A Case Study of Field Thermal Response Test and Laboratory Test Based on Distributed Optical Fiber Temperature Sensor
Abstract
1. Introduction
2. Materials and Methods
2.1. Background of the Study Area
2.2. Laboratory Test
2.3. Field Test
2.3.1. In Situ Test Principle
2.3.2. CTRTS Materials
2.3.3. Experimental Apparatus and Procedures
3. Results and Discussion
3.1. Laboratory Test
3.2. Field Test
3.2.1. Undisturbed Ground Temperature
3.2.2. Comprehensive Thermal Conductivity
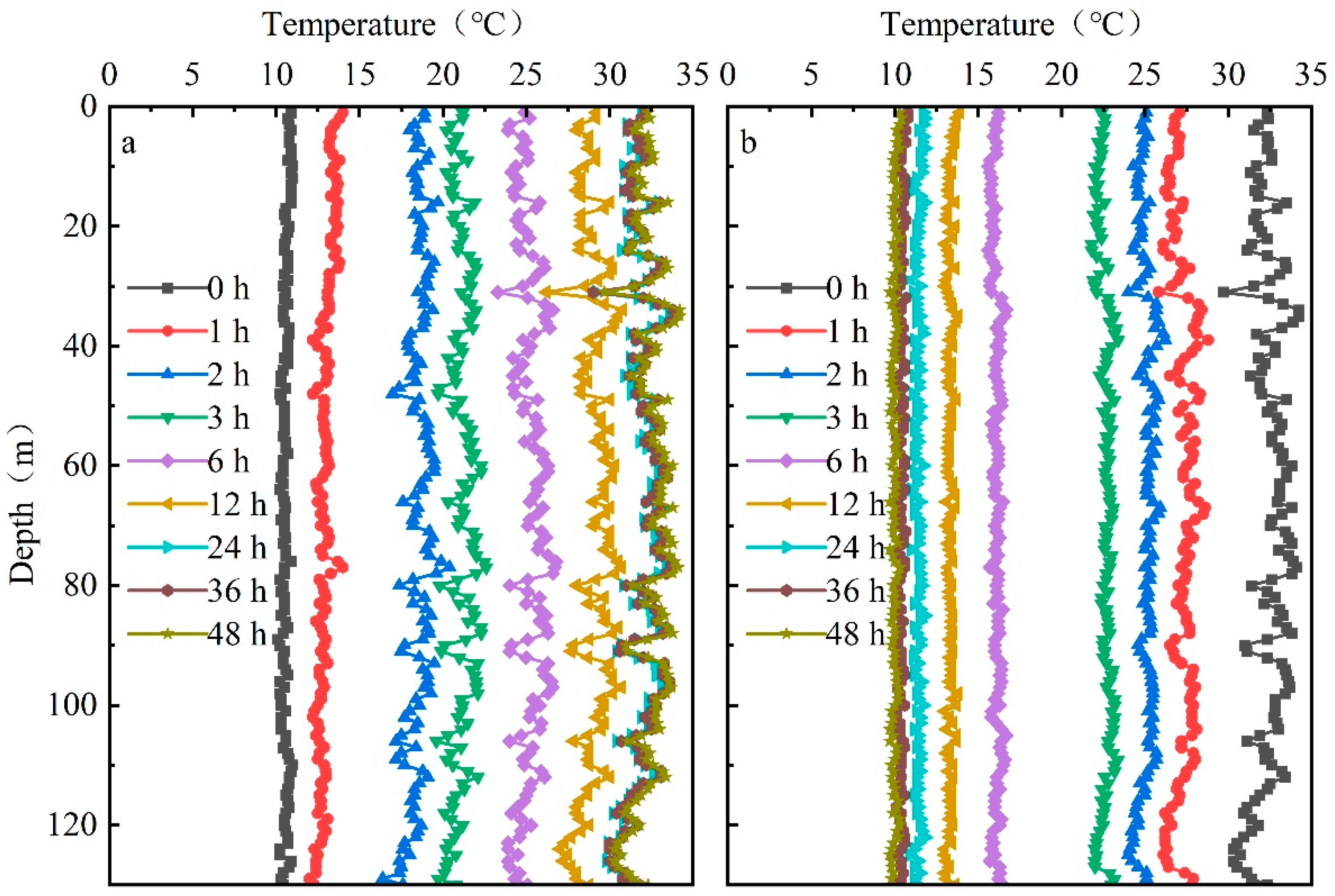
3.2.3. Ground Temperature Variation
3.2.4. Stratified Thermal Conductivity
3.2.5. Comparison of Thermal Conductivity Test Methods
4. Conclusions
- The undisturbed ground temperature of the borehole is 10.0 °C, as provided by the DOFTS. The stratum temperature field within 130 m can be divided into a variable temperature stratum, a constant temperature stratum (9.13 °C), and an increasing temperature stratum (geothermal gradient 3.0 °C/100 m). DOFTS technology can achieve the goal of continuous acquisition of geothermal profiles.
