs. MOF-Assisted Dehumidification: Psychrometric Transformations
2.1. HVAC with Traditional Dehumidification
- Pre-cooling of the outdoor air with an air-to-air heat exchanger, where the exhaust airflow coming from indoors is used as a pre-cooling medium (transformation 1–2).
 - Cooling and dehumidification with a cooling coil (with a low temperature of the coolant). The air at the outlet of the coil is saturated, and the temperature is equal to the dew point temperature of the supply conditions (2–3). Coolant temperature must be lower than this limit. Additionally, in HVAC applications, a reference temperature for the coolant entering the coil is 7 °C.
 - Heating with a post-heating coil (e.g., the desuperheater and/or condenser of the VCR, or other thermal sources) to reach supply conditions (3–4).
 
2.2. HVAC with MOF-Assisted Dehumidification
- Isothermal dehumidification with a MOF-Assisted Dehumidifier (MAD). The final point of the dehumidification process has a humidity ratio equal to the ones of supply conditions (transformations).
 - Sensible cooling with the cooling coil, with a higher temperature of the coolant. In this case the coolant temperature must be lower than the air at the coil outlet, but these values are significantly higher than in the traditional cooling/dehumidification process.
 

3. Mathematical Modelling
3.1. HVAC with Traditional Dehumidification
3.2. HVAC with MOF-Assisted Dehumidification
4. Case Study
5. Results and Discussion
5.1. Comparison of Psychrometric Transformations
5.2. Comparison between Traditional and MOF-Assisted Dehumidification
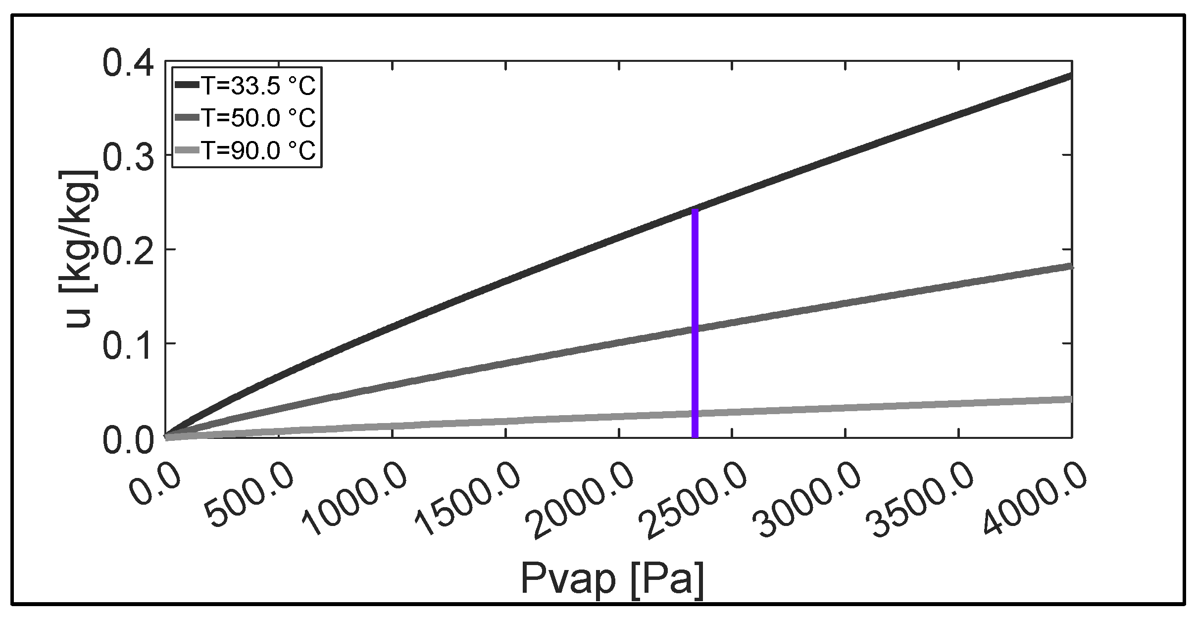
