Next Article in Journal
Effect of Multistage Circulation Control on Blade Aerodynamic Performance
Next Article in Special Issue
Exergy Analysis of a Shell and Tube Energy Storage Unit with Different Inclination Angles
Previous Article in Journal
Heat Transfer Characteristics of Cold Water Phase-Change Heat Exchangers under Active Icing Conditions
Previous Article in Special Issue
Numerical Investigation of Heat Transfer Performance and Structural Optimization of Fan-Shaped Finned Tube Heat Exchanger
 
 
Font Type:
Arial Georgia Verdana
Font Size:
Aa Aa Aa
Line Spacing:
Column Width:
Background:
Article

Visualizing Experimental Study of the Effect of Inclination Angle on the Melting Performance for an Energy Storage Tank

1
College of Chemistry and Chemical Engineering, Northeast Petroleum University, Daqing 163318, China
2
School of Urban Construction, Wuhan University of Science and Technology, Wuhan 430081, China
*
Author to whom correspondence should be addressed.
Energies 2022, 15(19), 7394; https://doi.org/10.3390/en15197394
Submission received: 11 September 2022 / Revised: 29 September 2022 / Accepted: 4 October 2022 / Published: 9 October 2022
(This article belongs to the Special Issue Application of Renewable Energy in Buildings)

Abstract

:
Solar energy coupling with energy storage is a popular technology in the energy field. How to achieve the high-efficiency application of solar energy is very important. Energy storage technology is the key issue in this aspect. Latent heat storage is a more efficient energy storage. In this paper, a visualization experimental platform of a latent heat storage system has been designed, and some performance data have been obtained. Hot water has been used as the heat transfer fluid, and paraffin wax has been used as the phase change material. The inclination angle of the tank is varied from the horizontal direction (0°) to the vertical direction (90°) by a step of 30°. The melting performance has been studied for three cases with inlet water temperature of 356 K, 361 K, and 366 K. The result shows that the inclination angle of the tank has a great influence on the melting process of the phase change material, and the temperature distribution of the material is obviously different. The result also shows that the testing point temperature (for testing point 1) varied from 341.31 K to 342.18 K when the inclination angle was 30° and 90°, respectively. However, the temperature of testing point 4 varied from 321.76 K to 335.03 K when the inclination angle was 30° and 90°, respectively. The results of this paper can provide a reference for the future pipe design and storage efficiency of latent heat storage systems.

1. Introduction

As we know, solar energy is a very important new energy which is both clean and renewable [1]. The high-efficiency utilization of solar energy can solve environmental pollution and energy shortage issues, but solar energy is also characterized by low energy-density and period [2]. Therefore, the storage energy of solar energy is a key research topic in this field [3]. There are three contributions in the storage energy aspect: sensible heat storage, latent heat storage, and thermochemical storage [4]. Among them, the latent heat storage method uses phase change material as the carrier [5]. Because of its advantages of high energy storage density and safety, it is the most widely used heat storage method [6].
In the latent heat storage system, the phase change material and storage tank are the important components [7]. The most widely used storage tank structure is the shell-and-tube structure [8]. Shell-and-tube heat storage tanks can generally be divided into vertical and horizontal structures [9]. Experimental studies [10] and numerical simulations [11] have been carried out in this field. However, the effect of different inclination angles on the heat transfer performance is limited. Khobragade et al. [12] have investigated the impact of inclination on the thermal performance of latent heat storage systems based on a phase change material of lauric acid. The inclination angle of the system changes from 0° to 30°, 60°, and 90°. The result shows that the maximum energy stored obtained is 26.2% higher than that of the vertical position. M. Maghrabie et al. [13] have finished an experimental study on a shell and helically coiled tube heat exchanger and inclination angles of 0°, 30°, 60°, and 90°. M. Sorour et al. [14] have studied three PCM annulus thicknesses of 7, 11.28, and 14.5 mm with seven inclination angles of 0°, 15°, 30°, 45°, 60°, 75°, and 90°. Wang et al. [15] have designed an experimental platform to obtain the melting time and temperature distribution of the storage system. The results show that the effective thermal conductivity of the flat heat pipe first decreases and then increases with the increment of the inclination angle under an inclination angle of 30–90°. Karami and Kamkari [16] have focused on the inclination angle of finned enclosures by numerical technology. Their results showed that the maximum melting time reduction compared to the unfinned vertical enclosure was 72%. Zeng et al. [17] have investigated the effect of the inclination angle on the melting process for a square cavity. N. Olimat et al. [18] have studied a phase change material with a melting temperature range of 181–194 °C for four configurations of 0°, 30°, 60°, and 90°. M.J. Hosseini et al. [19] have obtained experimental results with a Reynolds number of about 770. Paraffin RT35 was used as a phase change material, and the inclination angle ranged from 0° to 90°. Their results clarified that, during melting, the rate of heat transfer of the horizontal system is more than that of vertical. However, the reverse is true for solidification. Huang et al. [20] have numerically studied the influence of the inclination angle on the melting behavior for a metal foam/PCM unit. Variji et al. [21] have analyzed the effect of porous media parameters and the inclination angle on the performance of a photovoltaic/PCM system. Y. Pahamli et al. [22] have investigated the effect of the PCM melting process in a shell-and-tube heat exchanger. In their paper, the characteristics of PCM were experimented upon, and the effect of the inclination angle was simulated. Their results reveal that the thermal conduction mechanism dominates the initial and final steps of melting, which slows down the process.
In the current research, a lot of research has been done on the effect of tilt angle on the melting performance of shell-and-tube regenerators. However, there are few experimental verifications. In this paper, a visualized phase change thermal storage experimental platform was built in Wuhan, China. The purpose was to obtain the melting behavior of the phase change material in the heat storage tube at different inclination angles. Paraffin has been chosen as the phase change material, while water has been used as the heat transfer fluid. In this experiment, liquid fraction, temperature distribution, and the melting process of the paraffin in the tank have been obtained.

