Dynamic Interactions between Local Energy Systems Coupled by Power and Gas Distribution Networks
Abstract
1. Introduction
2. Interconnected LESs Coupled by Electricity and Gas Networks
2.1. System Topology
2.2. Operating Modes
- (1)
- Dual-Grid-Tied Mode: When the LES is accessed to both gas and electricity networks, and takes in energy from the two networks according to heat and power demands. When DGs and gas producers exist, the LES can also feed gas and electricity back to the energy networks.
- (2)
- Gas-Grid-Tied Mode: When a contingency occurs to the electrical grid, the LES can be isolated from the main grid and operated independently. If connected to the gas network, the LES can still keep facilities running for a long period using CHP and renewable generations.
- (3)
- Power-Grid-Tied Mode: When there is no gas-fired equipment or when gas valves are closed, LESs are considered to be operated in the power-grid-tied mode. In this mode, LESs only exchange energy with the electricity network. Gas demands can be met by gas storage for a short period. In the longer term, there should be some gas producers, such as biomass gasifiers. Other energy demands are supplied by power sources.
- (4)
- Isolated Mode: When serious disasters, such as earthquakes or hurricanes occur, both gas and electricity infrastructures may be disrupted or even destroyed. In this scenario, the LES is operated in the isolated mode by coordinating DGs, energy storage, and demand response. In some rural areas where the power grid is weak or unavailable, people build biomass gasifiers and power supply systems, which can be seen as another form of LES operated in this mode.
2.3. Energy Network and LES Disturbances
3. Interconnected System Model
3.1. Dynamic System Model
3.1.1. Power Grid
3.1.2. Gas Grid
3.1.3. LESs
3.1.4. Overall System Model
3.2. Iterative Simulation Method
3.2.1. Initialization
3.2.2. Iterative Simulation
4. Case Studies
5. Results and Discussion
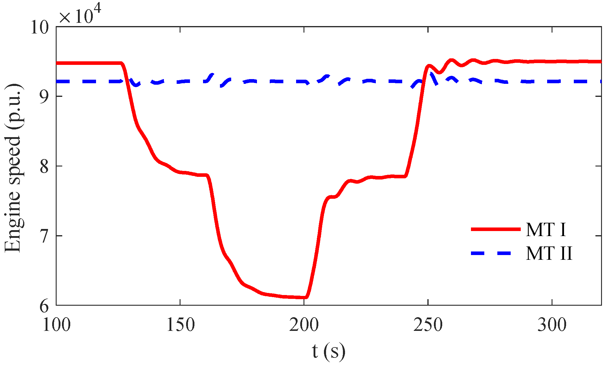
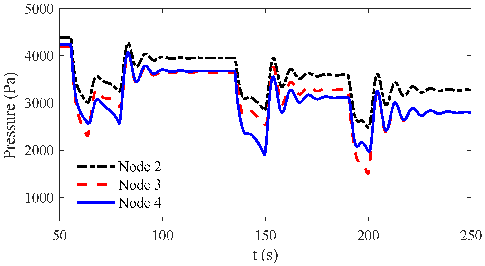
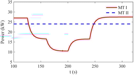
5.1. Mutual Impact of LESs via Gas Network
5.2. Impact of Electricity Exchanges between LESs
5.3. Impact of Power Grid Contingencies on the Gas Grid
6. Conclusions
Author Contributions
Funding
Conflicts of Interest
Nomenclature
| Set of disturbances in the energy network | |
| , | Sets of disturbances in electricity and gas systems |
| Set of disturbances in LES i | |
| Sets of renewable energy sources and loads in LES i | |
| Disturbances in the electricity network | |
| State variables at each phase of the electricity network | |
| Algebraic variables at each phase of the electricity network | |
| ug | Gas demand of gas network |
| xg | Node pressure and pipeline flow of gas network |
| State variables and algebraic variables in the overall system model | |
| ∆ts, ∆tf | Large step size and fast step size for simulation, respectively |
References
- Li, L.; Wu, F.; Cao, Y.; Cheng, F.; Wang, D.; Li, H.; You, J. Sustainable development index of shale gas exploitation in China, the UK, and the US. Environ. Sci. Ecotechnol. 2022, 12, 100202. [Google Scholar] [CrossRef] [PubMed]
