Abstract
Solar air heating devices have been employed in a wide range of industrial and home applications for solar energy conversion and recovery. It is a useful technique for increasing the rate of heat transfer by artificially creating repetitive roughness on the absorbing surface in the form of semicircular ribs. A thermo-hydraulic performance analysis for a fully developed turbulent flow through rib-roughened solar air heater (SAH) is presented in this article by employing computational fluid dynamics. Both 2-dimensional geometrical modeling and numerical solutions were performed in the finite volume package ANSYS FLUENT. The renormalization-group (RNG) k-ε turbulence model was used, as it is suitable for low Reynolds number (Re) turbulent flows. A thermo-hydraulic performance analysis of an SAH was carried out for a ranging Re, 3800–18,000 (6 sets); relative roughness pitch (RRP), 5–25 (12 sets); relative roughness height (RRH), 0.03–0.06 (3 sets); and heat flux, 1000 W/m2. The numerical analysis revealed that with an RRP of 5 and an RRH of 0.06, the roughened duct produces the highest augmentation in average Nur in the order of 2.76 times that of a plain duct at an Re of 18,000. With an RRP = 10 and RRH = 0.06, the roughened duct was found to provide the most optimum thermo-hydraulic performance parameter (THPP). The THPP was determined to have a maximum value of 1.98 when the Re is equal to 15,000. It was found that semi-circular ribs which have a rib pitch = 20 mm and a rib height = 2 mm can be applied in an SAH to enhance heat transfer.
1. Introduction
“The term renewable energy refers to primary energies that are regarded as inexhaustible in terms of human (time) dimensions. They are continuously generated by the energy sources solar energy, geothermal energy and tidal energy. The energy produced within the sun is responsible for a multitude of other renewable energies (such as wind and hydropower) as well as renewable energy carriers (such as solid or liquid biofuels)” [1]. The sun is one of the most powerful natural and green sources of energy, providing a plentiful supply of renewable and clean energy. Solar energy can help to reduce reliance on fossil fuels and it has the potential to provide a sustainable source of power for years to come. Solar energy can be harnessed through different methods, including using photovoltaic cells to generate electricity directly from light or the production of hot fluid by using a solar thermal energy conversion system. Solar thermal energy can be harnessed through a number of different methods, including solar thermal collectors and solar thermal storage, etc. [2].
Solar air heating systems are one way of utilizing the sun’s energy to heat up air. Solar air heaters are popular in climates where there is plenty of sunshine. They are especially useful for heating and drying crops, as they can maintain temperatures above the ambient air temperature for extended periods of time. SAHs are becoming more popular due to their environmental benefits. There are many benefits of using a solar air heating system. SAH do not produce any harmful emissions. SAHs also have a longer lifespan, which makes them more cost-effective in the long run. Unfortunately, traditional SAHs have low thermal performance due to their poor convective heat transfer [3]. Improving the performance of a system by heat transfer enhancement can be carried out using various techniques. Although these techniques can be performed with or without external power, they require a specific type of heat transfer enhancement device to achieve their desired results. One of the techniques used to achieve this is the application of an artificial roughness on the surface in the form of ribs. This method is capable of improving the heat transfer between the surface that transfers heat and the air [4]. Joule [5] was the first to use artificial roughness to improve heat transfer coefficients for steam condensation in tubes, and since then, numerous experiments have been conducted on the use of artificial roughness in various areas of engineering. Roughness has been shown to have a significant impact on the friction factor (fr) in pipes and velocity distribution within them, as demonstrated by the work of Nikuradse [6]. An improved design of the absorber plate of SAH systems featuring roughness could help improve their thermal performance. It is important to understand that surface roughness has many types depending on the shape, arrangement, and orientation of the rough elements. A rough surface on the absorbing plate can break the flow’s viscous sub-layer and contribute to an increase in the transfer of heat. According to this phenomenon, the fluid flow is subject to a higher pressure drop penalty [7]. There have been various experimental and numerical studies which have been carried out in order to find out the optimal geometry of the ribs in order to maximize the heat transfer. It is important to note that both heat transfer and fluid flow are influenced by the roughness pitch/height and shape of the applied rib. A number of relevant geometric and dimensionless parameters related to roughness have been studied in previous works, all of which influence the performance of SAHs. These parameters are rib pitch (P), rib height ©, relative roughness height (RRH = e/D), relative roughness pitch (RRP = P/e), and Reynolds number (Re) [8].
A number of researchers have made an effort to build a roughened duct that can improve heat transfer while minimizing pumping losses through the use of either two or four roughened surfaces. When it comes to SAHs, on the other hand, the roughness components need to be regarded solely on the underneath of the top absorbing surface, which is the part of the device that is exposed to solar radiation. As a result, the SAHs are represented in the model as a rectangular duct with a rough top wall and three other plain walls. SAHs have a low flow, Re, that can range anywhere from 3800 to 18,000. Prasad and Mullick [7] were among the first to apply artificial roughness to an absorber plate, by attaching small wires. These small diameter wires are used to boost the performance of SAHs by breaking the laminar sublayer and increasing the surface area of the absorber plate. After the Prasad and Mullick’s [7] work, numerous experiments were conducted on artificially roughened SAH involving different shapes, sizes and orientation of the roughness elements, in order to obtain the optimal arrangement of roughness elements. The performance of an SAH with wire ribs was studied analytically by Prasad and Saini [9], who established formulas for the prediction of the Stanton number and fr. An average variance of 6.3% for fr and 10.7% for the Nusselt number (Nur) were found in this study. In addition to this, research was carried out to determine how heat transfer and fr were affected by the height and pitch of the roughness features. Karwa et al. [10] performed experiments to investigate the efficiency of SAHs that had chamfered ribs on the absorbing surface. The authors discovered a significant rise in thermal efficiency, ranging from 10 to 40 percent, as compared to SAHs using smooth absorber surfaces. An experimental examination on the performance of an SAH duct with dimple-shaped ribs was carried out by Saini and Verma [11]. According to the authors’ research, the highest Nur value corresponds to an RRH value of 0.0379 and an RRP value of 10. The authors also discovered that the lowest possible value of the fr corresponds to a RRH of 0.0289 and a RRP of 10. Experiments conducted by Singh et al. [12] looked into the heat transport properties of a rectangular duct that had a discrete V-down rib. According to the authors’ findings, the highest possible Nur and fr values correspond to an RRP of 8. The heat transfer performance for a rectangular channel with different arrangements of ribs were experimentally examined by Tanda [13]. The authors concluded that broken ribs are the most promising type of enhancement ribs among the several rib designs that have been examined. There are a number of experimental investigations that have been conducted on roughness elements of varying shapes, sizes, and orientations that can be found in recent review articles [14,15].
A number of experimental investigations have been carried out to evaluate the performance of SAHs; however, only limited attempts at computational analysis have been conducted so far due to the complexity of flow patterns and constraints in computational power. Numerous researchers are currently analyzing complex mathematical models in order to carry out advanced research on SAHs, with this made possible by the development of computers, hardware, and numerical techniques. A computer simulation of fluid flow and heat transfer using the computational fluid dynamics (CFD) approach is a method which is currently widely used for simulation. CFD is a branch of engineering that uses mathematical techniques to analyze and solve problems involving the flow of fluids. Through the use of data structures and numerical techniques, a computer is used to perform the necessary calculations to simulate the free-flow of the fluid. CFD is an important tool for engineers because it allows them to solve problems without having to build physical prototypes. There are several advantages of using a computational fluid analysis method over an experiment-based approach to design fluid systems. One of these is the reduction in the time it takes to develop new designs and the costs associated with them. Furthermore, this technology allows us to study systems that are difficult to study in controlled environments, such as natural systems. It is generally much cheaper to perform computational fluid analysis codes when compared to experimental facilities. These codes are capable of producing large numbers of results at a lower cost than experimental facilities [16,17]. A key aspect of the present paper is the examination of modelling approaches and how they can be applied at various stages in the research, design, and development of SAH systems.
