Influence of Temperature and Residence Time on Torrefaction Coupled to Fast Pyrolysis for Valorizing Agricultural Waste
Abstract
1. Introduction
2. Materials and Methods
2.1. Materials Feed and Preparation
2.2. Experimental Procedure
3. Results
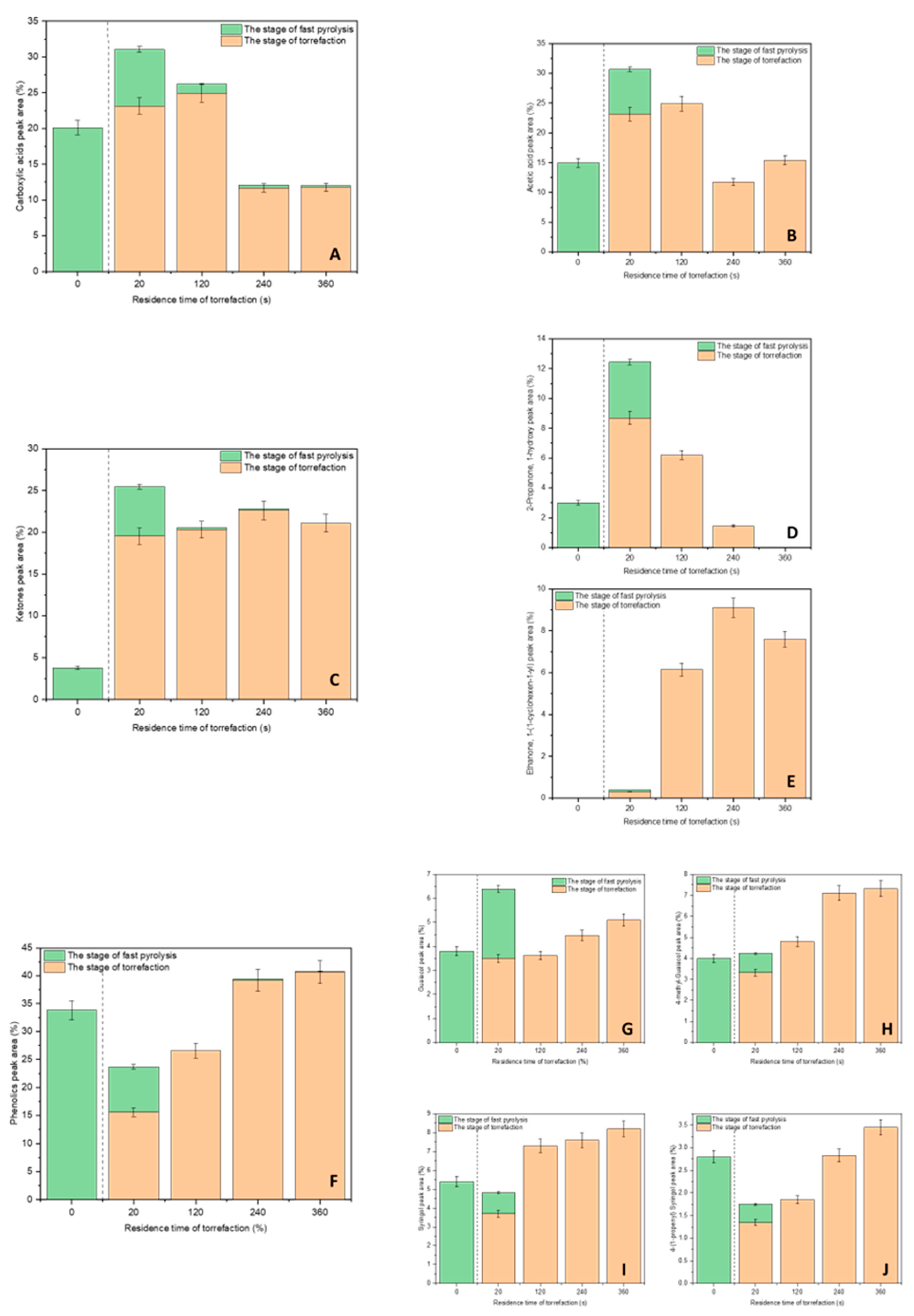
3.1. Olive Pomace Torrefaction Combined with Fast Pyrolysis
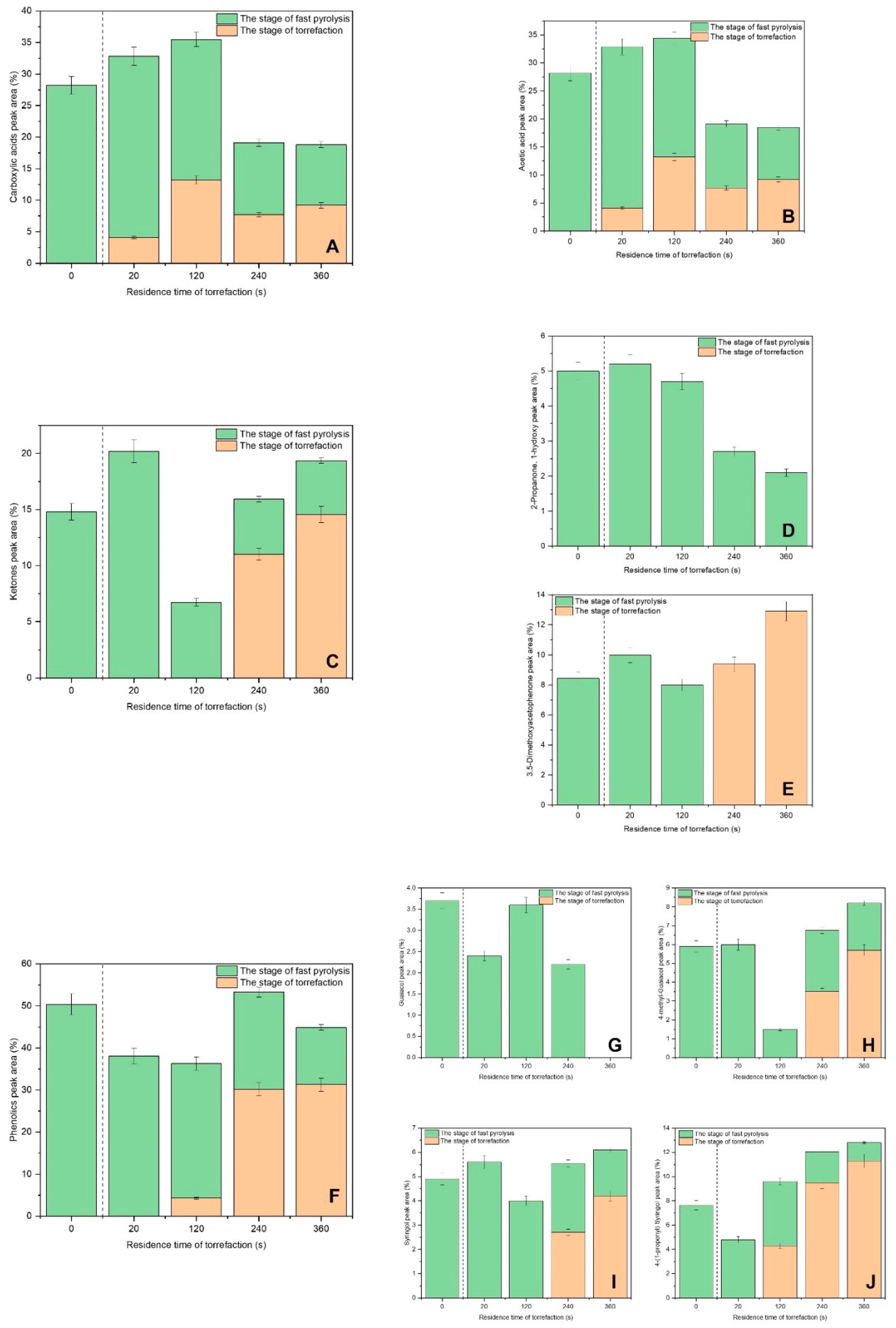
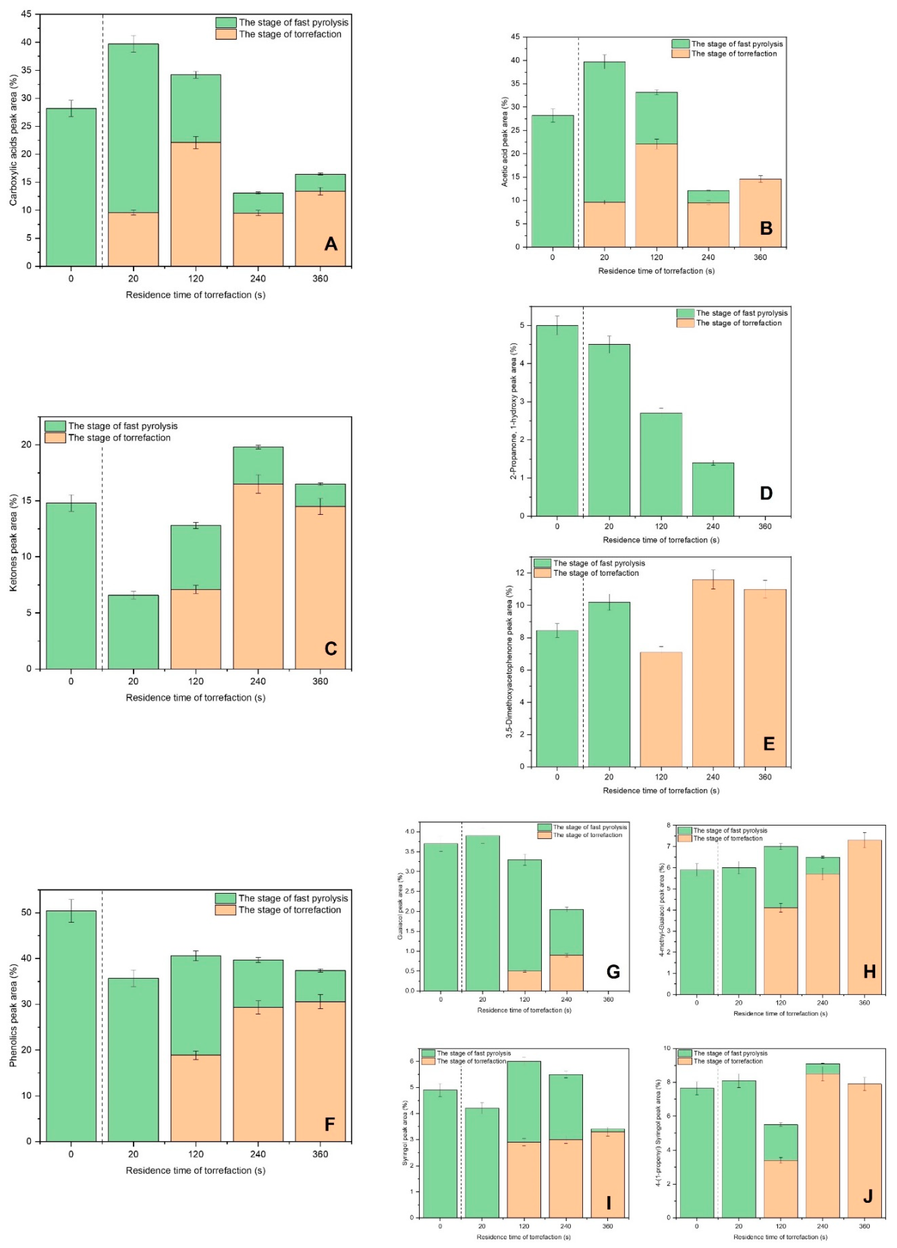
3.2. Almond Shell Torrefaction Combined with Fast Pyrolysis
3.3. General Trends for Combined Procedure: Torrefaction and Fast Pyrolysis
4. Conclusions
Supplementary Materials
Author Contributions
Funding
Conflicts of Interest
References
- Jiang, C.; Jin, X.; Xu, T.; Xiao, B.; Hu, Z.; Wang, X. Biomass Chemical Looping Gasification for Syngas Production Using Modified Hematite as Oxygen Carriers. J. Environ. Sci. 2023, 125, 171–184. [Google Scholar] [CrossRef]
- Khan, S.R.; Zeeshan, M. Catalytic Potential of Low-Cost Natural Zeolite and Influence of Various Pretreatments of Biomass on Pyro-Oil up-Gradation during Co-Pyrolysis with Scrap Rubber Tires. Energy 2022, 238, 121820. [Google Scholar] [CrossRef]
- Kumar, A.; Kumar, K.; Kaushik, N.; Sharma, S.; Mishra, S. Renewable Energy in India: Current Status and Future Potentials. Renew. Sustain. Energy Rev. 2010, 14, 2434–2442. [Google Scholar] [CrossRef]
- Zheng, A.; Xia, S.; Cao, F.; Liu, S.; Yang, X.; Zhao, Z.; Tian, Y.; Li, H. Directional Valorization of Eucalyptus Waste into Value-Added Chemicals by a Novel Two-Staged Controllable Pyrolysis Process. Chem. Eng. J. 2021, 404, 127045. [Google Scholar] [CrossRef]
- Bridgwater, A.V.; Meier, D.; Radlein, D. An Overview of Fast Pyrolysis of Biomass. Org. Geochem. 1999, 30, 1479–1493. [Google Scholar] [CrossRef]
- Hu, R.; Wan, S.Q.; Mao, F.; Wang, J. Changes in Pyrolysis Characteristics of Agricultural Residues before and after Water Washing. J. Fuel Chem. Technol. 2021, 49, 1239–1249. [Google Scholar] [CrossRef]