- Grubert, E.; Zacarias, M. Paradigm shifts for environmental assessment of decarbonizing energy systems: Emerging dominance of embodied impacts and design-oriented decision support needs. Renew. Sustain. Energy Rev. 2022, 159, 112208. [Google Scholar] [CrossRef]
- Hall, J.W.; Tran, M.; Hickford, A.J.; Nicholls, R.J. The Future of National Infrastructure: A System-of-Systems Approach; Cambridge University Press: Cambridge, UK, 2016. [Google Scholar]
- Li, C.; Wang, N.; Wang, Z.; Dou, X.; Zhang, Y.; Yang, Z.; Yang, Y. Energy hub-based optimal planning framework for user-level integrated energy systems: Considering synergistic effects under multiple uncertainties. Appl. Energy 2022, 307, 118099. [Google Scholar] [CrossRef]
- Liu, W.H.; Ho, W.S.; Lee, M.Y.; Hashim, H.; Lim, J.S.; Klemeš, J.J.; Mah, A.X.Y. Development and optimization of an integrated energy network with centralized and decentralized energy systems using mathematical modelling approach. Energy 2019, 183, 617–629. [Google Scholar] [CrossRef]
- Son, Y.G.; Oh, B.C.; Acquah, M.A.; Fan, R.; Kim, D.M.; Kim, S.Y. Multi energy system with an associated energy hub: A review. IEEE Access 2021, 9, 127753–127766. [Google Scholar] [CrossRef]
- Mohammadi, M.; Noorollahi, Y.; Mohammadi-Ivatloo, B.; Yousefi, H. Energy hub: From a model to a concept—A review. Renew. Sustain. Energy Rev. 2017, 80, 1512–1527. [Google Scholar] [CrossRef]
- Asgari, H.; Venturini, M.; Chen, X.; Sainudiin, R. Modeling and simulation of the transient behavior of an industrial power plant gas turbine. J. Eng. Gas Turbines Power 2014, 136, 061601. [Google Scholar] [CrossRef]
- Mohammadi, E.; Montazeri-Gh, M. A new approach to the graybox identification of wiener models with the application of gas turbine engine modeling. J. Eng. Gas Turbines Power 2015, 137, 071202. [Google Scholar] [CrossRef]
- Xu, X.; Jia, H.; Chiang, H.-D.; Yu, D.; Wang, D. Dynamic modeling and interaction of hybrid natural gas and electricity supply system in microgrid. IEEE Trans. Power Syst. 2015, 30, 1212–1221. [Google Scholar] [CrossRef]
- Shen, F.; Ju, P.; Shahidehpour, M.; Li, Z.; Wang, C.; Shi, X. Singular perturbation for the dynamic modeling of integrated energy systems. IEEE Trans. Power Syst. 2020, 35, 1718–1728. [Google Scholar] [CrossRef]
- Qiu, J.; Dong, Z.Y.; Zhao, J.H.; Meng, K.; Zheng, Y.; Hill, D.J. Low carbon oriented expansion planning of integrated gas and power systems. IEEE Trans. Power Syst. 2015, 30, 1035–1046. [Google Scholar] [CrossRef]
- Yang, J.; Zhang, N.; Kang, C.; Xia, Q. Effect of natural gas flow dynamics in robust generation scheduling under wind uncertainty. IEEE Trans. Power Syst. 2018, 33, 2087–2097. [Google Scholar] [CrossRef]
- Abeysekera, M. Combined Analysis of Coupled Energy Networks. Ph.D. Thesis, Cardiff University, Cardiff, UK, 2016. [Google Scholar]
- Liu, C.; Shahidehpour, M.; Wang, J. Coordinated scheduling of electricity and natural gas infrastructures with a transient model for natural gas flow. Chaos Interdiscip. J. Nonlinear Sci. 2011, 21, 025102. [Google Scholar] [CrossRef]
- Zeng, Q.; Fang, J.; Li, J.; Chen, Z. Steady-state analysis of the integrated natural gas and electric power system with bi-directional energy conversion. Appl. Energy 2016, 184, 1483–1492. [Google Scholar] [CrossRef]
- Correa-Posada, C.M.; Sanchez-Martin, P. Integrated power and natural gas model for energy adequacy in short-term operation. IEEE Trans. Power Syst. 2014, 30, 3347–3355. [Google Scholar] [CrossRef]