With the advent of CFD as an emerging tool, many scientists undertook research on ribbed solar air heaters using this approach. Chaube et al. [18] executed a 2-D CFD analysis of SAHs with ten different rib shapes using FLUENT 6.1. For the simulation, the SST k-ω model was used. Kumar and Saini [19] simulated an SAH duct with arc-shaped roughness using 3-D models. For the simulation, a commercial CFD program, FLUENT 6.3.26, was employed. Karmare and Tikekar [20] executed a CFD analysis for a ribbed SAH. The simulation included metal grit ribs (with these being circular, triangular, and square in shape), which were used as roughness elements. A two-dimensional experimental and CFD study of an SAH was performed by Gawande et al. [21] on the use of right-angle triangular ribs as an artificial roughened surface. The results of this study showed that the roughened SAH could improve its thermal performance. An enrichment in the Nur and the fr with respect to the RRH and the RRP was also presented. The investigation revealed that the roughened SAH duct performed better under different flow conditions. The optimal value in terms of the rib arrangement at the constant pumping power was found to be 2.03. The study also analyzed the various parameters of the roughened solar heater’s computational domain. Bouzaher et al. [22] presented a new concept that involves the use of flexible ribs to improve the heat transmission inside the solar air collector’s duct. This method was designed to improve the energy extraction performance of an SAH. The study revealed that the flexible ribs could improve the heat transmission in the air duct. It also showed that the increase in the Re can lead to a higher thermal enhancement factor. The study additionally analyzed the various parameters of the roughened solar heater’s computational domain. Gupta and Varshney [23] performed a CFD study on the use of a rectangular-sectioned taper rib as an artificial roughened surface for an SAH duct revealed that the roughened surface exhibited better performance under different flow conditions. The twelve different configurations of this roughened surface, with varying taper angles and a constant rib width, were considered as the rough element’s properties. A three-dimensional hybrid grid was generated for the roughened solar heater using the cut-cell method. The proposed model was then used to resolve the various differential equations related to the flow conditions. The optimal values for the rough element’s multiple geometric parameters were obtained by taking into account the best performance index for the roughened solar heater. The study found that the best performance index for the roughened SAH was 1.91. Kumar et al. [24] investigated the use of a forward-chamfered rib for enhancing the performance of an SAH. Two new rough element parameters, namely the rib aspect ratio and the rib height ratio, were identified, and their impact on the performance of the SAH duct was studied using CFD. The heated side of the duct was subjected to a constant heat flux of around 1000 W/m2. The maximum rise in the fr was noticed in the case of an RRH value of 0.043. This value was around 3.52 times greater than the plain duct at an Re value of 4000. A generalized correlation for fr and Nur were then generated using the results of the study. Singh et al. [25] presented the influence of two different shaped ribs on the thermohydraulic characteristics of SAHs using experimental and computational analysis. The maximum thermal enhancement for square wave shaped ribs was reported to be 2.50 times, with 3.92 times the pumping power penalty. However, the enhancements for multiple cracked ribs were reported to be 3.24 and 3.85 times, respectively. Pandey et al. [26] presented a CFD analysis on the arc shaped roughened surface of an SAH. The results of the study included an extreme increase in the fr and Nur of approximately 2.76 and 4.25 times, respectively. Varun Kumar et al. [27] numerically investigated the impacts of roughened surfaces on the thermal performance of an SAH. A forward and backward trapezoidal rib and a polygonal transfer rib were selected. The RNG k-ε model was then used to predict the various effects of the roughened surface on the thermal performance of the proposed ribs. The model was able to generate the data for Nur and the fr by taking into account the varying RRP and RRH. The study noted that the THPP attained an extreme of 1.89 for the backward trapezoidal rib. A number of other computational investigations have been conducted on roughness elements of varying shapes, sizes, and orientations, which can be found in recent review articles [28,29].
This survey of the literature leads to the conclusion that there is a paucity of comprehensive information on the two-dimensional fluid flow in SAHs with semi-circular ribs on the absorbing plate. The literature survey also indicates that studies of semi-circular ribs in the past were conducted using either a constant RRP or a constant RRH. In the literature, no such research paper was found in which both the RRP and RRH were varied simultaneously. Thus, we selected semi-circular ribs as the topic of our study and researched the optimum rib dimension by varying both the RRH and RRP in our analysis. As a result of a literature review, it can also be seen that numerical simulation is a good alternative to expensive, slow, and time-consuming experimental work. Therefore, the major goal of this research was to determine the optimal rib dimension of a ribbed SAH subjected to uniform heat flux by using CFD code ANSYS Fluent 16.
2. Numerical Simulations
The following assumptions were made in order to perform the numerical analysis:
- The flow is fully developed, turbulent, steady, and 2-dimensional.
- Regardless of the temperature, the wall of the duct, the absorbing plate, and the roughness material all have a constant thermal conductivity.
- The roughness material, as well as the duct wall and absorbing plate, are all composed of a homogeneous and isotropic material.
- Air is considered to be incompressible for SAHs, as density fluctuation is low.
- The model’s fluid contact walls have a no-slip boundary condition.
- Heat losses through radiation and other means are negligible.
2.1. Numerical Model
The solution domain was designed to be in the form of a rectangular duct (Figure 1). The underneath of the absorber plate at the top of the duct is the only part of the plate that has a semi-circular rough surface attached to it. The other sides have a smooth surface. In the current investigation, the flow domain was modelled as a rectangular duct, which is identical to the duct that Chaube, Sahoo, and Solanki [18] investigated. There are three sections in a duct, as shown in Figure 1, within the whole duct geometry. It is important to note that the length of first and last sections are specified according to the ASHRAE Standard 93-2003 for turbulent flow regimes [30].
Figure 1.
Solution domain.
There is an absorber plate made of aluminum that is 0.5 mm thick at the top wall of the duct. A rough surface is created artificially in the form of semi-circular ribs on the underneath of the absorber plate. The top part of the duct is roughened perpendicularly to the flow direction, while the rest of the surface is regarded as smooth. It was decided that the viscous sub-layer should be of the same order as the roughness height, which led to the selection of a minimum rib height of 1 mm. The maximum height of the ribs was limited to 2 mm, with the goal of minimizing the effects of blockages on the flow passages. The Figure 2 illustrates a typical roughened absorbing plate. To perform the numerical analysis, the top surface receives a uniform heat flux of 1000 watts per square meter.
Figure 2.
Absorber plate with ribs.
An overview of the geometrical parameters of an artificially roughened SAH can be found in Table 1.
Table 1.
Geometric parameters (all in mm) of ribbed SAH duct.
Table 2 provides an overview of the operating parameters used in this numerical analysis.
Table 2.
Values of operating parameters for numerical analysis.
2.2. Governing Equation
The CFD methods involves the numerical solution of equations involving the conservation of mass, momentum, and energy as well as other equations involving the transport of species. The numerical algorithm and methods were used to accomplish the goal of solving these equations. The following is a summary of the governing equations for the two-dimensional flow [31]:
Continuity equation:
Momentum equation:
Energy equation:
where
2.3. Boundary Conditions
The computational domain for the two-dimensional flow that was investigated is a rectangle on the x–y plane that is bounded on all sides by the inlet, the outlet, and the wall boundaries. Air was used in each and every one of these simulations. Air and absorber plate (aluminium) are considered to have constant properties at the average bulk temperature of 300 K [32]. The thermo-physical properties of air and the absorbing plate are shown in Table 3.
Table 3.
Values of operating parameters for numerical analysis.
In the case of solid surfaces, no-slip conditions were presumed, and on all solid surfaces the turbulence kinetic energy was set to zero. The top surface was modelled as a wall with a constant heat flux of 1000 W/m2. At the inlet of the solution domain, a uniform air velocity was introduced, while there was a pressure outlet condition applied at its exit. The Re (3800–18,000) was used to determine the flow’s average entrance velocity. At the outset, it was assumed that the temperature of the air within the duct is also 300 kelvins. A fixed pressure of 1.013 × 105 Pa was specified in the boundary condition for the pressure outlet at the exit. In the case of a fully-developed flow, the intensity of turbulence at the inlet of the flow can be determined by applying the following formula [33]:
2.4. Selection and Validation of the Model
In spite of the fact that all turbulence models have advantages and disadvantages, the fact remains that none of them are commonly accepted as being superior in all situations. When selecting a turbulence model, there are a number of considerations to make, including the physics of the flow, the related modelling requirements, the level of accuracy required, and the time available for running the simulation [33,34]. A simulation of smooth ducts was performed in order to obtain the most accurate turbulence model from the various turbulent models that can be implemented in turbulence simulations. The outcomes of the simulation were then compared to the following equation [35].
In Figure 3, a comparison is made between the variation in the Nur with Re when utilizing various turbulence models and the results derived from Equation (6).
Figure 3.
Comparison between the variation in the Nur with Re for different turbulence models.