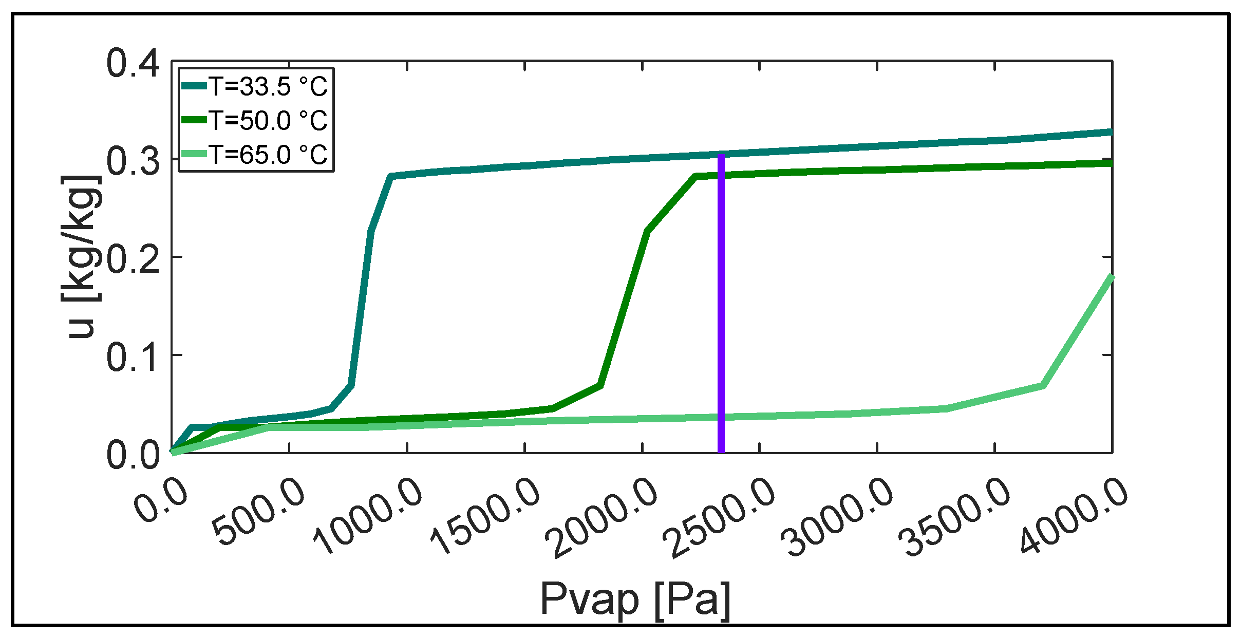
5.3. Comparison between MOF and Other Desiccants
6. Conclusions
Author Contributions
Funding
Conflicts of Interest
Abbreviations
| AC | Air Conditioning | 
| c | Constant pressure specific heat [kJ/kg/K] | 
| DT | Temperature difference [°C] | 
| EER | Energy Efficiency Ratio | 
| eff | Efficiency | 
| HVAC | Heating Ventilation Air Conditioning | 
| j | Specific enthalpy [kJ/kg] | 
| Air mass flow rate [kg/s] | |
| MAD | MOF-Assisted Dehumidifier | 
| MOF | Metal-Organic Framework | 
| n | Number of people | 
| Thermal load [kW] | |
| r | Latent heat of vaporisation [kJ/kg] | 
| RH | Relative Humidity [%] | 
| SHR | Sensible Heat Ratio | 
| T | Temperature [°C] | 
| u | Water uptake [kg water/kg adsorbent] | 
| VCR | Vapour Compression Refrigeration | 
| Power [kW] | |
| x | Humidity ratio [kg/kg] | 
| Subscripts | |
| c | Cooling coil | 
| dp | Dew point | 
| e | Exhaust airflow (from indoor environment) | 
| h | Heating coil | 
| he | Air-to-air heat exchanger | 
| i | Indoor air | 
| lat | Latent | 
| mof | MOF-Assisted Dehumidifier | 
| o | Outdoor air | 
| p | Person | 
| s | Supply air | 
| sens | Sensible | 
| evap | Evaporator of the VCR cycle | 
| cond | Condenser of the VCR cycle | 
| I | Air at the outlet of the evaporator | 
| II | Air at the outlet of the condenser | 
References
- Grazzini, G.; Milazzo, A. Tecnica Del Freddo; Società Editrice Esculapio: Bologna, Italy, 2017; ISBN 9788874889969. [Google Scholar]
 - IEA. World Energy Outlook 2022. IEA Report. 2022. Available online: https://www.iea.org/reports/world-energy-outlook-2022 (accessed on 21 November 2022).