2. Experimental Design and Process

2.1. Experiment Setup

In order to obtain the flow characteristics of the phase change material, a visual experiment platform was designed at Wuhan University of Science and Technology for a shell-tube tank, as shown in Figure 1. It can be seen from this figure that there are three inclination angles of 30°, 60°, and 90°.
In this experiment, a thermocouple with five testing points, shown in Figure 2, was used. Hot water was the heat transfer fluid (HTF). The inner tube was made of copper and had a diameter of 25 mm, the height of the tank was 350 mm, and the diameter was 250 mm. The entire heat storage tank was wrapped with thermal insulation material to reduce heat loss. The phase change material was paraffin, which filled the tank. The experimental setups were calibrated prior to the experiment, and the accuracy of the experimental setups were acceptable. In order to minimize random errors, all of the experimental values were averaged by repeating the experiment. The detailed experimental setup and accuracy are shown in Table 1.

2.2. Phase Change Material

In this experiment, paraffin wax was used as the phase change material. The thermophysical values of this material are shown in Table 2.

3. Results and Discussion

According to the experimental schedule, the entire phase of the experimental process was finished. In this experimental program, inlet water temperatures varied from 356 K to 361 K, and to 366 K, and the flow velocity of the water was 0.68 m/s. The inclination angle of the tank had three different values of 30°, 60°, and 90°. The system provided five testing points, and the aim was to obtain the temperature at 120 min, 240 min, 360 mm, 480 min, and 600 min.

3.1. Liquid Fraction of PCM

In order to obtain the different flow characteristics for paraffin wax in the tank, a camera, BCC2000, was used to observe the system at different times and inclination angles. Figure 3 shows the melting process of the tank with an inclination angle of 30° and inlet water temperatures of 356 K, 361 K, and 366 K. It can be seen from the figure that, when the inlet water temperature gradually increased, the melting rate gradually accelerated. All of the paraffin melted almost completely after 360 min at an inlet water temperature of 366 K, while at an inlet temperature of 356 K, there was still a small amount of paraffin squeezed at the bottom of the tank until the 600 min mark. This shows that the inlet water temperature had a great influence on the melting speed of the paraffin. A higher inlet water temperature can accelerate the melting rate of paraffin in the tank.
Figure 4 and Figure 5 show the melting process of the tank within inclination angles of 60° and 90° for inlet water temperatures of 356 K, 361 K, and 366 K. The trend of the melting process is similar with an inclination angle of 30°. However, the beginning melting stage mainly appeared in the upper area of the tank, and the melting velocity was slower than that at an inclination angle of 30°.