It was found that RNG k-ε model is the one that works best in terms of accuracy. Because of this, the numerical data that was obtained from the current investigation was ensured to be accurate. Using the RNG k-ε model, the Nur data deviates from Equation (6) by 2.58 percent. The standard k-ω model’s prediction indicates a greater degree of variation when compared with Equation (6). Finally, the RNG k-ε model was used to simulate fluid flow problem in the present investigation.
Transport equations for RNG k-ε model
For the RNG k-ε model, the following transport equations were utilized:
and
where
and
where
where Cμ is a constant.
The following is a list of model constants, each of which has a default value [34]:
αk = 1.39, αε = 1.39, Cμ = 0.0845, C1ε = 1.42, and C2ε = 1.68
2.5. Solution Method
Throughout this study, a segregated solution algorithm based on a finite volume-based methodology was used in order to compute the numerical results. With the help of the commercial CFD code ANSYS Fluent 16, all the governing equations of the model were solved. To solve the governing equations, a second-order upwind scheme was selected. A semi-implicit method for pressure-linked equations algorithm called SIMPLE was selected as a scheme for coupling pressure and velocity in this study [36]. In this CFD simulation, the RNG k-ε model was used to simulate flow phenomenon. When the normalized residual errors of the continuity equation, energy equation, momentum equation, and k- ε equations are all less than 10−6, 10−6, 10−6 and 10−3, respectively, at the same time, it is considered that convergence has been reached. When there is a convergence problem detectable, it is strongly recommended that in the first instance, the discretization scheme of first order upwind should be used for initiating the solution, which should then be followed by the second order discretization scheme. At the inlet of the solution domain, a constant air velocity was introduced, while there was a pressure outlet condition applied at its exit. The bottom part of the test section was subjected to an adiabatic boundary condition, while the top part of the test section was subjected to a constant heat flux boundary condition. The solution to the problem was obtained by setting all the input criteria in the appropriate way, and the problem was then set to iterate for 1000 iterations, within which a well-converged solution was obtained. The FLUENT program can be used to calculate the heat transfer coefficient (h) and pressure drop across the duct (ΔP). Finally, Equations (12) and (13) can be used to calculate the value of the average Nur and the average fr, respectively.
2.6. Data Reduction
An artificially roughened SAH having semicircular ribs is the subject of this numerical study. The aim of this numerical study is to investigate the variation in average Nur and average fr resulting from the roughness of the wire ribs. An SAH needs to be analyzed from the point of view of its thermal performance and hydraulic performance in order to be able to design such a system in an efficient manner.
The values of Nur and fr for ribbed SAH ducts can be calculated using the following equations:
The values of Nus for smooth SAH ducts can be calculated using Equation (6). The values of fs for smooth SAH ducts can be calculated using the Blasius equation:
Blasius equation [31]:
Webb and Eckert [37] provided a significant performance metric that permits the simultaneous assessment of thermal and hydraulic performance. This performance parameter can be expressed as: maximum heat transfer for constant fluid friction.
The employment of an enhancement device will be effective if the value of this parameter is more than one. In addition, this value can also be used as a means of comparing the effectiveness of a number of different configurations in order to select the one that is the most effective.
3. Result and Discussion
3.1. Effect of Grid Density
For the purpose of all of the numerical simulations carried out in this work, non-uniform quadrilateral grids were utilized. ANSYS ICEM CFD v16 was used to generate the domain’s meshing for CFD analysis. In order to resolve the viscous sublayer, a nonuniform grid with an extremely fine mesh size and grid adoption for y+ ≈ 2 at an adjacent wall region was utilized. The number of cells as well as their size were factors that determined how accurate the solution was. The existing non-uniform quadrilateral mesh had a total of 112,226 quad cells, each of which measured 0.3 mm in size. This dimension was appropriate for resolving the viscous sub-layer. An analysis of grid independence was used to determine the size of the grid that was utilized in the computations. A grid independence study was carried out in order to investigate how heat transfer and flow friction change with an increasing grid size. There were five different sets of grids used for the simulation in order to ensure that the results were grid independent. The grids can be seen in Figure 4.
Figure 4.
The computational grids with cell numbers of (a) 44,473, (b) 68,524, (c) 84,622, (d) 112,226, and (e) 242,106.
In order to conduct grid independence tests, the number of cells in the domain was varied in five steps from 44,473 to 242,106. This was performed on semi-circular wire ribs 1.5 mm in height, 10 mm in pitch and 12,000 Re to determine the effect of five different grid distributions on the calculated results, so as to ensure that these results were not affected by grids. Table 4 summarizes the average Nur, fr and percentage difference for artificially roughened ducts, using the RNG k-ε model, for the five sets of grids that were used for these tests. Following the addition of 112,226 cells, the average Nur and fr have a variation of less than 1%, which is considered a criterion for grid independence. In order to accommodate all the cases discussed herein, 112,226 cells were used.
Table 4.
Grid independence test.
3.2. Effect of Re
The influence of the Re on the average Nur is depicted in Figure 5. Increasing the Re leads to an increase in the average Nur as a result of an increase in turbulence intensity (TI) caused by an increase in the turbulence kinetic energy (TKE) as well as an increase in the turbulence dissipation rate (TDR). It is apparent that roughness elements project beyond the viscous sublayer as the Re increases. With the increase in Re, the thickness of the viscous sub-layer decreases. Moreover, the roughness of the surface contributes to the local removal of heat by creating vortices that originate from the roughness. As a result, a heated surface removes heat more rapidly than a smooth surface, resulting in an increased heat transfer rate. Figure 5 illustrates that the variation in Nur with regard to RRP is insignificant at lower a Re, while at a higher Re, there is a significant effect on Nur.
Figure 5.
Nur versus Re.
Figure 6 displays the scatter plot of the TKE versus the distance along the centerline of the duct. The graph illustrates that the TKE is lowest when the Re is low and rises to its maximum value as the Re increases. This may be explained by the fact that fluid particles move in a random pattern, which, in turn, causes an increase in the TDR and TKE as the Re rises. It is also evident that the TKE is at its lowest level when a short distance away from the inlet, and after that, it begins to rise due to the existence of ribs as the distance from the inlet along the centerline of the duct increases.
Figure 6.
TKE as a function of distance along the centerline of the duct of a SAH for different Re.
A contour plot of the TKE can be used to observe and describe the phenomenon of heat transfer. The Figure 7 displays the contour plot of the TKE at a Re of 8000 for different rib pitches. There is a reduction in the intensity of TKE near the rib and wall of the flow field. It is clear from the plot that there are locations within the adjacent ribs with a high TKE, which illustrates the fact that the intensity of the turbulence has a substantial effect on the transfer of heat between these adjacent ribs. It is also seen that as the value of the rib pitch increases, the value of the TKE around the rib begins to decline. When the TKE is low, the amount of heat that is transferred to the surface is low as well.
Figure 7.
A contour plot of TKE for RRH = 0.045 at Re = 8000 for: (a) RRP = 6.67, (b) RRP = 10, (c) RRP = 13.33 and (d) RRP = 16.67.
Figure 8 shows the contour plot of turbulence intensity (TI) at different rib pitches at an Re of 8000. The overall TI field as well as the degree of heat transfer can be visualized by looking at the patterns of TI contours around the ribs ahead of and behind the ribs. It is also seen that as the value of rib pitch increases, the value of the TI around the rib begins to decline. As can be seen from this demonstration, an RRP = 6.67 has a significant effect on the TI field, since it is capable of promoting better fluid mixing between the wall and core flow regions, resulting in higher temperature gradients across the heating duct wall. On the other hand, it can be seen that the temperature regions for all four scenarios are similar to one another and are practically spread uniformly throughout the flow, which is a sign of the strong mixing of the fluid flow. As the air passes over the roughened hot surface, heat is exchanged between the air and the surface. Due to convection, the air that is very close to the surface gets heated up very quickly. Because of the roughness of the surface, the primary hot layer interacts with the secondary cold air, and heat is transferred as a result of conduction and convection. Due to this, the temperature of the air at the surface of the duct is higher and decreases as it moves further away from the surface up to one third of the height of the duct.
Figure 8.
A contour plot of TI for RRH = 0.045 at Re = 8000 for: (a) RRP = 6.67, (b) RRP = 10, (c) RRP = 13.33 and (d) RRP = 16.67.
Figure 9 illustrates how the fr varies with the Re for a variety of RRP and RRH values. It has been found that the fr reduces as the Re increases, and the reason for this is due to the suppression of the viscous sub-layer. The generation of vortices that originate from the rib top generates an extra expenditure of energy, which ultimately results in an increased fr.