 - IEA. Net Zero by 2050. IEA Report. 2021. Available online: https://www.iea.org/reports/net-zero-by-2050 (accessed on 21 November 2022).
 - IEA. The future of cooling. IEA Report. 2018. Available online: https://www.iea.org/reports/the-future-of-cooling (accessed on 21 November 2022).
 - Zaki, O.M.; Mohammed, R.H.; Abdelaziz, O. Separate sensible and latent cooling technologies: A comprehensive review. Energy Convers. Manag. 2022, 256, 115380. [Google Scholar] [CrossRef]
 - Cui, S.; Qin, M.; Marandi, A.; Steggles, V.; Wang, S.; Feng, X.; Nouar, F.; Serre, C. Metal-Organic Frameworks as advanced moisture sorbents for energy-efficient high temperature cooling. Sci. Rep. 2018, 8, 15284. [Google Scholar] [CrossRef] [PubMed]
 - Sultan, M.; El-Sharkawy, I.I.; Miyazaki, T.; Saha, B.B.; Koyama, S. An overview of solid desiccant dehumidification and air conditioning systems. Renew. Sustain. Energy Rev. 2015, 46, 16–29. [Google Scholar] [CrossRef]
 - Mazzei, P.; Minichiello, F.; Palma, D. Desiccant HVAC systems for commercial buildings. Appl. Therm. Eng. 2002, 22, 545–560. [Google Scholar] [CrossRef]
 - Ng, E.P.; Mintova, S. Nanoporous materials with enhanced hydrophilicity and high water sorption capacity. Microporous Mesoporous Mater. 2008, 114, 1–26. [Google Scholar] [CrossRef]
 - LaPotin, A.; Zhong, Y.; Zhang, L.; Zhao, L.; Leroy, A.; Kim, H.; Rao, S.R.; Wang, E.N. Dual-Stage Atmospheric Water Harvesting Device for Scalable Solar-Driven Water Production. Joule 2021, 5, 166–182. [Google Scholar] [CrossRef]
 - Goldsworthy, M.J. Measurements of water vapour sorption isotherms for RD silica gel, AQSOA-Z01, AQSOA-Z02, AQSOA-Z05 and CECA zeolite 3A. Microporous Mesoporous Mater. 2014, 196, 59–67. [Google Scholar] [CrossRef]
 - Thommes, M.; Kaneko, K.; Neimark, A.V.; Olivier, J.P.; Rodriguez-Reinoso, F.; Rouquerol, J.; Sing, K.S.W. Physisorption of gases, with special reference to the evaluation of surface area and pore size distribution (IUPAC Technical Report). Pure Appl. Chem. 2015, 87, 1051–1069. [Google Scholar] [CrossRef]
 - Castillo, J.M.; Silvestre-Albero, J.; Rodriguez-Reinoso, F.; Vlugt, T.J.H.; Calero, S. Water adsorption in hydrophilic zeolites: Experiment and simulation. Phys. Chem. Chem. Phys. 2013, 15, 17374–17382. [Google Scholar] [CrossRef]
 - Liu, Z.; Xu, J.; Xu, M.; Huang, C.; Wang, R.; Li, T.; Huai, X. Ultralow-temperature-driven water-based sorption refrigeration enabled by low-cost zeolite-like porous aluminophosphate. Nat. Commun. 2022, 13, 193. [Google Scholar] [CrossRef]
 - Shahvari, S.Z.; Kalkhorani, V.A.; Wade, C.R.; Clark, J.D. Benefits of metal–organic frameworks sorbents for sorbent wheels used in air conditioning systems. Appl. Therm. Eng. 2022, 210, 118407. [Google Scholar] [CrossRef]
 - Feng, X.; Qin, M.; Cui, S.; Rode, C. Metal-organic framework MIL-100(Fe) as a novel moisture buffer material for energy-efficient indoor humidity control. Build. Environ. 2018, 145, 234–242. [Google Scholar] [CrossRef]
 - Ming, Y.; Kumar, N.; Siegel, D.J. Water Adsorption and Insertion in MOF-5. ACS Omega 2017, 2, 4921–4928. [Google Scholar] [CrossRef] [PubMed]
 - Hu, Z.; Wang, Y.; Shah, B.B.; Zhao, D. CO2 Capture in Metal-Organic Framework Adsorbents: An Engineering Perspective. Adv. Sustain. Syst. 2019, 3, 1800080. [Google Scholar] [CrossRef]