3.2. Temperature Distribution of PCM in the Tank

Figure 6, Figure 7 and Figure 8 show that temperature distribution inside the thermal storage tank at different inclination angles and temperatures based on an infrared thermal imager, Fluke Ti32. The color in the figure represents the corresponding temperature, and the darker the color, the lower the temperature. The times of the thermographic distribution photographs shown in the figure correspond to five moments: 120 min, 240 min, 360 min, 480 min, and 600 min, respectively. The temperature distribution of the internal paraffin in the heat storage tank at three inclination angles was considered when the inlet water temperature was 356 K, 361 K, and 366 K, respectively. It can be seen from these figures that the optimum temperature value was located in the middle of the tank. At the inclination angles of 30° and 60°, an obvious temperature fault can be seen in the early stage of melting, which caused the paraffin in the middle part to begin to melt, and some solid paraffin was suspended on the surface of the liquid paraffin above. This may be due to the inclination of the tank, which caused the uneven heating of the paraffin in the tank under the action of gravity. At the same time, the conductivity of the phase change material was poor, so there is a clear distinguishing color in the thermal imaging picture. With the prolongation of heating time, the melting range gradually expanded. Under the action of natural convection and buoyancy, the solid paraffin, suspended above, gradually melted fully. Then, the lower paraffin also began to slowly melt.
When the inclination angle was 90°, that is, when the tank was placed vertically, it can be seen that the melting trend of paraffin wax also proceeded from top to bottom. This occurred because the temperature at the inlet of the heat exchange tube was high, and the temperature difference between the heat exchange fluid and the phase change material was large, so the phase change material above began to melt first. After the phase change material on the top had melted, under the action of natural convection, the liquid phase change material moved upward, which strengthened the heat transfer in the upper part. The melting rate of the upper part was higher than that of the lower part, and the liquid phase region of the phase change material gradually spread from top to bottom with time. It can be seen that, compared with the photographs of the melting process, the temperature distribution was different; that is, the temperature was higher with the increasing inclination angle, but the melting process was slower with the increasing inclination angle.