- Lee, Y.E.; Jeong, Y.; Shin, D.C.; Yoo, Y.S.; Ahn, K.H.; Jung, J.; Kim, I.T. Effects of Demineralization on Food Waste Biochar for Co-Firing: Behaviors of Alkali and Alkaline Earth Metals and Chlorine. Waste Manag. 2022, 137, 190–199. [Google Scholar] [CrossRef]
- Dorado, F.; Sanchez, P.; Alcazar-Ruiz, A.; Sanchez-Silva, L. Fast Pyrolysis as an Alternative to the Valorization of Olive Mill Wastes. J. Sci. Food Agric. 2020, 101, 2650–2658. [Google Scholar] [CrossRef]
- González, J.F.; Ramiro, A.; González-García, C.M.; Gańán, J.; Encinar, J.M.; Sabio, E.; Rubiales, J. Pyrolysis of Almond Shells. Energy Applications of Fractions. Ind. Eng. Chem. Res. 2005, 44, 3003–3012. [Google Scholar] [CrossRef]
- Chen, W.H.; Wang, C.W.; Ong, H.C.; Show, P.L.; Hsieh, T.H. Torrefaction, Pyrolysis and Two-Stage Thermodegradation of Hemicellulose, Cellulose and Lignin. Fuel 2019, 258, 116168. [Google Scholar] [CrossRef]
- Chan, Y.H.; Loh, S.K.; Chin, B.L.F.; Yiin, C.L.; How, B.S.; Cheah, K.W.; Wong, M.K.; Loy, A.C.M.; Gwee, Y.L.; Lo, S.L.Y.; et al. Fractionation and Extraction of Bio-Oil for Production of Greener Fuel and Value-Added Chemicals: Recent Advances and Future Prospects. Chem. Eng. J. 2020, 397, 125406. [Google Scholar] [CrossRef]
- Mohamed, B.A.; Bilal, M.; Salama, E.S.; Periyasamy, S.; Fattah, I.M.R.; Ruan, R.; Awasthi, M.K.; Leng, L. Phenolic-Rich Bio-Oil Production by Microwave Catalytic Pyrolysis of Switchgrass: Experimental Study, Life Cycle Assessment, and Economic Analysis. J. Clean. Prod. 2022, 366, 132668. [Google Scholar] [CrossRef]
- Li, C.; Nakagawa, Y.; Tamura, M.; Nakayama, A.; Tomishige, K. Hydrodeoxygenation of Guaiacol to Phenol over Ceria-Supported Iron Catalysts. ACS Catal. 2020, 10, 14624–14639. [Google Scholar] [CrossRef]