Figure 9.
fr versus Re.
For a given RRP and RRH value, Figure 5 and Figure 9 show that the Nur goes up as the Re goes up but the fr goes down. In contrast, the Nur and fr values found for the rough SAH are dissimilar to those obtained for the smooth SAH. This is owing to the fact that roughness creates a discernible change in the properties of the fluid flow, which in turn promotes flow separations, reattachments, and the production of secondary flows.
3.3. Effect of RRP
In Figure 10A–C, it is shown that average Nur is shown to increase in all cases when the value of the Re is increased. As a result of a rise in Re, the heat transfer enhancement of the roughened duct also rises. The Nur values can also be seen to decrease with an increase in the RRP for a constant value of RRH. This is because when the RRP increases, there is a decrease in the number of reattachment points over the absorbing plate.
Figure 10.
Nur versus Re for (A) RRH = 0.03, (B) RRH = 0.045, and (C) RRH = 0.06.
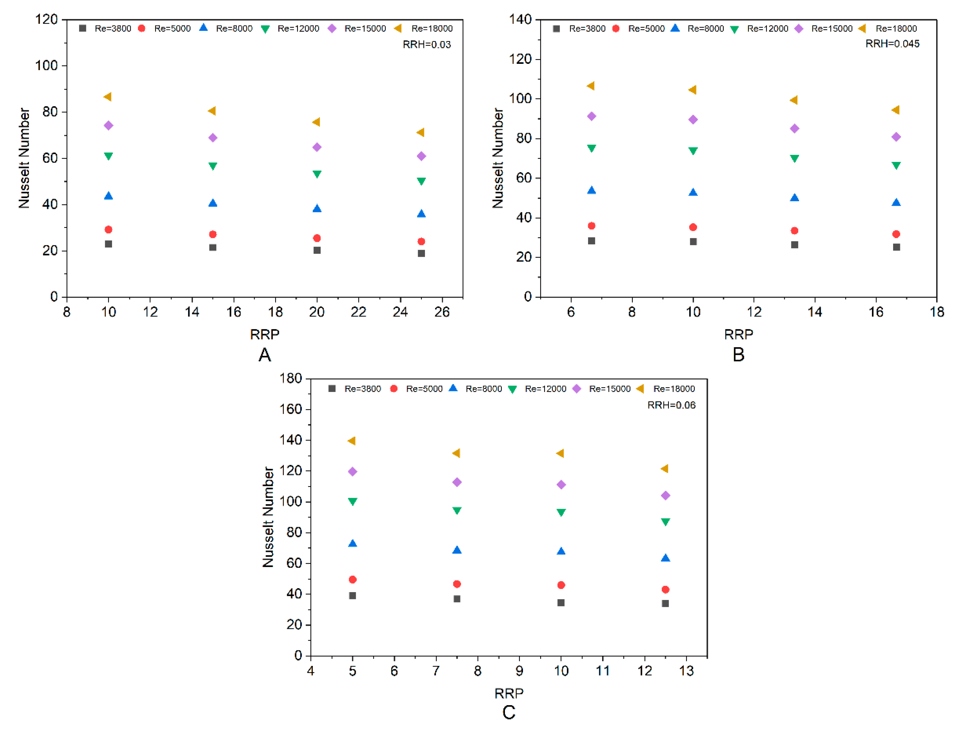
It is worth noting that the Figure 10 data have been re-plotted in Figure 11A–C in order to emphasize the effect of the RRP. It is clearly evident that, for a given RRH, the Nur decreases when the RRP increases and increases when the Re increases in all cases, as expected. The highest possible average Nur value is 139.65, which is shown to be the case when the RRP is 5 and the RRH is 0.06 at a Re of 18,000. As far as the range of parameters being analyzed is concerned, the greatest enhancement in Nur is determined to be 2.76 times that of smooth duct, which corresponds to an RRP of 5 and an RRH of 0.06 at an Re of 18,000.
Figure 11.
Nur versus RRP for (A) RRH = 0.03, (B) RRH = 0.045, and (C) RRH = 0.06.
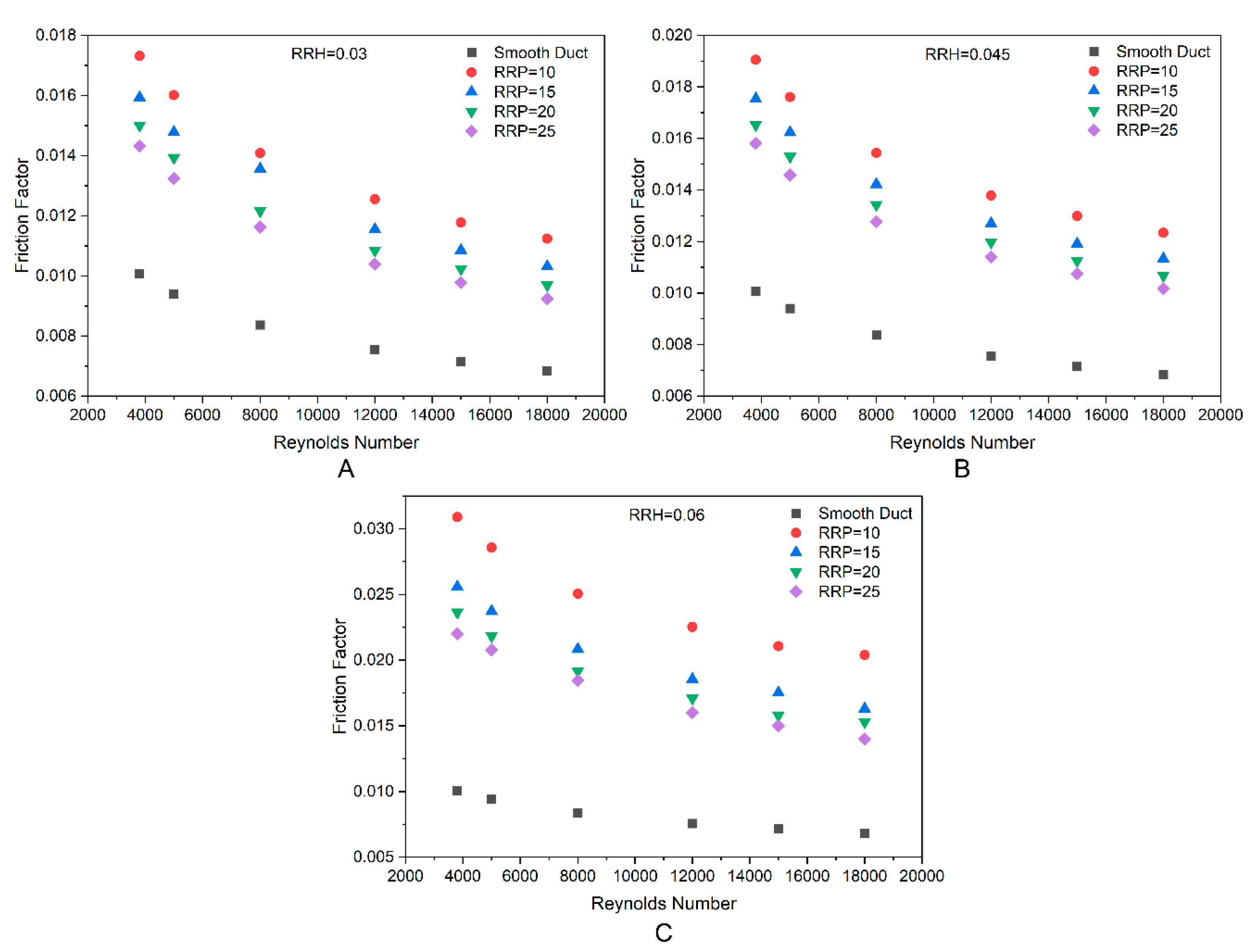
In Figure 12A–C, it is evident that the fr decreases in all the cases with an increasing Re value, as expected based on the suppression of the viscous sub-layer. The fr values can also be found to decrease as the RRP is increased for a fixed value in terms of RRH due to a decreased number of interruptions in the flow path that is caused by the greater RRP. This occurs as a result of the fact that the duct of the SAH has fewer semi-circular sectioned ribs at a greater RRP, which ultimately leads to reduced flow resistance within the duct.
Figure 12.
fr versus Re for (A) RRH = 0.03, (B) RRH = 0.045, and (C) RRH = 0.06.