- Deane, J.P.; Ciaráin, M.Ó.; Gallachóir, B.P.Ó. An integrated gas and electricity model of the EU energy system to examine supply interruptions. Appl. Energy 2017, 193, 479–490. [Google Scholar] [CrossRef]
- Devlin, J.; Li, K.; Higgins, P.; Foley, A. The importance of gas infrastructure in power systems with high wind power penetrations. Appl. Energy 2016, 167, 294–304. [Google Scholar] [CrossRef]
- Chertkov, M.; Backhaus, S.; Lebedev, V. Cascading of fluctuations in interdependent energy infrastructures: Gas-grid coupling. Appl. Energy 2015, 160, 541–551. [Google Scholar] [CrossRef]
- Fan, J.; Tong, X.; Zhao, J. Multi-period optimal energy flow for electricity-gas integrated systems considering gas inertia and wind power uncertainties. Int. J. Electr. Power Energy Syst. 2020, 123, 106263. [Google Scholar] [CrossRef]
- Erdener, B.C.; Pambour, K.A.; Lavin, R.B.; Dengiz, B. An integrated simulation model for analysing electricity and gas systems. Int. J. Electr. Power Energy Syst. 2014, 61, 410–420. [Google Scholar] [CrossRef]
- Pambour, K.A.; Erdener, B.C.; Bolado-Lavin, R.; Dijkema Gerard, P.J. SAInt—A novel quasi-dynamic model for assessing security of supply in coupled gas and electricity transmission networks. Appl. Energy 2017, 203, 829–857. [Google Scholar] [CrossRef]
- Zhang, J.; Foley, A.; Wang, S. Optimal planning of a soft open point in a distribution network subject to typhoons. Int. J. Electr. Power Energy Syst. 2021, 129, 106839. [Google Scholar] [CrossRef]
- Kundur, P.; Balu, N.J.; Lauby, M.G. Power System Stability and Control; McGraw-Hill: New York, NY, USA, 1994. [Google Scholar]
- Menon, E.S. Gas Pipeline Hydraulics; CRC Press: Boca Raton, FL, USA, 2005. [Google Scholar]
- Li, K.; Peng, J.-X.; Bai, E.-W. Two-stage mixed discrete–continuous identification of radial basis function (RBF) neural models for nonlinear systems. IEEE Trans. Circuits Syst. I Regul. Pap. 2009, 56, 630–643. [Google Scholar]












| Start Node | End Node | Length (m) | Diameter (mm) |
|---|---|---|---|
| 1 | 2 | 500 | 50 |
| 2 | 3 | 700 | 50 |
| 2 | 4 | 500 | 50 |
Publisher’s Note: MDPI stays neutral with regard to jurisdictional claims in published maps and institutional affiliations. |
© 2022 by the authors. Licensee MDPI, Basel, Switzerland. This article is an open access article distributed under the terms and conditions of the Creative Commons Attribution (CC BY) license (https://creativecommons.org/licenses/by/4.0/).
Share and Cite
Hu, Y.; Liu, J.; Xu, X. Dynamic Interactions between Local Energy Systems Coupled by Power and Gas Distribution Networks. Energies 2022, 15, 8420. https://doi.org/10.3390/en15228420
Hu Y, Liu J, Xu X. Dynamic Interactions between Local Energy Systems Coupled by Power and Gas Distribution Networks. Energies. 2022; 15(22):8420. https://doi.org/10.3390/en15228420
Chicago/Turabian StyleHu, Yajing, Jing Liu, and Xiandong Xu. 2022. "Dynamic Interactions between Local Energy Systems Coupled by Power and Gas Distribution Networks" Energies 15, no. 22: 8420. https://doi.org/10.3390/en15228420
APA StyleHu, Y., Liu, J., & Xu, X. (2022). Dynamic Interactions between Local Energy Systems Coupled by Power and Gas Distribution Networks. Energies, 15(22), 8420. https://doi.org/10.3390/en15228420