3.3. Temperature Change of Five Testing Points

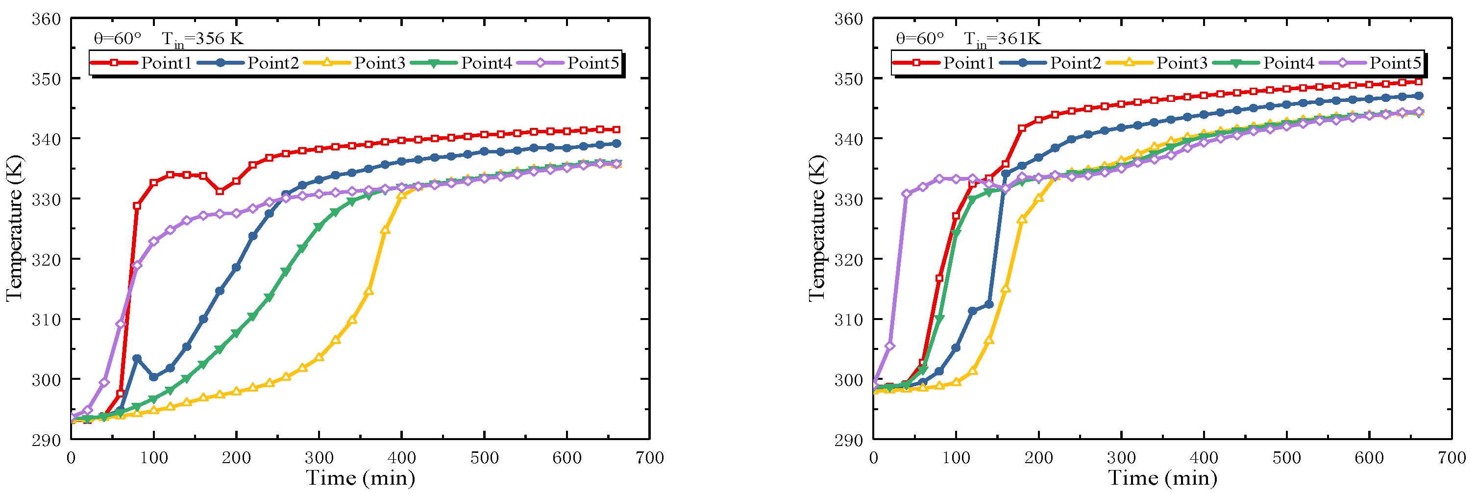
Figure 9, Figure 10 and Figure 11 show the temperature change over time at each measuring point during the melting process. It can be seen from the figure that the temperature of all of the measuring points showed a general trend of rising first, then tending to flatten, and then continuing to rise. Among them, measuring point 1 and measuring point 5 were the closest to the heat transfer tube, and the temperature rose the fastest under the action of the heat transfer tube wall radiation and took the lead in reaching the temperature required for the phase transition. Measuring points 3, 4, and 5 are on the same vertical plane. The farther the specific heat exchange tube is, the worse the heat transfer capacity and the lower the temperature of the phase change material. Therefore, there is obvious inhomogeneity in the melting process.
Figure 9 shows the temperature change curve of five testing points when the inclination angle was 30°. When the inlet water temperature was 356 K, all of the temperatures of the phase change material for the five testing points increased with the increase of time. Also, the increasing trend was different with other inlet water temperatures. For the case of 356 K, the increasing degree in the beginning stage was larger than that of the later stage, but it was different for the cases of 361 K and 366 K. For the case of 356 K, the largest temperatures of the phase change material were 342.18 K, 339.30 K, 336.59 K, 321.76 K, and 337.92 K for five testing points, respectively. For the case of 361 K, the largest temperatures of the phase change material were 350.13 K, 347.82 K, 344.32 K, 344.36 K, and 344.03 K for the five testing points, respectively. For the case of 366 K, the largest temperatures of the phase change material were 351.64 K, 348.97 K, 347.72 K, 346.96 K, and 347.51 K for the five testing points, respectively. There was also the same temperature value for testing points 3–5.
Figure 10 shows the temperature change curves of the five testing points when the inclination angle is 60°. It can be seen that, compared with the temperature curve shown in Figure 9, the change trend and process were significantly different. Meanwhile, there was an inflection point at about 180–200 min when the inlet water temperature was 356 K. For three different inlet water temperatures, the temperature profiles of the phase change materials tended to be similar. For the case of 356 K, the maximum temperatures of the phase change material were 341.44 K, 339.11 K, 335.58 K, 335.88 K, and 335.75 K for the five testing points, respectively. For the case of 361 K, the maximum temperatures of the phase change material are 349.35 K, 347.07 K, 344.23 K, 344.26 K, and 344.41 K for the five testing points, respectively. For the case of 366 K, the maximum temperatures of the phase change material were 351.86 K, 349.82 K, 346.62 K, 347.05 K, and 347.26 K for the five testing points, respectively.
Figure 11 shows the temperature change curve of the five testing points when the inclination angle was 90°. It can be seen that there was almost the same trend, and the temperature value was constant when the melting time was about 600 min with an inlet water temperature of 356 K, and the melting time was about 500 min with inlet water temperatures of 361 and 366 K. For the case of 356 K, the increasing degree in the beginning stage was larger than that of the later stage, but it is different for the cases of 361 K and 366 K. For the case of 356 K, the largest temperatures of the phase change material were 341.31 K, 338.44 K, 334.87 K, 335.03 K, and 334.98 K for the five testing points, respectively. For the case of 361 K, the largest temperatures of the phase change material were 346.30 K, 343.63 K, 339.94 K, 341.60 K, and 340.52 K for the five testing points, respectively. For the case of 366 K, the largest temperatures of the phase change material were 348.89 K, 344.90 K, 341.09 K, 342.74 K, and 341.74 K for five testing points, respectively.
It can be seen that, with the increase in the temperature of the HTF, the heat transferred to the phase change material through the copper tube also increased, and the rate of the temperature rise of the phase change material became faster and faster. The higher the temperature of the heat exchange fluid, the earlier the onset of the phase change process. As the inlet water temperature gradually increased from 356 K to 366 K, when the inclination angle was 90°, the phase transition time at measuring point 5 was advanced from 350 min to 160 min, which greatly shortened the phase transition heat storage time.