- The comprehensive thermal conductivity calculated based on the test results of the TRT module in this area is 1.862 W/m·K, and the influence of a high heat load on the test results of thermal conductivity is relatively small. Based on the DTRT results, the average thermal conductivities of silty clay, upper mudstone, argillaceous siltstone, and lower mudstone are 1.631 W/m·K, 1.888 W/m·K, 1.862 W/m·K, and 2.144 W/m·K, respectively.
- The variation trend of thermal conductivity of rock and soil mass measured by the DTRT and LT is consistent, and the comprehensive thermal conductivity calculated by the DTRT and TRT is consistent. The thermal conductivity of the rock and soil mass in each layer should be more accurate using the field test results. The field groundwater conditions, moisture content, porosity, and density changes, and the properties of the samples lead to errors in the LT test results.
- The DTRT module based on DOFTS technology can draw the geothermal profile, learn the change trend of thermal conductivity with time and the distribution of thermal conductivity along the depth, and reflect the actual heat transfer capacity of different strata. The TRT module can determine the comprehensive thermal conductivity and monitor the real-time flow rate and heat load. The CTRTS can effectively conduct thermal response tests and obtain thermal parameters and rules, which provides a case for establishing a standard DTRT.
- Using the layered thermal conductivity test based on the distributed fiber temperature sensor DTRT module to optimize the design of the heat exchanger can obtain better heat transfer capacity and reduce the cost.
Author Contributions
Funding
Conflicts of Interest
References
- Olabi, A.G. Circular economy and renewable energy. Energy 2019, 181, 450–454. [Google Scholar] [CrossRef]
- Moya, D.; Aldás, C.; Kaparaju, P. Geothermal energy: Power plant technology and direct heat applications. Renew. Sustain. Energy Rev. 2018, 94, 889–901. [Google Scholar] [CrossRef]
- Huang, Y.; Zhang, Y.; Xie, Y.; Zhang, Y.; Gao, X.; Ma, J. Field test and numerical investigation on deep coaxial borehole heat exchanger based on distributed optical fiber temperature sensor. Energy 2020, 210, 118643. [Google Scholar] [CrossRef]
- Kharseh, M.; Al-Khawaja, M.; Suleiman, M.T. Potential of ground source heat pump systems in cooling-dominated environments: Residential buildings. Geothermics 2015, 57, 104–110. [Google Scholar] [CrossRef]
- Dehkordi, S.E.; Schincariol, R.A.; Reitsma, S. Thermal performance of a tight borehole heat exchanger. Renew. Energy 2015, 83, 698–704. [Google Scholar] [CrossRef]
- Capozza, A.; De Carli, M.; Zarrella, A. Design of borehole heat exchangers for ground-source heat pumps: A literature review, methodology comparison and analysis on the penalty temperature. Energy Build. 2012, 55, 369–379. [Google Scholar] [CrossRef]
- Liang, B.; Chen, M.; Orooji, Y. Effective parameters on the performance of ground heat exchangers: A review of latest advances. Geothermics 2022, 98, 102283. [Google Scholar] [CrossRef]
- Yang, H.; Cui, P.; Fang, Z. Vertical-borehole ground-coupled heat pumps: A review of models and systems. Appl. Energy 2010, 87, 16–27. [Google Scholar] [CrossRef]
- Chen, K.; Zheng, J.; Li, J.; Shao, J.; Zhang, Q. Numerical study on the heat performance of enhanced coaxial borehole heat exchanger and double U borehole heat exchanger. Appl. Therm. Eng. 2022, 203, 117916. [Google Scholar] [CrossRef]
