Hybrid Inverter and Control Strategy for Enabling the PV Generation Dispatch Using Extra-Low-Voltage Batteries
Abstract
1. Introduction
2. Proposed Hybrid Inverter and Control Structure
2.1. DC Bus Modeling and Control
2.1.1. DC-AC Converter
2.1.2. Bidirectional DC-DC Converter
2.2. Bidirectional DC-DC Converter Modeling and Control
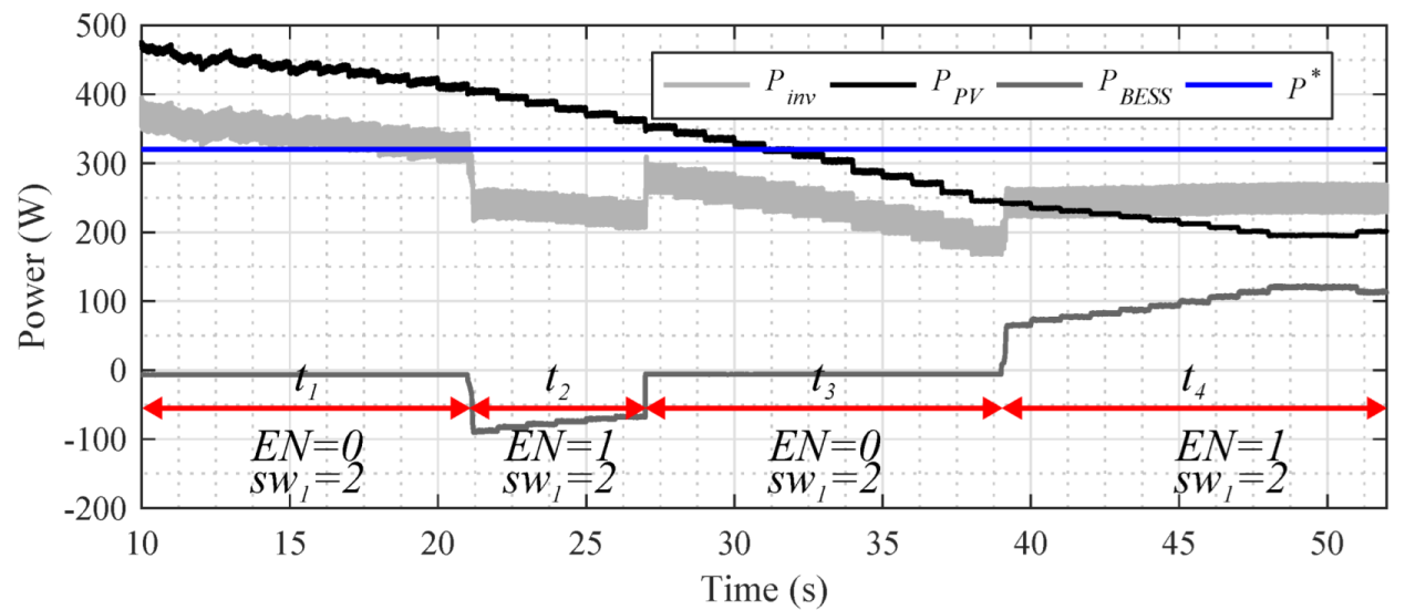
3. Experimental Results
3.1. Disturbance Rejection
3.2. Power Tracking
3.3. Output Power Step Response
3.4. Control Loop’s Influence on
4. Conclusions
Author Contributions
Funding
Data Availability Statement
Conflicts of Interest
Appendix A
| Control System | Controller Abbreviation | Continuous-Time Transfer Function |
|---|---|---|
| Voltage controller | ||
| Low-pass filter | ||
| Current controller | ||
| Current controller | ||
| Disturbance rejection | ||
| Voltage controller |
| Parameter | Abbreviation | Value |
|---|---|---|
| Grid phase voltage | 127 V | |
| Grid nominal frequency | 60 Hz | |
| Grid equivalent resistance | 0.4 | |
| Grid equivalent inductance | 1 mH | |
| DC-bus nominal voltage | 400 V | |
| DC-bus capacitor | F | |
| DC-bus nominal load | ||
| DC-AC conv. filter inductors | H–155 H | |
| DC-AC conv. equivalent resistances | –77 | |
| DC-AC conv. filter capacitor | 4.7 F | |
| DC-AC conv. damping resistor | 2 | |
| DC-DC conv. filter inductor | 1.3 mH | |
| DC-DC conv. filter capacitor | 6.8 F | |
| DC-DC conv. equivalent resistance | m | |
| DC-DC conv. equivalent resistance | m | |
| higher threshold | 0.15 A | |
| lower threshold | 0.10 A | |
| Nominal battery voltage | 48 V | |
| Battery series resistance | 0.06 | |
| Bid. DC-DC conv filter inductors | – | H–365 H |
| Bid. DC-DC conv. filter capacitors | – | F–10 F |
| Bid. DC-DC conv. filter resistors | – | 1 –130 m |
| Bid. DC-DC conv. filter resistors | – | 12 m–80 m |
| Bid. DC-DC conv. transformer ratio | 1:5 | |
| Sampling frequency for all conv. | 20 kHz | |
| Switching frequency for all conv. | 20 kHz | |
| System nominal power | P | 500 W |
References
- Bloomberg NEF. New Energy Outlook 2021—Executive Summary. 2021. Available online: https://about.bnef.com/new-energy-outlook/ (accessed on 27 September 2022).
- Ku, T.T.; Li, C.S. Implementation of Battery Energy Storage System for an Island Microgrid with High PV Penetration. IEEE Trans. Ind. Appl. 2021, 57, 3416–3424. [Google Scholar] [CrossRef]
- Datta, U.; Kalam, A.; Shi, J. Battery Energy Storage System Control for Mitigating PV Penetration Impact on Primary Frequency Control and State-of-Charge Recovery. IEEE Trans. Sustain. Energy 2020, 11, 746–757. [Google Scholar] [CrossRef]