4. Conclusions

In this paper, a visualized shell-tube phase change heat storage experiment device was studied, and the melting performance of PCM at three different inlet temperatures of 356 K, 361 K, and 366 K were studied via experimentation. The liquid fraction changing process, the temperature distribution of the phase change material, and the temperature values of five testing points were obtained. The main conclusions are as follows:
(1)
According to the experimental photographs, a novel phenomenon of the tank was observed; that is, the beginning stage of melting appeared in the middle of the tank. The melting time of paraffin wax was also quite different at different inlet water temperatures. When the inlet temperature increased from 356 K to 366 K, the rate of the rise in temperature of the phase change material increased greatly. When the inclination angle was 30°, the time required for the paraffin wax to reach the melting-point temperature at the third measurement point was shortened by 75%, and the time required for the paraffin wax to reach the melting point at measurement point 1 was shortened by 76.5%.
(2)
With the increase in the inclination angle, there was a big difference in the temperature at the measuring point. When the inclination angle increased from 30° to 60°, the rate of the rise in temperature at the same measuring point was further accelerated, and the phase transition temperature was reached in a shorter time. However, the time required for overall melting increased as the inclination angle increased. The heat storage time was longest when the tank was placed vertically.
(3)
As the inlet water temperature increased, the degree of influence on the temperature change of the paraffin in the tank became smaller and smaller. When the inlet water temperature was 356 K, the overall change trend of the temperature curve at all measuring points of the tank was quite different from that seen under the conditions of 361 K and 366 K. Taking a storage tank with a tilt of 60° as an example, when the temperature increases from 356 K to 361 K, the time required for all measuring points to reach the melting-point temperature is greatly shortened, and the time for measuring point 3 to reach the melting-point temperature is shortened by 45%. However, when the temperature continues to increase to 366 K, the change of the temperature curve is smaller.

Author Contributions

Conceptualization, L.P. and H.W.; methodology, L.P. and H.W.; software, L.P. and H.W.; validation, L.P. and Q.M.; formal analysis, H.W.; investigation, Q.M.; resources, L.P.; data curation, H.W.; writing—original draft preparation, L.P.; writing—review and editing, L.P.; visualization, Q.M., L.P. and H.W.; supervision, Q.M.; project administration, Q.M.; funding acquisition, Q.M. All authors have read and agreed to the published version of the manuscript.

Funding

This work was supported by the National Natural Science Foundation of China (No. 51876147).

Data Availability Statement

Not applicable.

Conflicts of Interest

The authors declare no conflict of interest.