 - González-Zamora, E.; Ibarra, I.A. CO2 capture under humid conditions in metal-organic frameworks. Mater. Chem. Front. 2017, 1, 1471–1484. [Google Scholar] [CrossRef]
 - Li, H.-Y.; Zhao, S.-N.; Zang, S.-Q.; Li, J. Functional metal-organic frameworks as effective sensors of gases and volatile compounds. Chem. Soc. Rev. 2020, 49, 6364–6401. [Google Scholar] [CrossRef]
 - LaPotin, A.; Kim, H.; Rao, S.R.; Wang, E.N. Adsorption-Based Atmospheric Water Harvesting: Impact of Material and Component Properties on System-Level Performance. Acc. Chem. Res. 2019, 52, 1588–1597. [Google Scholar] [CrossRef]
 - Zhou, X.; Lu, H.; Zhao, F.; Yu, G. Atmospheric Water Harvesting: A Review of Material and Structural Designs. ACS Mater. Lett. 2020, 2, 671–684. [Google Scholar] [CrossRef]
 - Hanikel, N.; Prévot, M.S.; Yaghi, O.M. MOF water harvesters. Nat. Nanotechnol. 2020, 15, 348–355. [Google Scholar] [CrossRef]
 - Khutia, A.; Rammelberg, H.U.; Schmidt, T.; Henninger, S.; Janiak, C. Water sorption cycle measurements on functionalized MIL-101Cr for heat transformation application. Chem. Mater. 2013, 25, 790–798. [Google Scholar] [CrossRef]
 - Hanikel, N.; Pei, X.; Chheda, S.; Lyu, H.; Jeong, W.; Sauer, J.; Gagliardi, L.; Yaghi, O.M. Evolution of water structures in metal-organic frameworks for improved atmospheric water harvesting. Science 2021, 374, 454–459. [Google Scholar] [CrossRef]
 - Yanagita, K.; Hwang, J.; Shamim, J.A.; Hsu, W.-L.; Matsuda, R.; Endo, A.; Delaunay, J.-J.; Daiguji, H. Kinetics of Water Vapor Adsorption and Desorption in MIL-101 Metal-Organic Frameworks. J. Phys. Chem. C 2019, 123, 387–398. [Google Scholar] [CrossRef]
 - Bareschino, P.; Diglio, G.; Pepe, F.; Angrisani, G.; Roselli, C.; Sasso, M. Numerical study of a MIL101 metal organic framework based desiccant cooling system for air conditioning applications. Appl. Therm. Eng. 2017, 124, 641–651. [Google Scholar] [CrossRef]
 - Shahvari, S.Z.; Kalkhorani, V.A.; Clark, J.D. Performance evaluation of a metal organic frameworks based combined dehumidification and indirect evaporative cooling system in different climates. Int. J. Refrig. 2022, 140, 186–197. [Google Scholar] [CrossRef]
 - Affordable and Sustainable Cooling Using Metal-Organic Frameworks. Catalyzing Commercialization. Available online: https://www.aiche.org/sites/default/files/cep/20200916.pdf (accessed on 21 November 2022).
 - Wang, W.; Wu, L.; Li, Z.; Fang, Y.; Ding, J.; Xiao, J. An Overview of Adsorbents in the Rotary Desiccant Dehumidifier for Air Dehumidification. Drying Technol. 2013, 31, 1334–1345. [Google Scholar] [CrossRef]
 - Saeed, A.; Al-Alili, A. A review on desiccant coated heat exchangers. Sci. Technol. Built Environ. 2017, 23, 136–150. [Google Scholar] [CrossRef]
 - Venegas, T.; Qu, M.; Nawaz, K.; Wang, L. Critical review and future prospects for desiccant coated heat exchangers: Materials, design, and manufacturing. Renew. Sustain. Energy Rev. 2021, 151, 111531. [Google Scholar] [CrossRef]
 - Danfoss. CoolSelector Software. Available online: https://www.danfoss.com/en-gb/service-and-support/downloads/dcs/coolselector-2/ (accessed on 21 November 2022).