- Alhasnawi, B.N.; Jasim, B.H.; Issa, W.; Esteban, M.D. A Novel Cooperative Controller for Inverters of Smart Hybrid AC/DC Microgrids. Appl. Sci. 2020, 10, 6120. [Google Scholar] [CrossRef]
- Alhasnawi, B.N.; Jasim, B.H.; Sedhom, B.E.; Guerrero, J.M. Consensus Algorithm-based Coalition Game Theory for Demand Management Scheme in Smart Microgrid. Sustain. Cities Soc. 2021, 74, 103248. [Google Scholar] [CrossRef]
- Divakaran, A.M.; Hamilton, D.; Manjunatha, K.N.; Minakshi, M. Design, Development and Thermal Analysis of Reusable Li-Ion Battery Module for Future Mobile and Stationary Applications. Energies 2020, 13, 1477. [Google Scholar] [CrossRef]
- Divakaran, A.M.; Minakshi, M.; Bahri, P.A.; Paul, S.; Kumari, P.; Divakaran, A.M.; Manjunatha, K.N. Rational design on materials for developing next generation lithium-ion secondary battery. Prog. Solid State Chem. 2021, 62, 100298. [Google Scholar] [CrossRef]
- Alimardani, M.; Narimani, M. A New Energy Storage System Configuration to Extend Li-Ion Battery Lifetime for a Household. IEEE Can. J. Electr. Comput. Eng. 2021, 44, 171–178. [Google Scholar] [CrossRef]
- Saini, V.K.; Seervi, A.; Kumar, R.; A, S.; Mahmud, M.A.; Al-Sumaiti, A.S. Cloud Energy Storage Based Embedded Battery Technology Architecture for Residential Users Cost Minimization. IEEE Access 2022, 10, 43685–43702. [Google Scholar] [CrossRef]
- Shin, H.; Hur, J. Optimal Energy Storage Sizing With Battery Augmentation for Renewable-Plus-Storage Power Plants. IEEE Access 2020, 8, 187730–187743. [Google Scholar] [CrossRef]
- Gasque, M.; González-Altozano, P.; Gimeno-Sales, F.J.; Orts-Grau, S.; Balbastre-Peralta, I.; Martínez-Navarro, G.; Segui-Chilet, S. Energy Efficiency Optimization in Battery-Based Photovoltaic Pumping Schemes. IEEE Access 2022, 10, 54064–54078. [Google Scholar] [CrossRef]
- Brenna, M.; Foiadelli, F.; Longo, M.; Zaninelli, D. Energy Storage Control for Dispatching Photovoltaic Power. IEEE Trans. Smart Grid 2018, 9, 2419–2428. [Google Scholar] [CrossRef]
- Conte, F.; D’Agostino, F.; Pongiglione, P.; Saviozzi, M.; Silvestro, F. Mixed-Integer Algorithm for Optimal Dispatch of Integrated PV-Storage Systems. IEEE Trans. Ind. Appl. 2019, 55, 238–247. [Google Scholar] [CrossRef]
- Mahmud, K.; Hossain, M.J.; Town, G.E. Peak-Load Reduction by Coordinated Response of Photovoltaics, Battery Storage, and Electric Vehicles. IEEE Access 2018, 6, 29353–29365. [Google Scholar] [CrossRef]
- Papari, B.; Edrington, C.S.; Bhattacharya, I.; Radman, G. Effective Energy Management of Hybrid AC-DC Microgrids With Storage Devices. IEEE Trans. Smart Grid 2019, 10, 193–203. [Google Scholar] [CrossRef]