References

  1. He, W.; Tao, L.; Han, L.; Sun, Y.; Campana, P.E.; Yan, J. Optimal analysis of a hybrid renewable power system for a remote island. Renew. Energy 2021, 179, 96–104. [Google Scholar]
  2. He, W.; Guo, R.; Liu, S.; Zhu, K.; Wang, S. Temperature gradient characteristics and effect on optimal thermoelectric performance in exhaust power-generation systems. Appl. Energy 2020, 261, 114366. [Google Scholar]
  3. Mao, Q.; Hu, X.; Li, T. Study on heat storage performance of a novel vertical shell and multi-finned tube tank. Renew. Energy 2022, 193, 76–88. [Google Scholar]
  4. Mao, Q. Recent developments in geometrical configurations of thermal energy storage for concentrating solar power plant. Renew. Sustain. Energy Rev. 2016, 59, 320–327. [Google Scholar]
  5. Kamidollayev, T.; Trelles, J.P.; Thakkar, J.; Kosny, J. Parametric Study of Panel PCM–Air Heat Exchanger Designs. Energies 2022, 15, 5552. [Google Scholar]
  6. Mao, Q.; Zhang, Y. Thermal energy storage performance of a novel three-PCM cascade tank in a high-temperature packed bed system. Renew. Energy 2020, 152, 110–119. [Google Scholar]
  7. Taler, D.; Sobota, T.; Jaremkiewicz, M.; Taler, J. Influence of the Thermometer Inertia on the Quality of Temperature Control in a Hot Liquid Tank Heated with Electric Energy. Energies 2020, 13, 4039. [Google Scholar]
  8. Mao, Q.; Li, Y.; Li, G.; Badiei, A. Study on the influence of tank structure and fin configuration on heat transfer performance of phase change thermal storage system. Energy 2021, 235, 121382. [Google Scholar]
  9. Mao, Q.; Hu, X.; Zhu, Y. Numerical Investigation of Heat Transfer Performance and Structural Optimization of Fan-Shaped Finned Tube Heat Exchanger. Energies 2022, 15, 5682. [Google Scholar]
  10. Medrano, M.; Yilmaz, M.; Nogués, M.; Martorell, I.; Roca, J.; Cabeza, L. Experimental evaluation of commercial heat exchangers for use as PCM thermal storage systems. Appl. Energy 2009, 86, 2047–2055. [Google Scholar]
  11. Cui, H.; Yuan, X.; Hou, X. Thermal performance analysis for a heat receiver using multiple phase change materials. Appl. Therm. Eng. 2003, 23, 2353–2361. [Google Scholar]
  12. Khobragade, S.; Devanuri, J.K. Impact of inclination on the thermal performance of shell and tube latent heat storage system under simultaneous charging and discharging: Numerical investigation. Appl. Therm. Eng. 2022, 214, 118811. [Google Scholar]
  13. Maghrabie, H.M.; Attalla, M.; Mohsen, A.A. Performance of a shell and helically coiled tube heat exchanger with variable inclination angle: Experimental study and sensitivity analysis. Int. J. Therm. Sci. 2021, 164, 106869. [Google Scholar]
  14. Sorour, M.M.; Hassab, M.A.; Zaytoun, M.M.; Alnakeeb, M.A. The effect of inclination angle on the performance characteristic of a double-pipe latent heat storage unit. J. Energy Storage 2021, 34, 102202. [Google Scholar]
  15. Wang, Z.; Diao, Y.; Zhao, Y.; Chen, C.; Wang, T.; Liang, L. Effect of inclination angle on the charging process of flat heat pipe-assisted latent heat storage unit. J. Energy Storage 2021, 51, 104402. [Google Scholar]
  16. Karami, R.; Kamkari, B. Investigation of the effect of inclination angle on the melting enhancement of phase change material in finned latent heat thermal storage units. Appl. Therm. Eng. 2019, 146, 45–60. [Google Scholar]
  17. Zeng, S.; Chen, S.; Wu, G. Effect of inclination angle on the melting process of phase change materials in a square cavity under mechanical vibration. J. Energy Storage 2021, 36, 102392. [Google Scholar]
  18. Olimat, A.N.; Ismail, M.; Abu Shaban, N.; Al-Salaymeh, A. The effectiveness of the heat transfer fluid pipe orientation angle inside a latent heat thermal energy storage system. Case Stud. Therm. Eng. 2022, 36, 102174. [Google Scholar]
  19. Kousha, N.; Hosseini, M.J.; Aligoodarz, M.R.; Pakrouh, R.; Bahrampoury, R. Effect of inclination angle on the performance of a shell and tube heat storage unit—An experimental study. Appl. Therm. Eng. 2017, 112, 1497–1509. [Google Scholar]
  20. Huang, S.; Lu, J.; Li, Y. Numerical study on the influence of inclination angle on the melting behaviour of metal foam-PCM latent heat storage units. Energy 2022, 239, 122489. [Google Scholar]
  21. Variji, N.; Siavashi, M.; Tahmasbi, M.; Bidabadi, M. Analysis of the effects of porous media parameters and inclination angle on the thermal storage and efficiency improvement of a photovoltaic-phase change material system. J. Energy Storage 2022, 50, 104690. [Google Scholar]