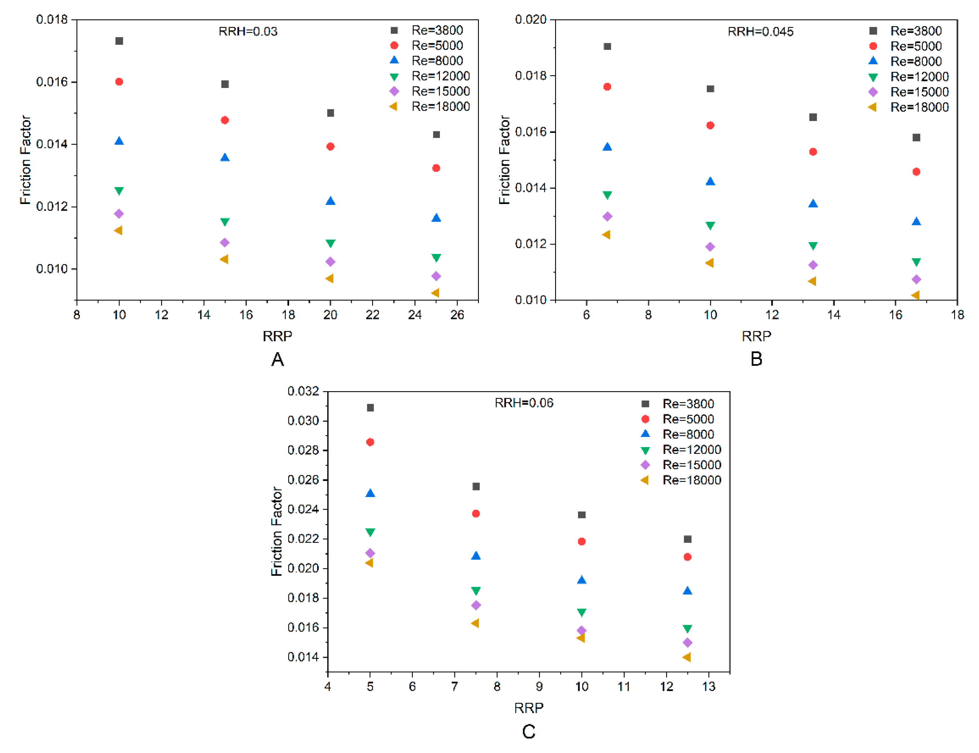
It is worth noting that the Figure 12 data was redrawn in Figure 13A–C in order to emphasize the effect of RRP. It can be clearly observed that, for a given RRH, the fr decreases when RRP increases and decreases when increase in Re as expected, in all cases.
Figure 13.
fr versus RRP for (A) RRH = 0.03 (B) RRH = 0.045 (C) RRH = 0.06.
The highest possible value of the average fr is 0.0309, which is shown to be the case when the RRP is 5 and the RRH is 0.06 at a Re of 3800. As far as the range of parameters being analyzed is concerned, the greatest enhancement in fr is determined to be 3.07 times that of smooth duct, which corresponds to RRP of 5 and RRH of 0.06 at a Re of 3800.
In conclusion, it can be stated that a rise in the RRP leads to a decrease in both the heat transmission and the fr.
3.4. Effect of RRH
Figure 14 demonstrates that the average Nur is shown to increase in all cases when the value of the Re is increased. It has also been shown that the highest value of the Nur corresponds to an RRH value of 0.06. This was determined by observing that the Nur rises as the RRH value rises. This occurs as a result of the heat transfer coefficient being relatively low at the leading edge of the semi-circular rib and relatively high at the trailing edge of the rib. A higher RRH led to an increased number of reattachments of the free shear layer, which was responsible for the intense secondary flow. As a result, an increase in RRH results in a greater heat transfer, which reaches its maximum with an RRH value of 0.06.
Figure 14.
Nur versus Re.
It is worth noting that the data of Figure 14 was redrawn in Figure 15 in order to emphasize the effect of the RRH. It can be clearly observed that, for a given RRP, the Nur increases when the RRH increases and increases when the Re increases in all cases, as expected. As it has been observed that ribs of smaller height remain submerged in the viscous sublayer, there is a negligible difference between smooth and roughened ducts in terms of flow. In other words, this corresponds to a flow regime in which the flow is hydraulically smooth. The heat transfer factor depends upon both the Re and RRH of the ribs if the rib height is of the order of the viscous sublayer, and it noticed that the heat transfer increases slightly for rib heights of the order of the viscous sublayer. In cases where the roughness disturbs the transition zone but not the turbulent core, there is a significant amount of frictional loss and the purpose for which the roughness is intended will not be achieved because the roughness disturbs the turbulent core, resulting in significantly higher friction losses without increasing the heat transfer in that region.
Figure 15.
Nur versus RRH.
In Figure 16, it is shown that as the Re increases, the average fr decreases continuously, mainly as a result of the suppression of the viscous sublayers within the duct when the turbulence develops and the sublayers are suppressed. It is also seen that the fr increases significantly when the RRH increases. This is due to the fact that when the RRH increases, it leads to increased flow resistance within the duct. Furthermore, it has been noticed that the average fr rises with an increase in RRH, and the RRH value that corresponds to the maximum average fr is 0.06 at an Re = 3800.
Figure 16.
fr versus Re.
The Figure 16 was re-drawn in Figure 17 in order to better demonstrate the effect of the RRH on the average fr. It can be easily seen that for a given RRP, the average fr increases when the RRH increases and decreases when the Re increases in all cases, as was expected. It should be noted that as the RRH increases, more interruptions appear in the flow path, since an increase in RRH corresponds to higher fr values.
Figure 17.
fr versus RRH.
In general, both the average Nur and fr increase when the RRH increases. As the RRH increases, there appears to be an increase in the rate of the average fr, whereas the rate of increase for the average Nur reveals a decrease with the increase in RRH. Additionally, with an increase in the Re, it was observed that the rate at which the Nur increases is slower than that at which the fr increases. This is likely due to the fact that at relatively high values in terms of RRH, it is believed that the reattachment of the free shear layer does not occur and that the improvement in the rate of heat transfer is not proportional to the fr.
3.5. Thermohydraulic Performance Parameter (THPP)
It was found that increasing the RRH causes a rise in both the Nur and fr. It was also found that the rate of the rise in the fr is greater than that of the rise in the Nur. According to Prasad and Saini [9], this appears to be the case because, for relatively larger values in terms of RRH, there is a possibility that the re-attachment of the free shear layer will not take place, and there will not be a proportional relationship between the rate of heat transfer enhancement and the fr. It has been determined that once the RRH reaches a particular value, the semi-circular sectioned rib roughness begins to operate as a fin, which leads to a larger value in terms of the fr. Even if the fr increases at a faster rate when the RRH rises, it was found that the heat transfer enhancement rate decreases. As a result, it is preferable to select the roughness geometry in such a way that the heat transmission is maximized while maintaining the pumping losses at the lowest possible value. When conducting an evaluation of the overall performance of an SAH, it is necessary to first determine the thermo-hydraulic performance of the system. This is accomplished by taking into account both the thermal and the hydraulic performance simultaneously.
The current numerical analysis reveals that a roughened duct with RRP of 5 and RRH of 0.06 produces the highest augmentation in average Nur on the order of 2.76 times that of plain duct at a Re of 18,000, whereas roughened duct with RRP of 5 and RRH of 0.06 results in the highest augmentation in average fr in the order of 3.07 times that of plain duct at a Re of 3800. As a result, it is vital to establish the rib dimension and arrangement that results in the largest enhancement in terms of heat transfer with the smallest friction power penalty. This was accomplished by comparing the THPP for all the investigated rib configurations.
The relationship between the THPP and Re is illustrated in Figure 18, which depicts all considered cases. In all circumstances, the THPP is greater than one. As a result of the analysis of the range of parameters investigated, the THPP values were found to fall anywhere between 1.16 and 1.98. It was found that a roughened duct with a semi-circular rib having an RRP = 10 and RRH = 0.06 produces a superior THPP at an Re = 1500.
Figure 18.
Variation in THPP with Re for different RRH and RRP values.
3.6. Validation of Results
It is well known that CFD validation requires experimental data on similar geometric and operating parameters. However, the literature survey revealed that no such experimental research article has been published so far in which the effects of the RRP and RRH have been studied together. In order to validate the present model, we adopted exactly the same approach for validation as that used by Yadav and Bhagoria [38]. That is why we chose the optimum RRP value for validation that is independent of rib shape. As a result of the literature search in this area, it was revealed that the optimum values for RRP for a fixed value in terms of RRH generally lie in the range of 8–12, regardless of the shape of the ribs [39]. This numerical model was validated by comparing the results of optimal RRP with the available experimental values in order to assess its validity. A comparison is presented in Table 5 between the available experimental results and the presented numerical results in terms of optimal RRP.