- Carvalho, E.L.; Bellinaso, L.V.; Cardoso, R.; Michels, L. Distributed Price-Based Power Management for Multi-buses DC Nanogrids EEMS. IEEE J. Emerg. Sel. Top. Power Electron. 2022, 10, 5509–5521. [Google Scholar] [CrossRef]
- Bellinaso, L.V.; Carvalho, E.L.; Cardoso, R.; Michels, L. Price-Response Matrices Design Methodology for Electrical Energy Management Systems Based on DC Bus Signalling. Energies 2021, 14, 1787. [Google Scholar] [CrossRef]
- Kim, H.J.; Shin, E.S.; Lee, Y.S.; Kim, J.H.; Han, B.M. Smooth Operation Transition Scheme for Stand-Alone Power System With EG and BESS-PV Panels. IEEE Trans. Smart Grid 2017, 8, 2042–2044. [Google Scholar] [CrossRef]
- Poulek, V.; Šafránková, J.; Černá, L.; Libra, M.; Beránek, V.; Finsterle, T.; Hrzina, P. PV Panel and PV Inverter Damages Caused by Combination of Edge Delamination, Water Penetration, and High String Voltage in Moderate Climate. IEEE J. Photovolt. 2021, 11, 561–565. [Google Scholar] [CrossRef]
- Son, Y.; Mukherjee, S.; Mallik, R.; Majmunovi’c, B.; Dutta, S.; Johnson, B.; Maksimović, D.; Seo, G.S. Levelized Cost of Energy-Oriented Modular String Inverter Design Optimization for PV Generation System Using Geometric Programming. IEEE Access 2022, 10, 27561–27578. [Google Scholar] [CrossRef]
- Carvalho, E.L.; Meneghetti, L.H.; Carati, E.G.; da Costa, J.P.; de Oliveira Stein, C.M.; Cardoso, R. Asymmetrical Pulse-Width Modulation Strategy for Current-Fed Dual Active Bridge Bidirectional Isolated Converter Applied to Energy Storage Systems. Energies 2020, 13, 3475. [Google Scholar] [CrossRef]
- Carvalho, E.L.; Carati, E.G.; da Costa, J.P.; de Oliveira Stein, C.M.; Cardoso, R. Analysis, Design and Implementation of an Isolated Full-Bridge Converter for Battery Charging. In Proceedings of the 2017 Brazilian Power Electronics Conference (COBEP), Juiz de Fora, Brazil, 19–22 November 2017; pp. 1–6. [Google Scholar]
- Carvalho, E.L.; Felipe, C.A.; Bellinaso, L.V.; Stein, C.M.d.O.; Cardoso, R.; Michels, L. Asymmetrical-PWM DAB Converter With Extended ZVS/ZCS Range and Reduced Circulating Current for ESS Applications. IEEE Trans. Power Electron. 2021, 36, 12990–13001. [Google Scholar] [CrossRef]
- IEEE Std 1361-2014 (Revision of IEEE Std 1361-2003); IEEE Guide for Selecting, Charging, Testing, and Evaluating Lead-Acid Batteries Used in Stand-Alone Photovoltaic (PV) Systems. IEEE Standards Association: Piscataway, NJ, USA, 2014; pp. 1–39. [CrossRef]