  22. Pahamli, Y.; Hosseini, M.J.; Ranjbar, A.A.; Bahrampoury, R. Effects of nanoparticle dispersion and inclination angle on melting of PCM in a shell and tube heat exchanger. J. Taiwan Inst. Chem. Eng. 2017, 81, 316–334. [Google Scholar]
Figure 1. Visual experimental platform located at Wuhan University of Science and Technology.
Figure 1. Visual experimental platform located at Wuhan University of Science and Technology.
Energies 15 07394 g001
Figure 2. Temperature testing point position in the tank.
Figure 2. Temperature testing point position in the tank.
Energies 15 07394 g002
Figure 3. Liquid fraction photograph for an inclination angle of 30° with three inlet water temperatures.
Figure 3. Liquid fraction photograph for an inclination angle of 30° with three inlet water temperatures.
Energies 15 07394 g003
Figure 4. Liquid fraction photograph for an inclination angle of 60° with three inlet water temperatures.
Figure 4. Liquid fraction photograph for an inclination angle of 60° with three inlet water temperatures.
Energies 15 07394 g004
Figure 5. Liquid fraction photograph for the inclination angle of 90° with three inlet water temperatures.
Figure 5. Liquid fraction photograph for the inclination angle of 90° with three inlet water temperatures.
Energies 15 07394 g005
Figure 6. Temperature distribution in the PCM tank when the inclination angle was 30°.
Figure 6. Temperature distribution in the PCM tank when the inclination angle was 30°.
Energies 15 07394 g006
Figure 7. Temperature distribution in the PCM tank when the inclination angle was 60°.
Figure 7. Temperature distribution in the PCM tank when the inclination angle was 60°.
Energies 15 07394 g007
Figure 8. Temperature distribution in the PCM tank when the inclination angle was 90°.
Figure 8. Temperature distribution in the PCM tank when the inclination angle was 90°.
Energies 15 07394 g008
Figure 9. Temperature curve of five testing points with an inclination angle of 30°.
Figure 9. Temperature curve of five testing points with an inclination angle of 30°.
Energies 15 07394 g009
Figure 10. Temperature curve of five testing points with an inclination angle of 60°.
Figure 10. Temperature curve of five testing points with an inclination angle of 60°.
Energies 15 07394 g010aEnergies 15 07394 g010b
Figure 11. Temperature curve of five testing points with an inclination angle of 90°.
Figure 11. Temperature curve of five testing points with an inclination angle of 90°.
Energies 15 07394 g011
Table 1. Experimental equipment and accuracy.
Table 1. Experimental equipment and accuracy.
InstrumentModel No.Measuring RangeAccuracyPhotograph
ThermocoupleK-type−70–600 °C±0.4% Energies 15 07394 i001
Data loggerFluke 2638A−270–1372 °C±0.15 °C Energies 15 07394 i002
Infrared thermal imagerFluke Ti32−20–600 °C±0.1 °C Energies 15 07394 i003
Turbine
flow meter
-1–50 L/min±1% Energies 15 07394 i004
HD cameraBCC 2000-- Energies 15 07394 i005
Table 2. Thermophysical values of paraffin wax.
Table 2. Thermophysical values of paraffin wax.
PropertyUnitValues
Latent heatkJ/kg172.62
Thermal conductivityW/m·K0.186
Solidus temperature°C28.52
Liquidus temperature°C49.13
Density (solid at 30 °C)g/cm30.889
Density (liquid at 70 °C)g/cm30.790
Specific heat capacity (solid at 30 °C)kJ/kg·K7.103
Specific heat capacity (liquid at 70 °C)kJ/kg·K2.130
Thermal expansion coefficient1/K0.0006
Publisher’s Note: MDPI stays neutral with regard to jurisdictional claims in published maps and institutional affiliations.

Share and Cite

MDPI and ACS Style

Peng, L.; Wu, H.; Mao, Q. Visualizing Experimental Study of the Effect of Inclination Angle on the Melting Performance for an Energy Storage Tank. Energies 2022, 15, 7394. https://doi.org/10.3390/en15197394

AMA Style

Peng L, Wu H, Mao Q. Visualizing Experimental Study of the Effect of Inclination Angle on the Melting Performance for an Energy Storage Tank. Energies. 2022; 15(19):7394. https://doi.org/10.3390/en15197394

Chicago/Turabian Style

Peng, Li, Hongjun Wu, and Qianjun Mao. 2022. "Visualizing Experimental Study of the Effect of Inclination Angle on the Melting Performance for an Energy Storage Tank" Energies 15, no. 19: 7394. https://doi.org/10.3390/en15197394

APA Style

Peng, L., Wu, H., & Mao, Q. (2022). Visualizing Experimental Study of the Effect of Inclination Angle on the Melting Performance for an Energy Storage Tank. Energies, 15(19), 7394. https://doi.org/10.3390/en15197394

Note that from the first issue of 2016, this journal uses article numbers instead of page numbers. See further details here.

Article Metrics

Back to TopTop