Table 5.
Comparison between present numerical and previous experimental results for optimal RRP.
Based on the results of the present CFD investigation, it was observed that in comparison with the accepted range of RRP values, the optimum value derived from the present CFD investigation falls within the acceptable boundaries (8–12). There is a good agreement between the CFD results and those obtained from experiments, as can be seen in the Table 5.
As far as CFD approach is concerned, one of its major disadvantages is its limited capability for validation. A survey of the relevant literature revealed that no experimental data are available for direct comparison for the identical roughness/flow parameters. Because of this, the patterns of Nur, fr, and THPP, rather than their values, were validated in against the available experimental results regardless of rib shapes. The Nur, fr, and THPP obtained in the present CFD analysis follow the same trends as those obtained in the experimental work of [39,41,44,56,61,62,63,64,65,66,67,68,69,70,71,72,73,74,75]. It is important to emphasize that these trends tend to be in good agreement with the corresponding trends in experimental work available in the literature.
In addition, the numerical results of the smooth SAH were validated with the well-known Dittus–Belter equation [35] as well as the Blasius equation [31]. Figure 19 presents a comparison of the numerically acquired Nu with the Dittus–Boelter equation operating under similar conditions. Figure 20 presents the comparison of the numerically acquired fr with the Blasius equation operating under similar conditions. It was found that the average deviation in terms of CFD Nu values from the predicted values given in Equation (6) is about ±2.58%. It was also found that the average deviation of the CFD fr values from the predicted values given in Equation (14) is about ±4.35%. The numerical results are consistent with the correlation findings, providing the validity of the model employed in this study. It is ensured that present numerical results are trustworthy.
Figure 19.
Validation of Nu.
Figure 20.
Validation of fr.
As a conclusion, it can be stated that a 2-dimensional flow model yields result that can be more closely compared to experimental measurements as it does when compare to a 3-dimensional flow model. Due to this, it is recommended that semi-circular ribs which have RRP = 10 and RRH = 0.06 can be applied in a SAH to enhance heat transfer.
4. Conclusions
In order to study heat transfer and fluid flow behavior in a rectangular duct of an SAH that has a semi-circular rib roughness, a two-dimensional numerical analysis was performed. It was found that the Re, RRP, and RRH all have an effect on the heat transfer coefficient and fr. Comparing the numerical results with the experimental data validated the present numerical model. On the basis of this investigation, we can reach the following conclusions:
- This study demonstrated that the RNG k-ε turbulence model predicted results that were in close agreement with the experimental results, thus providing confidence in the numerical predictions based on this model. Using the RNG k-ε model, the Nur data deviates from Equation (6) by 2.58 percent.
- There is an increase in the average Nur with an increase in the Re. The Nur was found to reach a maximum value of 139.65 at an Re of 18,000 for an RRP of 5 and an RRH of 0.06.
- The maximum Nur enhancement for a roughened duct was found to be 2.76 times that of a smooth duct with an RRP of 5 and an RRH of 0.06 at an Re of 18,000.
- There is a decrease in the average fr with an increase in the Re. The fr was found to reach a maximum value of 0.0309 at an Re of 3800 for an RRP of 5 and an RRH of 0.06.
- The maximum fr enhancement for a roughened duct was found to be 3.07 times that of a smooth duct with an RRP of 5 and an RRH of 0.06 at an Re of 3800.
- A semi-circular rib roughness with an RRP = 10 and RRH = 0.06 at an Re of 15,000 was found to provide the best THPP, of 1.98, which can be effectively utilized for the purpose of enhancing heat transfer.
- Finally, it was found that semi-circular ribs which have rib pitch = 20 mm and a rib height = 2 mm can be applied in an SAH to enhance heat transfer.
Author Contributions
Conceptualization, A.S.Y.; methodology, G.G. and T.A.; software, A.S.Y.; validation, R.S. and A.S.; formal analysis, N.K.G. and N.S.; investigation, K.V.A. and N.S.; resources, G.G.; data curation, R.S.; writing—original draft, A.S.Y.; writing—review and editing, R.K., Y.A. and U.P. All authors have read and agreed to the published version of the manuscript.
Funding
The APC was funded by Vellore Institute of Technology, Vellore, India.
Data Availability Statement
Not applicable.
Acknowledgments
The authors would like to express gratitude towards the Vellore Institute of Technology, Vellore, India for granting the fund for Article Processing Charges.
Conflicts of Interest
The authors declare no conflict of interest.
Nomenclature
| CFD | Computational fluid dynamics |
| Cp | Specific heat of air, J/kg K |
| D | Equivalent or hydraulic diameter of duct, mm |
| e | Rib height, mm |
| Gk | Generation of turbulence kinetic energy, m2/s2 |
| H | Depth of duct, mm |
| h | Heat transfer coefficient, W/m2 K |
| k | Thermal conductivity of air, W/m K |
| L | Length of duct, mm |
| L1 | Inlet length of duct, mm |
| L2 | Test length of duct, mm |
| L3 | Outlet length of duct, mm |
| P | Pitch, mm |
| q | Heat flux, W/m2 |
| RNG | Renormalization group |
| RRH | Relative roughness height |
| RRP | Relative roughness pitch |
| SAH | Solar air heater |
| TDR | Turbulence dissipation rate |
| THPP | Thermo-hydraulic performance parameter |
| TI | Turbulence intensity |
| TKE | Turbulence kinetic energy |
| v | Velocity of air in the duct, m/s |
| W | Width of duct, mm |
| ΔP | Pressure drop, Pa |
| Dimensionless parameters | |
| e/D | Relative roughness height |
| e+ | Roughness Reynolds number |
| f | Friction factor |
| G | Heat transfer function |
| I | Turbulence intensity |
| Nu | Nusselt number |
| P/e | Relative roughness pitch |
| Pr | Prandtl number |
| R | Roughness function |
| Re | Reynolds number |
| St | Stanton number |
| W/H | Duct aspect ratio |
| Greek symbols | |
| α | Angle of attack, degree |
| αk | Inverse effective turbulent Prandtl numbers for k |
| αε | Inverse effective turbulent Prandtl numbers for ε |
| Γ | Molecular thermal diffusivity, m2/s |
| δ | Transition sub-layer thickness, m |
| ε | Turbulence dissipation rate, m2/s3 |
| κ | Turbulence kinetic energy, m2/s2 |
| μ | Dynamic viscosity, Ns/m2 |
| μeff | Effective turbulent viscosity, Ns/m2 |
| μt | Turbulent viscosity, Ns/m2 |
| ρ | Density of air, kg/m3 |
| ω | Specific dissipation rate, 1/s |
| Subscripts | |
| r | Rough |
| s | Smooth |
References
- Kaltschmitt, M.; Streicher, W.; Wiese, A. Renewable Energy: Technology, Economics and Environment; Springer Science & Business Media: Berlin/Heidelberg, Germany, 2007. [Google Scholar]
- Singh, S.K.; Verma, S.K.; Kumar, R. Thermal performance and behavior analysis of SiO2, Al2O3 and MgO based nano-enhanced phase-changing materials, latent heat thermal energy storage system. J. Energy Storage 2022, 48, 103977. [Google Scholar] [CrossRef]
- Kalogirou, S.A. Solar thermal collectors and applications. Prog. Energy Combust. Sci. 2004, 30, 231–295. [Google Scholar] [CrossRef]
- Kreider, J.F. Solar Heating Design Process: Active and Passive Systems; McGraw-Hill Book Company: New York, NY, USA, 1982. [Google Scholar]
- Joule, J.P. On the surface-condensation of steam. Philos. Trans. R. Soc. Lond. 1861, 151, 133–160. [Google Scholar]
- Nikuradse, J. Laws of Flow in Rough Pipes, NACA TN 1292, 1950. English translation of VDI-Forschungsheft 1933, 361. Available online: https://ntrs.nasa.gov/citations/19930093938 (accessed on 6 August 2022).