- Huang, Y.; Zhang, Y.; Xie, Y.; Zhang, Y.; Gao, X. Thermal performance analysis on the composition attributes of deep coaxial borehole heat exchanger for building heating. Energy Build. 2020, 221, 110019. [Google Scholar] [CrossRef]
- Robert, F.; Gosselin, L. New methodology to design ground coupled heat pump systems based on total cost minimization. Appl. Therm. Eng. 2014, 62, 481–491. [Google Scholar] [CrossRef]
- Nian, Y.; Wang, X.; Deng, Z.; Cheng, W. Estimation method for layered ground thermal conductivity using genetic algorithm based on a 2-D heat transfer model. Energy Build. 2022, 258, 111841. [Google Scholar] [CrossRef]
- Hakala, P.; Vallin, S.; Arola, T.; Martinkauppi, I. Novel use of the enhanced thermal response test in crystalline bedrock. Renew. Energy 2022, 182, 467–482. [Google Scholar] [CrossRef]
- Zhang, C.; Lu, J.; Wang, X.; Xu, H.; Sun, S. Effect of geological stratification on estimated accuracy of ground thermal parameters in thermal response test. Renew. Energy 2022, 186, 585–595. [Google Scholar] [CrossRef]
- Esen, H.; Inalli, M. In-situ thermal response test for ground source heat pump system in Elazığ, Turkey. Energy Build. 2009, 41, 395–401. [Google Scholar] [CrossRef]
- Luo, J.; Zhao, H.; Huang, W.; Zhu, Y.; Xiang, W.; Rohn, J. Determination of ground thermal properties for energy piles by thermal response tests. Environ. Earth Sci. 2018, 77, 152. [Google Scholar] [CrossRef]
- Hammerschmidt, U. A Quasi-Steady State Technique to Measure the Thermal Conductivity. Int. J. Thermophys. 2003, 24, 5. [Google Scholar]
- Bristow, K.; Kluitenberg, G.; Horton, R. Measurement of Soil Thermal Propertieswith a Dual-Probe Heat-PulseTechnique. Adv. Resilient Agric. Syst. Adapt. Mitigating Clim. Chang. 1994, 58, 1288–1294. [Google Scholar]
- Luo, J.; Rohn, J.; Xiang, W.; Bertermann, D.; Blum, P. A review of ground investigations for ground source heat pump (GSHP) systems. Energy Build. 2016, 117, 160–175. [Google Scholar] [CrossRef]
- Mogensen, P. Fluid to duct wall heat transfer in duct system heat storages. In Proceedings of the International Conference on Subsurface Heat Storage in Theory and Practice, Swedish Council for Building Research, Stockholm, Sweden, 6–8 June 1983. [Google Scholar]
- Spitler, J.D.; Gehlin, S.E.A. Thermal response testing for ground source heat pump systems—An historical review. Renew. Sustain. Energy Rev. 2015, 50, 1125–1137. [Google Scholar] [CrossRef]
- Li, M.; Lai, A.C.K. Parameter estimation of in-situ thermal response tests for borehole ground heat exchangers. Int. J. Heat Mass Transf. 2012, 55, 2615–2624. [Google Scholar] [CrossRef]
- Shim, B.O.; Park, C.H. Ground thermal conductivity for (ground source heat pumps) GSHPs in Korea. Energy 2013, 56, 167–174. [Google Scholar] [CrossRef]
- Hausner, M.B.; Suarez, F.; Glander, K.E.; van de Giesen, N.; Selker, J.S.; Tyler, S.W. Calibrating single-ended fiber-optic Raman spectra distributed temperature sensing data. Sensors 2011, 11, 10859–10879. [Google Scholar] [CrossRef] [PubMed]
- Roth, P.; Georgiev, A.; Busso, A.; Barraza, E. First in situ determination of ground and borehole thermal properties in Latin America. Renew. Energy 2004, 29, 1947–1963. [Google Scholar] [CrossRef]
- Zhang, C.; Guo, Z.; Liu, Y.; Cong, X.; Peng, D. A review on thermal response test of ground-coupled heat pump systems. Renew. Sustain. Energy Rev. 2014, 40, 851–867. [Google Scholar] [CrossRef]