- Pires, V.F.; Cordeiro, A.; Foito, D.; Silva, J.F. High Step-Up DC-DC Converter for Fuel Cell Vehicles Based on Merged Quadratic Boost-Ćuk. IEEE Trans. Veh. Technol. 2019, 68, 7521–7530. [Google Scholar] [CrossRef]
- Ravi, D.; Reddy, B.M.; Shimi, S.L.; Samuel, P. Bidirectional DC to DC Converters: An Overview of Various Topologies, Switching Schemes and Control Techniques. Int. J. Eng. Technol. 2018, 7, 360–365. [Google Scholar] [CrossRef]
- Wu, W.; Wang, H.; Liu, Y.; Huang, M.; Blaabjerg, F. A Dual-Buck-Boost AC/DC Converter for DC Nanogrid With Three Terminal Outputs. IEEE Trans. Ind. Electron. 2017, 64, 295–299. [Google Scholar] [CrossRef]
- Zhu, H.; Zhang, D.; Zhang, B.; Zhou, Z. A Nonisolated Three-Port DC–DC Converter and Three-Domain Control Method for PV-Battery Power Systems. IEEE Trans. Ind. Electron. 2015, 62, 4937–4947. [Google Scholar] [CrossRef]
- Al-Soeidat, M.R.; Aljarajreh, H.; Khawaldeh, H.A.; Lu, D.D.C.; Zhu, J. A Reconfigurable Three-Port DC–DC Converter for Integrated PV-Battery System. IEEE J. Emerg. Sel. Top. Power Electron. 2020, 8, 3423–3433. [Google Scholar] [CrossRef]
- Moury, S.; Lam, J. A Soft-Switched Power Module With Integrated Battery Interface for Photovoltaic-Battery Power Architecture. IEEE J. Emerg. Sel. Top. Power Electron. 2020, 8, 3090–3110. [Google Scholar] [CrossRef]
- Zdiri, M.A.; Guesmi, T.; Alshammari, B.M.; Alqunun, K.; Almalaq, A.; Salem, F.B.; Hadj Abdallah, H.; Toumi, A. Design and Analysis of Sliding-Mode Artificial Neural Network Control Strategy for Hybrid PV-Battery-Supercapacitor System. Energies 2022, 15, 4099. [Google Scholar] [CrossRef]
- Marei, M.I.; Alajmi, B.N.; Abdelsalam, I.; Ahmed, N.A. An Integrated Topology of Three-Port DC-DC Converter for PV-Battery Power Systems. IEEE Open J. Ind. Electron. Soc. 2022, 3, 409–419. [Google Scholar] [CrossRef]
- Naqvi, S.B.Q.; Singh, B. A PV-Battery System Resilient to Weak Grid Conditions With Regulated Power Injection and Grid Supportive Features. IEEE Trans. Sustain. Energy 2022, 13, 1408–1419. [Google Scholar] [CrossRef]
- Liu, B.; Wang, L.; Song, D.; Su, M.; Yang, J.; He, D.; Chen, Z.; Song, S. Input Current Ripple and Grid Current Harmonics Restraint Approach for Single-Phase Inverter Under Battery Input Condition in Residential Photovoltaic/Battery Systems. IEEE Trans. Sustain. Energy 2018, 9, 1957–1968. [Google Scholar] [CrossRef]
- Castilla, M.; Miret, J.; Matas, J.; Garcia de Vicuna, L.; Guerrero, J.M. Linear Current Control Scheme With Series Resonant Harmonic Compensator for Single-Phase Grid-Connected Photovoltaic Inverters. IEEE Trans. Ind. Electron. 2008, 55, 2724–2733. [Google Scholar] [CrossRef]