- Cao, B.; Jiang, D.; Zheng, Y.; Fatemeh, P.; Yuan, C.; Hu, Y.; Chen, H.; Li, C.; Hu, X.; Wang, S.; et al. Evaluation of Biochar-Derived Carbocatalysts for Pyrolytic Conversion of Sawdust: Life Cycle Assessment towards Monophenol Production. Fuel 2022, 330, 125476. [Google Scholar] [CrossRef]
- Chen, X.; Che, Q.; Li, S.; Liu, Z.; Yang, H.; Chen, Y.; Wang, X.; Shao, J.; Chen, H. Recent Developments in Lignocellulosic Biomass Catalytic Fast Pyrolysis: Strategies for the Optimization of Bio-Oil Quality and Yield. Fuel Process. Technol. 2019, 196, 106180. [Google Scholar] [CrossRef]
- Foong, S.Y.; Liew, R.K.; Yang, Y.; Cheng, Y.W.; Yek, P.N.Y.; Wan Mahari, W.A.; Lee, X.Y.; Han, C.S.; Vo, D.-V.N.; Van Le, Q.; et al. Valorization of Biomass Waste to Engineered Activated Biochar by Microwave Pyrolysis: Progress, Challenges, and Future Directions. Chem. Eng. J. 2020, 389, 124401. [Google Scholar] [CrossRef]
- Chen, W.H.; Lin, B.J.; Lin, Y.Y.; Chu, Y.S.; Ubando, A.T.; Show, P.L.; Ong, H.C.; Chang, J.S.; Ho, S.H.; Culaba, A.B.; et al. Progress in Biomass Torrefaction: Principles, Applications and Challenges. Prog. Energy Combust. Sci. 2021, 82, 100887. [Google Scholar] [CrossRef]
- Louwes, A.C.; Basile, L.; Yukananto, R.; Bhagwandas, J.C.; Bramer, E.A.; Brem, G. Torrefied Biomass as Feed for Fast Pyrolysis: An Experimental Study and Chain Analysis. Biomass Bioenergy 2017, 105, 116–126. [Google Scholar] [CrossRef]
- Yue, Y.; Singh, H.; Singh, B.; Mani, S. Torrefaction of Sorghum Biomass to Improve Fuel Properties. Bioresour. Technol. 2017, 232, 372–379. [Google Scholar] [CrossRef]
- Zheng, A.; Zhao, Z.; Chang, S.; Huang, Z.; He, F.; Li, H. Effect of Torrefaction Temperature on Product Distribution from Two-Staged Pyrolysis of Biomass. Energy Fuels 2012, 26, 2968–2974. [Google Scholar] [CrossRef]