- Freifeld, B.M.; Finsterle, S.; Onstott, T.C.; Toole, P.; Pratt, L.M. Ground surface temperature reconstructions: Using in situ estimates for thermal conductivity acquired with a fiber-optic distributed thermal perturbation sensor. Geophys. Res. Lett. 2008, 35. [Google Scholar] [CrossRef]
- Fujii, H.; Okubo, H.; Nishi, K.; Itoi, R.; Ohyama, K.; Shibata, K. An improved thermal response test for U-tube ground heat exchanger based on optical fiber thermometers. Geothermics 2009, 38, 399–406. [Google Scholar] [CrossRef]
- Acuña, J.; Palm, B. Distributed thermal response tests on pipe-in-pipe borehole heat exchangers. Appl. Energy 2013, 109, 312–320. [Google Scholar] [CrossRef]
- Beier, R.A. Vertical temperature profile in ground heat exchanger during in-situ test. Renew. Energy 2011, 36, 1578–1587. [Google Scholar] [CrossRef]
- Beier, R.A.; Acuña, J.; Mogensen, P.; Palm, B. Vertical temperature profiles and borehole resistance in a U-tube borehole heat exchanger. Geothermics 2012, 44, 23–32. [Google Scholar] [CrossRef]
- Sakata, Y.; Katsura, T.; Nagano, K. Multilayer-concept thermal response test: Measurement and analysis methodologies with a case study. Geothermics 2018, 71, 178–186. [Google Scholar] [CrossRef]
- Zhang, Y.; Gao, P.; Yu, Z.; Fang, J.; Li, C. Characteristics of ground thermal properties in Harbin, China. Energy Build. 2014, 69, 251–259. [Google Scholar] [CrossRef]
- Zhang, Y.; Hao, S.; Yu, Z.; Fang, J.; Zhang, J.; Yu, X. Comparison of test methods for shallow layered rock thermal conductivity between in situ distributed thermal response tests and laboratory test based on drilling in northeast China. Energy Build. 2018, 173, 634–648. [Google Scholar] [CrossRef]
- Zhao, P.; Li, X.; Zhang, Y.; Liu, K.; Lu, M. Stratified thermal response test measurement and analysis. Energy Build. 2020, 215, 109865. [Google Scholar] [CrossRef]
- Liu, J.; Shi, B.; Sun, M.-Y.; Yao, J.-C.; Fang, K. A Dual-Probe Heat Pulse Approach using Heated Fiber-Optic Temperature Sensing. IOP Conf. Ser. Earth Environ. Sci. 2021, 861, 022070. [Google Scholar] [CrossRef]
- Zhang, B.; Gu, K.; Shi, B.; Liu, C.; Bayer, P.; Wei, G.; Gong, X.; Yang, L. Actively heated fiber optics based thermal response test: A field demonstration. Renew. Sustain. Energy Rev. 2020, 134, 110336. [Google Scholar] [CrossRef]
- Wilke, S.; Menberg, K.; Steger, H.; Blum, P. Advanced thermal response tests: A review. Renew. Sustain. Energy Rev. 2020, 119, 109575. [Google Scholar] [CrossRef]
- Austin, W.A., III. Development of an In Situ System for Measuring Ground Thermal Properties. Master’s Thesis, Oklahoma State University, Stillwater, OK, USA, 1998. [Google Scholar]
- Pahud, D.; Matthey, B. Comparison of the thermal performance of double u-pipe borehole heat exchangers measured in situ. Energy Build 2001, 33, 503–507. [Google Scholar] [CrossRef]
- Kyoungbin, L.; Sanghoon, L.; Changhee, L. An experimental study on the thermal performance of ground heat exchanger. Exp. Therm. Fluid. Sci. 2007, 31, 985–990. [Google Scholar]
- Kavanaugh, S.P.; Rafferty, K. Ground-Source Heat Pumps: Design of Geothermal Systems for Commercial and Institutional Buildings; American Society of Heating, Refrigerating and Air-Conditioning Engineers: Atlanta, GA, USA, 1997. [Google Scholar]
- The Ministry of Housing and Urban-Rural Construction of China. Technical Code for GCHPs. GB 50366-2005; Chinese Building Industrial Press: Beijing, China, 2009.