- Prasad, K.; Mullick, S.C. Heat transfer characteristics of a solar air heater used for drying purposes. Appl. Energy 1983, 13, 83–93. [Google Scholar] [CrossRef]
- Sharma, S.K.; Kalamkar, V.R. Thermo-hydraulic performance analysis of solar air heaters having artificial roughness–A review. Renew. Sustain. Energy Rev. 2015, 41, 413–435. [Google Scholar] [CrossRef]
- Prasad, B.N.; Saini, J.S. Effect of artificial roughness on heat transfer and friction factor in a solar air heater. Sol. Energy 1988, 41, 555–560. [Google Scholar] [CrossRef]
- Karwa, R.; Solanki, S.C.; Saini, J.S. Thermo-hydraulic performance of solar air heaters having integral chamfered rib roughness on absorber plates. Energy 2001, 26, 161–176. [Google Scholar] [CrossRef]
- Saini, R.P.; Verma, J. Heat transfer and friction factor correlations for a duct having dimple-shape artificial roughness for solar air heaters. Energy 2008, 33, 1277–1287. [Google Scholar] [CrossRef]
- Singh, S.; Chander, S.; Saini, J.S. Heat transfer and friction factor correlations of solar air heater ducts artificially roughened with discrete V-down ribs. Energy 2011, 36, 5053–5064. [Google Scholar] [CrossRef]
- Tanda, G. Performance of solar air heater ducts with different types of ribs on the absorber plate. Energy 2011, 36, 6651–6660. [Google Scholar] [CrossRef]
- Kumar, R.; Verma, S.K. Review based on the absorber plate coating for solar air heater applications. IOP Conf. Ser. Mater. Sci. Eng. 2022, 1116, 012053. [Google Scholar] [CrossRef]
- Yadav, A.S.; Gattani, A. Revisiting the influence of artificial roughness shapes on heat transfer enhancement. Mater. Today: Proc. 2022, 62, 1383–1391. [Google Scholar] [CrossRef]
- Versteeg, H.K.; Malalasekera, W. An Introduction to Computational Fluid Dynamics: The Finite Volume Method; Pearson Education: London, UK, 2007. [Google Scholar]
- Date, A.W. Introduction to Computational Fluid Dynamics; Cambridge University Press: New York, NY, USA, 2005. [Google Scholar]
- Chaube, A.; Sahoo, P.K.; Solanki, S.C. Analysis of heat transfer augmentation and flow characteristics due to rib roughness over absorber plate of a solar air heater. Renew. Energy 2006, 31, 317–331. [Google Scholar] [CrossRef]
- Kumar, S.; Saini, R.P. CFD based performance analysis of a solar air heater duct provided with artificial roughness. Renew. Energy 2009, 34, 1285–1291. [Google Scholar] [CrossRef]
- Karmare, S.V.; Tikekar, A.N. Experimental investigation of optimum thermohydraulic performance of solar air heaters with metal rib grits roughness. Sol. Energy 2009, 83, 6–13. [Google Scholar] [CrossRef]
- Gawande, V.B.; Dhoble, A.S.; Zodpe, D.B.; Chamoli, S. Experimental and CFD-based thermal performance prediction of solar air heater provided with right-angle triangular rib as artificial roughness. J. Braz. Soc. Mech. Sci. Eng. 2015, 38, 551–579. [Google Scholar] [CrossRef]
- Bouzaher, M.T.; Baissi, M.T.; abdelbasset, C. CFD analysis of solar air collector equipped with flexible ribs. J. Braz. Soc. Mech. Sci. Eng. 2016, 38, 2289–2297. [Google Scholar] [CrossRef]
- Gupta, A.D.; Varshney, L. Performance prediction for solar air heater having rectangular sectioned tapered rib roughness using CFD. Therm. Sci. Eng. Prog. 2017, 4, 122–132. [Google Scholar] [CrossRef]
- Kumar, R.; Goel, V.; Kumar, A. Investigation of heat transfer augmentation and friction factor in triangular duct solar air heater due to forward facing chamfered rectangular ribs: A CFD based analysis. Renew. Energy 2018, 115, 824–835. [Google Scholar] [CrossRef]
- Singh, I.; Vardhan, S.; Singh, S.; Singh, A. Experimental and CFD analysis of solar air heater duct roughened with multiple broken transverse ribs: A comparative study. Sol. Energy 2019, 188, 519–532. [Google Scholar] [CrossRef]
- Pandey, N.K.; Bajpai, V.K.; Sharma, A.; Yadav, S. CFD and thermo-hydraulic analysis of multiple arc roughened absorber plate with gaps used in solar air heaters. Int. J. Ambient Energy 2020, 43, 3275–3281. [Google Scholar] [CrossRef]
- Varun Kumar, B.; Manikandan, G.; Rajesh Kanna, P. Enhancement of heat transfer in SAH with polygonal and trapezoidal shape of the rib using CFD. Energy 2021, 234, 121154. [Google Scholar] [CrossRef]
- Yadav, A.S.; Agrawal, A.; Sharma, A.; Gupta, A. Revisiting the effect of ribs on performance of solar air heater using CFD approach. Mater. Today: Proc. 2022, 63, 240–252. [Google Scholar] [CrossRef]
- Kumar, R.; Verma, S.K. Numerical investigation of performance analysis of triangular solar air heater using computational fluid dynamics (CFD). IOP Conf. Ser. Mater. Sci. Eng. 2021, 1116, 012047. [Google Scholar] [CrossRef]
- ANSI/ASHRAE Standard 93-2003; ASHRAE Standard Methods of Testing to Determine the Thermal Performance of Solar Collectors. American Society of Heating, Refrigerating and Air-Conditioning, Engineers: Atlanta, GA, USA, 2003.
- Fox, R.W.; McDonald, A.T.; Pritchard, P.J. Introduction to Fluid Mechanics; John Wiley & Sons: New York, NY, USA, 1985. [Google Scholar]
- Wang, L.; Sundén, B. Experimental Investigation of Local Heat Transfer in a Square Duct With Continuous and Truncated Ribs. Exp. Heat Transf. 2005, 18, 179–197. [Google Scholar] [CrossRef]
- Manual, Ansys Fluent 16.0. Theory Guide 2015. Available online: https://vdocuments.net/ansys-fluent-theory-guide-568848c30618c.html (accessed on 12 January 2022).