- Nepal, R.; Kim, H.J.; Poudel, J.; Oh, S.C. A Study on Torrefaction of Spent Coffee Ground to Improve Its Fuel Properties. Fuel 2022, 318, 123643. [Google Scholar] [CrossRef]
- Dai, L.; Wang, Y.; Liu, Y.; Ruan, R.; He, C.; Yu, Z.; Jiang, L.; Zeng, Z.; Tian, X. Integrated Process of Lignocellulosic Biomass Torrefaction and Pyrolysis for Upgrading Bio-Oil Production: A State-of-the-Art Review. Renew. Sustain. Energy Rev. 2019, 107, 20–36. [Google Scholar] [CrossRef]
- Qian, X.; Lee, S.; Soto, A.M.; Chen, G. Regression Model to Predict the Higher Heating Value of Poultry Waste from Proximate Analysis. Resources 2018, 7, 39. [Google Scholar] [CrossRef]
- Qian, X.; Xue, J.; Yang, Y.; Lee, S.W. Thermal Properties and Combustion-related Problems Prediction of Agricultural Crop Residues. Energies 2021, 14, 4619. [Google Scholar] [CrossRef]
- Kan, T.; Strezov, V.; Evans, T.J. Lignocellulosic Biomass Pyrolysis: A Review of Product Properties and Effects of Pyrolysis Parameters. Renew. Sustain. Energy Rev. 2016, 57, 1126–1140. [Google Scholar] [CrossRef]
- TAPPI. TAPPI/ANSI Test Method T 401 Om-15-Fiber Analysis of Paper and Paperboard; TAPPI: Atlanta, GA, USA, 2018; ISBN 7704461400. [Google Scholar]
- López-González, D.; Fernandez-Lopez, M.; Valverde, J.L.; Sanchez-Silva, L. Thermogravimetric-Mass Spectrometric Analysis on Combustion of Lignocellulosic Biomass. Bioresour. Technol. 2013, 143, 562–574. [Google Scholar] [CrossRef]
- Miranda, I.; Simões, R.; Medeiros, B.; Nampoothiri, K.M.; Sukumaran, R.K.; Rajan, D.; Pereira, H.; Ferreira-Dias, S. Valorization of Lignocellulosic Residues from the Olive Oil Industry by Production of Lignin, Glucose and Functional Sugars. Bioresour. Technol. 2019, 292, 121936. [Google Scholar] [CrossRef]
- Chen, D.; Cen, K.; Chen, F.; Zhang, Y. Solar Pyrolysis of Cotton Stalks: Combined Effects of Torrefaction Pretreatment and HZSM-5 Zeolite on the Bio-Fuels Upgradation. Energy Convers. Manag. 2022, 261, 115640. [Google Scholar] [CrossRef]