 - ASHRAE. ASHRAE Handbook-Fundamentals; ASHRAE: Atlanta, GA, USA, 2021. [Google Scholar]
 - Standard UNI 10339:1995; Air-conditioning systems for thermal comfort in buildings. General, classification and requirements. Offer, order and supply specifications. UNI Ente Nazionale di Normazione: Milano, Italy, 1995.
 - Mohammed, R.H.; Mesalhy, O.; Elsayed, M.L.; Su, M.; Chow, L.C. Revisiting the adsorption equilibrium equations of silica-gel/water for adsorption cooling applications. Int. J. Refrig. 2018, 86, 40–47. [Google Scholar] [CrossRef]
 










| CASE | To [°C] | RHo [%] | 
|---|---|---|
| A | 35.0 | 30.0 | 
| B | 33.5 | 45.0 | 
| Ti [°C] | 26.0 | 
| RHi [%] | 50.0 | 
| n | 80 | 
| [kg/s/s] | 0.0125 | 
| [kg/s] | 1.0 | 
| [W] | 50.0 | 
| [W] | 50.0 | 
| SCENARIO | SHR | [kW] | [kW] | Ts [°C] | xs [kg/kg] | 
|---|---|---|---|---|---|
| 1 | 0.50 | 4.0 | 4.0 | 22.0 | 0.009 | 
| 2 | 0.60 | 6.0 | 4.0 | 20.0 | 0.009 | 
| 3 | 0.67 | 8.0 | 4.0 | 18.0 | 0.009 | 
| CASE | SCENARIO | [kW] TRAD. | [kW] TRAD. | [kW] MOF | [kW] MOF | Savings [%] | 
|---|---|---|---|---|---|---|
| 1 | 19.9 | 6.2 | 13.2 | 3.6 | 41.9 | |
| A | 2 | 19.9 | 6.2 | 15.2 | 4.3 | 30.6 | 
| 3 | 19.9 | 6.2 | 17.2 | 5.2 | 16.1 | |
| 1 | 30.2 | 9.6 | 11.7 | 3.3 | 65.6 | |
| B | 2 | 30.2 | 9.6 | 13.7 | 4.2 | 56.3 | 
| 3 | 30.2 | 9.6 | 15.7 | 5.1 | 46.9 | 
| MATERIAL | u [kg/kg] | Treg [°C] | 
|---|---|---|
| Silica-gel | 0.24 | 90.0 | 
| Zeolite | 0.30 | 65.0 | 
| MOF MIL-100 | 0.48 | 50.0 | 
Publisher’s Note: MDPI stays neutral with regard to jurisdictional claims in published maps and institutional affiliations.  | 
© 2022 by the authors. Licensee MDPI, Basel, Switzerland. This article is an open access article distributed under the terms and conditions of the Creative Commons Attribution (CC BY) license (https://creativecommons.org/licenses/by/4.0/).
Share and Cite
Rocchetti, A.; Lippi, M.; Socci, L.; Gullo, P.; Khorshidi, V.; Talluri, L. Metal-Organic Framework Adsorbent Materials in HVAC Systems: General Survey and Theoretical Assessment. Energies 2022, 15, 8908. https://doi.org/10.3390/en15238908
Rocchetti A, Lippi M, Socci L, Gullo P, Khorshidi V, Talluri L. Metal-Organic Framework Adsorbent Materials in HVAC Systems: General Survey and Theoretical Assessment. Energies. 2022; 15(23):8908. https://doi.org/10.3390/en15238908
Chicago/Turabian StyleRocchetti, Andrea, Martina Lippi, Luca Socci, Paride Gullo, Vahid Khorshidi, and Lorenzo Talluri. 2022. "Metal-Organic Framework Adsorbent Materials in HVAC Systems: General Survey and Theoretical Assessment" Energies 15, no. 23: 8908. https://doi.org/10.3390/en15238908
APA StyleRocchetti, A., Lippi, M., Socci, L., Gullo, P., Khorshidi, V., & Talluri, L. (2022). Metal-Organic Framework Adsorbent Materials in HVAC Systems: General Survey and Theoretical Assessment. Energies, 15(23), 8908. https://doi.org/10.3390/en15238908
        