- Castilla, M.; Miret, J.; Matas, J.; Garcia de Vicuna, L.; Guerrero, J.M. Control Design Guidelines for Single-Phase Grid-Connected Photovoltaic Inverters With Damped Resonant Harmonic Compensators. IEEE Trans. Ind. Electron. 2009, 56, 4492–4501. [Google Scholar] [CrossRef]
- Teodorescu, R.; Liserre, M.; Rodrígues, P. Grid Converters for Photovoltaic and Photovoltaic and Wind Power Systems; John Wiley & Sons: Hoboken, NJ, USA, 2011. [Google Scholar]
- Tran, V.T.; Muttaqi, K.M.; Sutanto, D. A Robust Power Management Strategy With Multi-Mode Control Features for an Integrated PV and Energy Storage System to Take the Advantage of ToU Electricity Pricing. IEEE Trans. Ind. Appl. 2019, 55, 2110–2120. [Google Scholar] [CrossRef]
- Tran, V.T.; Islam, M.R.; Sutanto, D.; Muttaqi, K.M. Mitigation of Solar PV Intermittency Using Ramp-Rate Control of Energy Buffer Unit. IEEE Trans. Energy Convers. 2019, 34, 435–445. [Google Scholar] [CrossRef]
- Alam, M.J.E.; Muttaqi, K.M.; Sutanto, D. Battery Energy Storage to Mitigate Rapid Voltage/Power Fluctuations in Power Grids Due to Fast Variations of Solar/Wind Outputs. IEEE Access 2021, 9, 12191–12202. [Google Scholar] [CrossRef]
- Valderrama, G.E.; Guzman, G.V.; Pool-Mazń, E.I.; Martinez-Rodriguez, P.R.; Lopez-Sanchez, M.J.; niga, J.M.S.Z. A Single-Phase Asymmetrical T-Type Five-Level Transformerless PV Inverter. IEEE J. Emerg. Sel. Top. Power Electron. 2018, 6, 140–150. [Google Scholar] [CrossRef]
- Yamaguchi, D.; Fujita, H. A New PV Converter for a High-Leg Delta Transformer Using Cooperative Control of Boost Converters and Inverters. IEEE Trans. Power Electron. 2018, 33, 9542–9550. [Google Scholar] [CrossRef]
- Roy, J.; Xia, Y.; Ayyanar, R. Half-Bridge Voltage Swing Inverter With Active Power Decoupling for Single-Phase PV Systems Supporting Wide Power Factor Range. IEEE Trans. Power Electron. 2019, 34, 7450–7461. [Google Scholar] [CrossRef]
- Das, M.; Pal, M.; Agarwal, V. Novel High Gain, High Efficiency DC-DC Converter Suitable for Solar PV Module Integration With Three-Phase Grid Tied Inverters. IEEE J. Photovolt. 2019, 9, 528–537. [Google Scholar] [CrossRef]
- Khodabandeh, M.; Afshari, E.; Amirabadi, M. A Single-Stage Soft-Switching High-Frequency AC-Link PV Inverter: Design, Analysis, and Evaluation of Si-Based and SiC-Based Prototypes. IEEE Trans. Power Electron. 2019, 34, 2312–2326. [Google Scholar] [CrossRef]
- Vettuparambil, A.; Chatterjee, K.; Fernandes, B.G. A Modular Multiport Converter to Integrate Multiple Solar Photo-Voltaic (PV) Modules With a Battery Storage System and a DC Microgrid. IEEE Trans. Ind. Electron. 2022, 69, 4869–4878. [Google Scholar] [CrossRef]