- Alghamdi, S.S.; Khan, M.A.; El-Harty, E.H.; Ammar, M.H.; Farooq, M.; Migdadi, H.M. Comparative Phytochemical Profiling of Different Soybean (Glycine max (L.) Merr) Genotypes Using GC–MS. Saudi J. Biol. Sci. 2018, 25, 15–21. [Google Scholar] [CrossRef]
- Alcazar-Ruiz, A.; Garcia-Carpintero, R.; Dorado, F.; Sanchez-Silva, L. Valorization of Olive Oil Industry Subproducts: Ash and Olive Pomace Fast Pyrolysis. Food Bioprod. Process. 2021, 125, 37–45. [Google Scholar] [CrossRef]
- Huang, M.; Ma, Z.; Zhou, B.; Yang, Y.; Chen, D. Enhancement of the Production of Bio-Aromatics from Renewable Lignin by Combined Approach of Torrefaction Deoxygenation Pretreatment and Shape Selective Catalytic Fast Pyrolysis Using Metal Modified Zeolites. Bioresour. Technol. 2020, 301, 122754. [Google Scholar] [CrossRef] [PubMed]
- Huang, M.; Xu, J.; Ma, Z.; Yang, Y.; Zhou, B.; Wu, C.; Ye, J.; Zhao, C.; Liu, X.; Chen, D.; et al. Bio-BTX Production from the Shape Selective Catalytic Fast Pyrolysis of Lignin Using Different Zeolite Catalysts: Relevance between the Chemical Structure and the Yield of Bio-BTX. Fuel Process. Technol. 2021, 216, 106792. [Google Scholar] [CrossRef]
- Torres, D.; Pérez-Rodríguez, S.; Cesari, L.; Castel, C.; Favre, E.; Fierro, V.; Celzard, A. Review on the Preparation of Carbon Membranes Derived from Phenolic Resins for Gas Separation: From Petrochemical Precursors to Bioresources. Carbon 2021, 183, 12–33. [Google Scholar] [CrossRef]
- Huang, C.; Zhan, Y.; Cheng, J.; Wang, J.; Meng, X.; Zhou, X.; Fang, G.; Ragauskas, A.J. Facilitating Enzymatic Hydrolysis with a Novel Guaiacol-Based Deep Eutectic Solvent Pretreatment. Bioresour. Technol. 2021, 326, 124696. [Google Scholar] [CrossRef]
