Study on Winter Comfort Temperature in Mixed Mode and HVAC Office Buildings in Japan
Abstract
1. Introduction
1.1. Overview
1.2. Previous Studies in Japanese Office Buildings
1.3. Objectives
2. Methodology
2.1. Study Area and Investigated Buildings
2.2. Thermal Measurements
2.3. Thermal Comfort Survey
2.4. Calculation of Comfort Temperature
2.4.1. Regression Method
2.4.2. Griffiths’ Method
3. Results and Discussion
3.1. Distribution of the Outdoor and Indoor Air Temperatures during the Voting
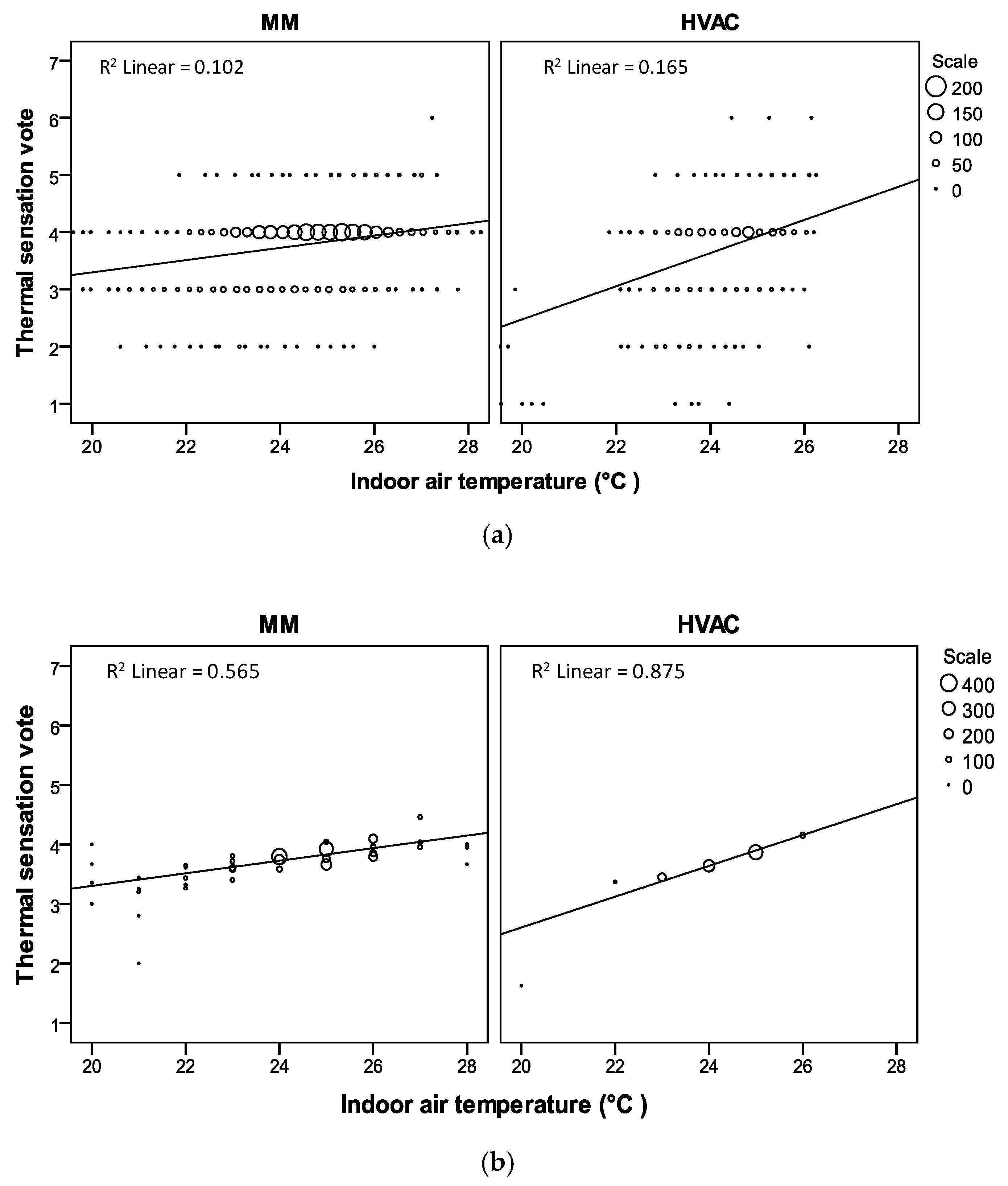
3.2. Distribution of Thermal Sensation Vote
3.3. Comfort Temperature
3.3.1. Regression Method
3.3.2. Griffiths’ Method
3.4. Relationship between the Comfort Temperature and Indoor Air Temperature
4. Discussion
5. Conclusions
- The proportion of neutral thermal sensation was 72% and 70% in MM and HVAC buildings. The percentage of the votes in the comfort zone was 99% and 91% in MM and HVAC buildings. Thus, the occupants were highly satisfied with their office environment, but they were more satisfied in MM buildings.