- Launder, B.E.; Spalding, D.B. Lectures in Mathematical Models of Turbulence; Academic Press: London, UK, 1972. [Google Scholar]
- McAdams, W.H. Heat Transmission; McGraw-Hill Book Co.: New York, NY, USA, 1942. [Google Scholar]
- Patankar, S. Numerical Heat Transfer and Fluid Flow; CRC Press: Boca Raton, FL, USA, 1980. [Google Scholar]
- Webb, R.L.; Eckert, E.R.G. Application of rough surfaces to heat exchanger design. Int. J. Heat Mass Transf. 1972, 15, 1647–1658. [Google Scholar] [CrossRef]
- Yadav, A.S.; Bhagoria, J.L. A CFD based thermo-hydraulic performance analysis of an artificially roughened solar air heater having equilateral triangular sectioned rib roughness on the absorber plate. Int. J. Heat Mass Transf. 2014, 70, 1016–1039. [Google Scholar] [CrossRef]
- Verma, S.K.; Prasad, B.N. Investigation for the optimal thermohydraulic performance of artificially roughened solar air heaters. Renew. Energy 2000, 20, 19–36. [Google Scholar] [CrossRef]
- Gupta, D.; Solanki, S.C.; Saini, J.S. Heat and fluid flow in rectangular solar air heater ducts having transverse rib roughness on absorber plates. Sol. Energy 1993, 51, 31–37. [Google Scholar] [CrossRef]
- Aharwal, K.R.; Gandhi, B.K.; Saini, J.S. Heat transfer and friction characteristics of solar air heater ducts having integral inclined discrete ribs on absorber plate. Int. J. Heat Mass Transf. 2009, 52, 5970–5977. [Google Scholar] [CrossRef]
- Varun; Saini, R.P.; Singal, S.K. Investigation of thermal performance of solar air heater having roughness elements as a combination of inclined and transverse ribs on the absorber plate. Renew. Energy 2008, 33, 1398–1405. [Google Scholar] [CrossRef]
- Ebrahim Momin, A.-M.; Saini, J.S.; Solanki, S.C. Heat transfer and friction in solar air heater duct with V-shaped rib roughness on absorber plate. Int. J. Heat Mass Transf. 2002, 45, 3383–3396. [Google Scholar] [CrossRef]
- Hans, V.S.; Saini, R.P.; Saini, J.S. Heat transfer and friction factor correlations for a solar air heater duct roughened artificially with multiple v-ribs. Sol. Energy 2010, 84, 898–911. [Google Scholar] [CrossRef]
- Prasad, B.N. Thermal performance of artificially roughened solar air heaters. Sol. Energy 2013, 91, 59–67. [Google Scholar] [CrossRef]
- Karwa, R.; Chitoshiya, G. Performance study of solar air heater having v-down discrete ribs on absorber plate. Energy 2013, 55, 939–955. [Google Scholar] [CrossRef]
- Kumar, A.; Saini, R.P.; Saini, J.S. Development of correlations for Nusselt number and friction factor for solar air heater with roughened duct having multi v-shaped with gap rib as artificial roughness. Renew. Energy 2013, 58, 151–163. [Google Scholar] [CrossRef]
- Saini, S.K.; Saini, R.P. Development of correlations for Nusselt number and friction factor for solar air heater with roughened duct having arc-shaped wire as artificial roughness. Sol. Energy 2008, 82, 1118–1130. [Google Scholar] [CrossRef]
- Sethi, M.; Varun; Thakur, N.S. Correlations for solar air heater duct with dimpled shape roughness elements on absorber plate. Sol. Energy 2012, 86, 2852–2861. [Google Scholar] [CrossRef]
- Yadav, S.; Varun; Siddhartha; Kaushal, M. Heat Transfer and Frictional Characteristics of Rectangular Channel Air Heater Duct Having Protrusion as Roughness Elements. J. Inst. Eng. Ser. C 2012, 93, 307–312. [Google Scholar] [CrossRef]
- Layek, A.; Saini, J.S.; Solanki, S.C. Effect of chamfering on heat transfer and friction characteristics of solar air heater having absorber plate roughened with compound turbulators. Renew. Energy 2009, 34, 1292–1298. [Google Scholar] [CrossRef]
- Singh, A.P.; Varun; Siddhartha. Heat transfer and friction factor correlations for multiple arc shape roughness elements on the absorber plate used in solar air heaters. Exp. Therm. Fluid Sci. 2014, 54, 117–126. [Google Scholar] [CrossRef]
- Alam, T.; Saini, R.P.; Saini, J.S. Experimental Investigation of Thermohydraulic Performance of a Rectangular Solar Air Heater Duct Equipped with V-Shaped Perforated Blocks. Adv. Mech. Eng. 2015, 6, 948313. [Google Scholar] [CrossRef]
- Maithani, R.; Saini, J.S. Performance evaluation of solar air heater having V-ribs with symmetrical gaps in a rectangular duct of solar air heater. Int. J. Ambient Energy 2016, 38, 400–410. [Google Scholar] [CrossRef]
- Bharadwaj, G.; Varun; Kumar, R.; Sharma, A. Heat transfer augmentation and flow characteristics in ribbed triangular duct solar air heater: An experimental analysis. Int. J. Green Energy 2017, 14, 587–598. [Google Scholar] [CrossRef]
- Yadav, A.S.; Sharma, A. Experimental Investigation on Heat Transfer Enhancement of Artificially Roughened Solar Air Heater. Heat Transf. Eng. 2022; in press. [Google Scholar]
- Kumar, A.; Layek, A. Evaluation of the performance analysis of an improved solar air heater with Winglet shaped ribs. Exp. Heat Transf. 2022, 35, 239–257. [Google Scholar] [CrossRef]
- Sahu, M.K.; Matheswaran, M.M.; Bishnoi, P. Experimental study of thermal performance and pressure drop on a solar air heater with different orientations of arc-shape rib roughness. J. Therm. Anal. Calorim. 2020, 144, 1417–1434. [Google Scholar] [CrossRef]
- Kashyap, A.S.; Kumar, R.; Singh, P.; Goel, V. Solar air heater having multiple V-ribs with Multiple-Symmetric gaps as roughness elements on Absorber-Plate: A parametric study. Sustain. Energy Technol. Assess. 2021, 48, 101559. [Google Scholar] [CrossRef]
- Kumar, D.; Prasad, L. Augmentation on Heat Transfer and Friction Factor in Three Sides Solar Air Heaters Having an Arrangement of Multi-V and Transverse Wire Roughness on the Absorber Plate. Int. J. Thermodyn. 2021, 24, 109–117. [Google Scholar] [CrossRef]
- Saini, R.P.; Saini, J.S. Heat transfer and friction factor correlations for artificially roughened ducts with expanded metal mesh as roughness element. Int. J. Heat Mass Transf. 1997, 40, 973–986. [Google Scholar] [CrossRef]
- Bhagoria, J.L.; Saini, J.S.; Solanki, S.C. Heat transfer coefficient and friction factor correlations for rectangular solar air heater duct having transverse wedge shaped rib roughness on the absorber plate. Renew. Energy 2002, 25, 341–369. [Google Scholar] [CrossRef]
- Jaurker, A.R.; Saini, J.S.; Gandhi, B.K. Heat transfer and friction characteristics of rectangular solar air heater duct using rib-grooved artificial roughness. Sol. Energy 2006, 80, 895–907. [Google Scholar] [CrossRef]
- Aharwal, K.R.; Gandhi, B.K.; Saini, J.S. Experimental investigation on heat-transfer enhancement due to a gap in an inclined continuous rib arrangement in a rectangular duct of solar air heater. Renew. Energy 2008, 33, 585–596. [Google Scholar] [CrossRef]
- Kumar, A.; Saini, R.P.; Saini, J.S. Experimental investigation on heat transfer and fluid flow characteristics of air flow in a rectangular duct with Multi v-shaped rib with gap roughness on the heated plate. Sol. Energy 2012, 86, 1733–1749. [Google Scholar] [CrossRef]
- Aharwal, K.R.; Pawar, C.B.; Chaube, A. Heat transfer and fluid flow analysis of artificially roughened ducts having rib and groove roughness. Heat Mass Transf. 2014, 50, 835–847. [Google Scholar] [CrossRef]
- Alam, T.; Saini, R.; Saini, J. Experimental investigation of thermo hydraulic performance due to angle of attack in solar air heater duct equipped with V–shaped perforated blockages. Int. J. Renew. Energy Technol. 2015, 6, 164–180. [Google Scholar] [CrossRef]
- Maithani, R.; Saini, J.S. Heat transfer and friction factor correlations for a solar air heater duct roughened artificially with V-ribs with symmetrical gaps. Exp. Therm. Fluid Sci. 2016, 70, 220–227. [Google Scholar] [CrossRef]
- Hans, V.S.; Gill, R.S.; Singh, S. Heat transfer and friction factor correlations for a solar air heater duct roughened artificially with broken arc ribs. Exp. Therm. Fluid Sci. 2017, 80, 77–89. [Google Scholar] [CrossRef]
- Patel, S.S.; Lanjewar, A. Experimental analysis for augmentation of heat transfer in multiple discrete V-patterns combined with staggered ribs solar air heater. Renew. Energy Focus 2018, 25, 31–39. [Google Scholar] [CrossRef]
- Jain, S.K.; Agrawal, G.D.; Misra, R. Heat transfer augmentation using multiple gaps in arc-shaped ribs roughened solar air heater: An experimental study. Energy Sources Part A: Recovery Util. Environ. Eff. 2019, 43, 3345–3356. [Google Scholar] [CrossRef]
- Arunkumar, H.S.; Kumar, S.; Vasudeva Karanth, K. Experimental study on thermo-hydraulic performance of a solar air heater with rectangular perforated duct inserts. Sol. Energy 2021, 227, 179–189. [Google Scholar] [CrossRef]
- Kumar, R.; Kumar Verma, S. Performance estimation of Triangular Solar air heater roughened absorber surface: An experimental and simulation modeling. Sustain. Energy Technol. Assess. 2022, 102208, 52. [Google Scholar] [CrossRef]
- Sharma, S.; Das, R.K.; Kulkarni, K. Computational and experimental assessment of solar air heater roughened with six different baffles. Case Stud. Therm. Eng. 2021, 27, 101350. [Google Scholar] [CrossRef]
- Sharma, S.; Das, R.K.; Kulkarni, K. Experimental analysis and thermal management of solar air heater roughened with sine wave baffles. Proc. Inst. Mech. Eng. Part A J. Power Energy 2022, in press. [Google Scholar]
Publisher’s Note: MDPI stays neutral with regard to jurisdictional claims in published maps and institutional affiliations. |
© 2022 by the authors. Licensee MDPI, Basel, Switzerland. This article is an open access article distributed under the terms and conditions of the Creative Commons Attribution (CC BY) license (https://creativecommons.org/licenses/by/4.0/).



