- Curmi, H.; Chirat, C.; Roubaud, A.; Peyrot, M.; Haarlemmer, G.; Lachenal, D. Extraction of Phenolic Compounds from Sulfur-Free Black Liquor Thanks to Hydrothermal Treatment before the Production of Syngas for Biofuels. J. Supercrit. Fluids 2022, 181, 105489. [Google Scholar] [CrossRef]
- Oh, S.J.; Choi, G.G.; Kim, J.S. Production of Acetic Acid-Rich Bio-Oils from the Fast Pyrolysis of Biomass and Synthesis of Calcium Magnesium Acetate Deicer. J. Anal. Appl. Pyrolysis 2017, 124, 122–129. [Google Scholar] [CrossRef]
- Chagas, B.M.E.; Dorado, C.; Serapiglia, M.J.; Mullen, C.A.; Boateng, A.A.; Melo, M.A.F.; Ataíde, C.H. Catalytic Pyrolysis-GC/MS of Spirulina: Evaluation of a Highly Proteinaceous Biomass Source for Production of Fuels and Chemicals. Fuel 2016, 179, 124–134. [Google Scholar] [CrossRef]
- Schmeltz, I.; Schlotzhauer, W.S.; Higman, E.B. Characteristic Products from Pyrolysis of Nitrogenous Organic Substances. Beiträge Zur Tab. Int. Contrib. Tob. Nicotine Res. 1972, 6, 134–138. [Google Scholar] [CrossRef][Green Version]
- Valizadeh, S.; Oh, D.; Jae, J.; Pyo, S.; Jang, H.; Yim, H.; Rhee, G.H.; Khan, M.A.; Jeon, B.H.; Lin, K.Y.A.; et al. Effect of Torrefaction and Fractional Condensation on the Quality of Bio-Oil from Biomass Pyrolysis for Fuel Applications. Fuel 2022, 312, 122959. [Google Scholar] [CrossRef]
- Alcazar-Ruiz, A.; Ortiz, M.L.; Sanchez-Silva, L.; Dorado, F. Catalytic Effect of Alkali and Alkaline Earth Metals on Fast Pyrolysis Pre-Treatment of Agricultural Waste. Biofuels Bioprod. Biorefining 2021, 15, 1473–1484. [Google Scholar] [CrossRef]
- Fermoso, J.; Hernando, H.; Jana, P.; Moreno, I.; Přech, J.; Ochoa-Hernández, C.; Pizarro, P.; Coronado, J.M.; Čejka, J.; Serrano, D.P. Lamellar and Pillared ZSM-5 Zeolites Modified with MgO and ZnO for Catalytic Fast-Pyrolysis of Eucalyptus Woodchips. Catal. Today 2016, 277, 171–181. [Google Scholar] [CrossRef]