- Lhendup, T.; Aye, L.; Fuller, R.J. In-situ measurement of borehole thermal properties in Melbourne. Appl. Therm. Eng. 2014, 73, 287–295. [Google Scholar] [CrossRef]
- Herrera, C.; Nellis, G.; Reindl, D.; Klein, S.; Tinjum, J.M.; McDaniel, A. Use of a fiber optic distributed temperature sensing system for thermal response testing of ground-coupled heat exchangers. Geothermics 2018, 71, 331–338. [Google Scholar] [CrossRef]
- Zhang, Y.; Zhou, L.; Hu, Z.; Yu, Z.; Hao, S.; Lei, Z.; Xie, Y. Prediction of Layered Thermal Conductivity Using Artificial Neural Network in Order to Have Better Design of Ground Source Heat Pump System. Energies 2018, 11, 1896. [Google Scholar] [CrossRef]
- Gao, P.; Zhang, Y.; Yu, Z.; Fang, J.; Zhang, Q. Correlation study of shallow layer rock and soil thermal physical tests in laboratory and field. Geothermics 2015, 53, 508–516. [Google Scholar] [CrossRef]
- Wagner, V.; Bayer, P.; Kübert, M.; Blum, P. Numerical sensitivity study of thermal response tests. Renew. Energy 2012, 41, 245–253. [Google Scholar] [CrossRef]
- Gao, P. Analysis of Rock Thermal Physical Parameters and Research on Multi-Field Thermal Effect Coupled Model. Ph.D. Thesis, Jilin University, Changchun, China, 2015. (In Chinese). [Google Scholar]









| Parameter | Symbol | Value |
|---|---|---|
| Measuring range | °C | −50–150 |
| Resolution of temperature | °C | 0.1 |
| Temperature accuracy | °C | ±1 |
| Spatial resolution | m | ±0.5 |
| Positioning accuracy | m | 1 |
| Input voltage | V | AC 220 V |
| Ambient temperature | °C | −5–40 |
| Item | Parameter | U-Tube |
|---|---|---|
| Borehole | Vertical depth (m) | 130 |
| Backfill materials | Fine sand, bentonite | |
| Wellhead diameter (mm) | 150 |
| Item | Parameter | U-Tube |
|---|---|---|
| PE-pipe | Outside diameter (mm) | 32 |
| Inside diameter (mm) | 26 |
| Working Condition | Duration (h) | Heat Load (kW) |
|---|---|---|
| Undisturbed ground temperature | 96 | 0 |
| A | 48 | 12 |
| Recovery of ground temperature | 72 | 0 |
| B | 48 | 8 |
| Type | Pipe Depth (m) | Initial Temperature (°C) | Working Condition | Heat Load (kW) | Thermal Conductivity (W/(m∙K)) |
|---|---|---|---|---|---|
| Double-U | 130 | 10 | A | 12 | 1.864 |
| B | 8 | 1.859 |
| Formation | Depth (m) | LT (W/(m·K)) | TRT (W/(m·K)) | DTRT (W/(m·K)) |
|---|---|---|---|---|
| Milty clay | 0–20 | 1.166 | - | 1.631 |
| Mudstone | 20–78 | 1.653 | - | 1.888 |
| Argillaceous siltstone | 78–94 | 1.798 | - | 1.862 |
| Mudstone | 94–130 | 2.001 | - | 2.144 |
| Weighted average | 0–130 | 1.692 | 1.862 | 1.897 |
Publisher’s Note: MDPI stays neutral with regard to jurisdictional claims in published maps and institutional affiliations. |
© 2022 by the authors. Licensee MDPI, Basel, Switzerland. This article is an open access article distributed under the terms and conditions of the Creative Commons Attribution (CC BY) license (https://creativecommons.org/licenses/by/4.0/).
Share and Cite
Ma, Y.; Zhang, Y.; Cheng, Y.; Zhang, Y.; Gao, X.; Shan, K. A Case Study of Field Thermal Response Test and Laboratory Test Based on Distributed Optical Fiber Temperature Sensor. Energies 2022, 15, 8101. https://doi.org/10.3390/en15218101
Ma Y, Zhang Y, Cheng Y, Zhang Y, Gao X, Shan K. A Case Study of Field Thermal Response Test and Laboratory Test Based on Distributed Optical Fiber Temperature Sensor. Energies. 2022; 15(21):8101. https://doi.org/10.3390/en15218101
Chicago/Turabian StyleMa, Yongjie, Yanjun Zhang, Yuxiang Cheng, Yu Zhang, Xuefeng Gao, and Kun Shan. 2022. "A Case Study of Field Thermal Response Test and Laboratory Test Based on Distributed Optical Fiber Temperature Sensor" Energies 15, no. 21: 8101. https://doi.org/10.3390/en15218101
APA StyleMa, Y., Zhang, Y., Cheng, Y., Zhang, Y., Gao, X., & Shan, K. (2022). A Case Study of Field Thermal Response Test and Laboratory Test Based on Distributed Optical Fiber Temperature Sensor. Energies, 15(21), 8101. https://doi.org/10.3390/en15218101