- Sera, D.; Mathe, L.; Kerekes, T.; Spataru, S.V.; Teodorescu, R. On the Perturb-and-Observe and Incremental Conductance MPPT Methods for PV Systems. IEEE J. Photovolt. 2013, 3, 1070–1078. [Google Scholar] [CrossRef]
- Liston, R.A.; Carati, E.G.; Cardoso, R.; da Costa, J.P.; de Oliveira Stein, C.M. A Robust Design of Active Damping With a Current Estimator for Single-Phase Grid-Tied Inverters. IEEE Trans. Ind. Appl. 2018, 54, 4672–4681. [Google Scholar] [CrossRef]
- Teodorescu, R.; Blaabjerg, F.; Liserre, M.; Loh, P.C. Proportional-Resonant Controllers and Filters for Grid-Connected Voltage-Source Converters. IEE Proc. Electr. Power Appl. 2006, 153, 750–762. [Google Scholar] [CrossRef]
- Villalva, M.G.; Espindola, M.F.; de Siqueira, T.G.; Ruppert, E. Modeling and Control of a Three-Phase Isolated Grid-Connected Converter for Photovoltaic Applications. Rev. Control. Autom. 2011, 22, 215–228. [Google Scholar] [CrossRef]




















Publisher’s Note: MDPI stays neutral with regard to jurisdictional claims in published maps and institutional affiliations. |
© 2022 by the authors. Licensee MDPI, Basel, Switzerland. This article is an open access article distributed under the terms and conditions of the Creative Commons Attribution (CC BY) license (https://creativecommons.org/licenses/by/4.0/).
Share and Cite
Meneghetti, L.H.; Carvalho, E.L.; Carati, E.G.; Denardin, G.W.; da Costa, J.P.; de Oliveira Stein, C.M.; Cardoso, R. Hybrid Inverter and Control Strategy for Enabling the PV Generation Dispatch Using Extra-Low-Voltage Batteries. Energies 2022, 15, 7539. https://doi.org/10.3390/en15207539
Meneghetti LH, Carvalho EL, Carati EG, Denardin GW, da Costa JP, de Oliveira Stein CM, Cardoso R. Hybrid Inverter and Control Strategy for Enabling the PV Generation Dispatch Using Extra-Low-Voltage Batteries. Energies. 2022; 15(20):7539. https://doi.org/10.3390/en15207539
Chicago/Turabian StyleMeneghetti, Luiz Henrique, Edivan Laercio Carvalho, Emerson Giovani Carati, Gustavo Weber Denardin, Jean Patric da Costa, Carlos Marcelo de Oliveira Stein, and Rafael Cardoso. 2022. "Hybrid Inverter and Control Strategy for Enabling the PV Generation Dispatch Using Extra-Low-Voltage Batteries" Energies 15, no. 20: 7539. https://doi.org/10.3390/en15207539
APA StyleMeneghetti, L. H., Carvalho, E. L., Carati, E. G., Denardin, G. W., da Costa, J. P., de Oliveira Stein, C. M., & Cardoso, R. (2022). Hybrid Inverter and Control Strategy for Enabling the PV Generation Dispatch Using Extra-Low-Voltage Batteries. Energies, 15(20), 7539. https://doi.org/10.3390/en15207539