- Zhou, X.; Nolte, M.W.; Shanks, B.H.; Broadbelt, L.J. Experimental and Mechanistic Modeling of Fast Pyrolysis of Neat Glucose-Based Carbohydrates. 2. Validation and Evaluation of the Mechanistic Model. Ind. Eng. Chem. Res. 2014, 53, 13290–13301. [Google Scholar] [CrossRef]







| Sample | Proximate Analysis (wt.%) *daf | Ultimate Analysis (wt.%) *daf | HHV (MJ/kg) | ||||||
|---|---|---|---|---|---|---|---|---|---|
| Moisture | Ash | Volatile Matter | Fixed Carbon *diff | C | H | N | O *diff | ||
| OP | 2.68 | 4.44 | 91.87 | 3.69 | 53.2 | 6.83 | 1.54 | 38.28 | 22.56 |
| AS | 5.13 | 2.22 | 92.01 | 5.77 | 45.86 | 5.88 | 0.35 | 47.92 | 17.93 |
| Sample | Chemical composition (wt.%) *db | ||||||||
| Lignin | Hemicellulose | Cellulose | Extractives | ||||||
| OP | 24.1 | 27.6 | - | 28.9 | |||||
| AS | 13.4 | 28.1 | 39.7 | - | |||||
| Sample | Mineral content (wt.%) | ||||||||
| K | Ca | Na | Mg | ||||||
| OP | 1.46 | 0.50 | 0.10 | 0.13 | |||||
| AS | 0.87 | 0.55 | 0.12 | 0.06 | |||||
| Sample | Peak Area (%) | ||||
|---|---|---|---|---|---|
| Total Phenols | P-Type | C-Type | G-Type | S-Type | |
| OP-500 | 33.8 | 1.1 | 2.6 | 16.3 | 10.2 |
| OP-280-20 | 30.9 | 0.7 | 1.1 | 17.5 | 10.0 |
| OP-280-120 | 36.3 | 2.7 | 3.3 | 17.0 | 9.8 |
| OP-280-240 | 38.9 | 0.0 | 3.7 | 18.4 | 11.6 |
| OP-280-360 | 38.5 | 2.9 | 3.9 | 16.3 | 10.6 |
| OP-300-20 | 23.6 | 0.8 | 0.3 | 14.8 | 6.9 |
| OP-300-120 | 26.6 | 0.5 | 1.7 | 13.0 | 9.6 |
| OP-300-240 | 39.4 | 0.9 | 3.6 | 19.3 | 12.4 |
| OP-300-360 | 40.8 | 1.2 | 3.4 | 21.5 | 12.0 |
| OP-320-20 | 30.7 | 0.5 | 0.5 | 17.9 | 11.2 |
| OP-320-120 | 35.3 | 1.8 | 2.4 | 17.1 | 10.8 |
| OP-320-240 | 47.4 | 0.6 | 3.5 | 19.7 | 14.9 |
| OP-320-360 | 42.0 | 0.0 | 4.2 | 22.6 | 12.0 |
| Sample | Peak Area (%) | ||||
|---|---|---|---|---|---|
| Total Phenols | P-Type | C-Type | G-Type | S-Type | |
| AS-500 | 50.4 | 3.7 | 0.0 | 18.3 | 27.2 |
| AS-280-20 | 38.1 | 0.0 | 0.0 | 22.2 | 15.9 |
| AS-280-120 | 36.3 | 0.0 | 0.0 | 12.9 | 22.8 |
| AS-280-240 | 53.3 | 0.0 | 0.0 | 24.4 | 19.8 |
| AS-280-360 | 44.9 | 0.0 | 0.0 | 19.8 | 23.3 |
| AS-300-20 | 35.7 | 0.0 | 0.0 | 17.2 | 18.5 |
| AS-300-120 | 40.6 | 0.0 | 0.0 | 20.7 | 18.1 |
| AS-300-240 | 39.6 | 0.0 | 0.0 | 18.5 | 16.9 |
| AS-300-360 | 37.4 | 0.0 | 0.0 | 16.9 | 18.3 |
| AS-320-20 | 34.2 | 0.0 | 0.0 | 11.4 | 19.7 |
| AS-320-120 | 32.1 | 2.0 | 0.0 | 14.9 | 13.7 |
| AS-320-240 | 33.1 | 3.4 | 0.0 | 10.6 | 17.4 |
| AS-320-360 | 35.3 | 3.2 | 0.0 | 17.4 | 12.5 |
Publisher’s Note: MDPI stays neutral with regard to jurisdictional claims in published maps and institutional affiliations. |
© 2022 by the authors. Licensee MDPI, Basel, Switzerland. This article is an open access article distributed under the terms and conditions of the Creative Commons Attribution (CC BY) license (https://creativecommons.org/licenses/by/4.0/).
Share and Cite
Alcazar-Ruiz, A.; Dorado, F.; Sanchez-Silva, L. Influence of Temperature and Residence Time on Torrefaction Coupled to Fast Pyrolysis for Valorizing Agricultural Waste. Energies 2022, 15, 7914. https://doi.org/10.3390/en15217914
Alcazar-Ruiz A, Dorado F, Sanchez-Silva L. Influence of Temperature and Residence Time on Torrefaction Coupled to Fast Pyrolysis for Valorizing Agricultural Waste. Energies. 2022; 15(21):7914. https://doi.org/10.3390/en15217914
Chicago/Turabian StyleAlcazar-Ruiz, Angel, Fernando Dorado, and Luz Sanchez-Silva. 2022. "Influence of Temperature and Residence Time on Torrefaction Coupled to Fast Pyrolysis for Valorizing Agricultural Waste" Energies 15, no. 21: 7914. https://doi.org/10.3390/en15217914
APA StyleAlcazar-Ruiz, A., Dorado, F., & Sanchez-Silva, L. (2022). Influence of Temperature and Residence Time on Torrefaction Coupled to Fast Pyrolysis for Valorizing Agricultural Waste. Energies, 15(21), 7914. https://doi.org/10.3390/en15217914