- Overall, 95% of the comfort temperatures were in the range of 21.8~28.2 °C in MM and 21.8~27.8 °C in HVAC buildings, which were higher than the recommended value (20 °C) of the Japanese government for the winter. If we reduced the temperature setting similar to the recommended value, a significant amount of heating energy could be saved.
- The comfort temperature and indoor air temperature were highly correlated in MM buildings. The result indicated that the occupants adapted more to the given thermal environment of MM buildings than that of HVAC buildings.
Author Contributions
Funding
Data Availability Statement
Acknowledgments
Conflicts of Interest
Abbreviations
| Cfa | Humid-subtropical |
| ET | Effective temperature (°C) |
| p | Significant level of regression coefficient |
| R2 | Coefficient of determination |
| Ta | Air temperature (°C) |
| Tc | Comfort temperature (°C) |
| Tg | Globe temperature (°C) |
| Ti | Indoor air temperature (°C) |
| Top | Operative temperature (°C) |
| Tout | Outdoor air temperature (°C) |
| Treq | Temperature change required to shift one thermal sensation vote (°C) |
| AC | Air Conditioning |
| ASHRAE | The American Society of Heating, Refrigerating and Air-Conditioning Engineers |
| CEN | Comité Européen de Normalisation |
| CL | Cooling mode |
| FR | Free-running mode |
| HT | Heating mode |
| HVAC | Heating, ventilation, and air conditioning |
| MM | Mixed-mode |
| NV | Naturally ventilated buildings |
| PC | Personal computer |
| S.D. | Standard deviation |
| S.E. | Standard error |
| SPSS | Statistical package for the social sciences |
| TSV | Thermal sensation votes |
Appendix A

References
- Roberts, T. We Spend 90% of Our Time Indoors. Says Who? Available online: https://www.buildinggreen.com/blog/we-spend-90-our-time-indoors-says-who. (accessed on 10 August 2022).
- Humphreys, M.A.; Nicol, J.F. Understanding the adaptive approach to thermal comfort. ASHRAE Trans. 1998, 104, 991–1004. [Google Scholar]
- Nicol, J.F.; Humphreys, M.A.; Roaf, S. Adaptive Thermal Comfort: Principles and Practice; Earthscan: London, UK, 2012. [Google Scholar]
- Rijal, H.B.; Humphreys, M.A.; Nicol, J.F. Behavioural Adaptation for the Thermal Comfort and Energy Saving in Japanese Offices. J. Inst. Eng. 2019, 15, 14–25. [Google Scholar] [CrossRef]
- Hayashi, M.; Yanagi, U.; Azuma, K.; Kagi, N.; Ogata, M.; Morimoto, S.; Hayama, H.; Mori, T.; Kikuta, K.; Tanabe, S.; et al. Measures against COVID-19 concerning Summer Indoor Environment in Japan. Jpn. Arch. Rev. 2020, 3, 423–434. [Google Scholar] [CrossRef]
- SHASE (The Society of Heating, Air-Conditioning and Sanitary Engineers of Japan); AIJ (Architectural Institute of Japan). Role of Ventilation in the Control of COVID-19 Infection: Emergency Presidential Discourse. 2020. Available online: https://www.aij.or.jp/jpn/databox/2020/20200323_Eng_final.pdf (accessed on 16 August 2022).
- Kurabuchi, T.; Yanagi, U.; Ogata, M.; Otsuka, M.; Kagi, N.; Yamamoto, Y.; Hayashi, M.; Tanabe, S. Operation of air-conditioning and sanitary equipment for SARS-CoV-2 infectious disease control. Jpn. Arch. Rev. 2021, 4, 608–620. [Google Scholar] [CrossRef]
- Roaf, S. Chapter 19 Trust, windows and the psychology of resilience. In The Routledge Handbook of Resilient Thermal Comfort; Nicol, J.F., Rijal, H.B., Roaf, S., Eds.; Routledge: London, UK, 2022; pp. 551–581. ISBN 9781032155975. [Google Scholar]
- ASHRAE Standard 55; Thermal Environmental Conditions for Human Occupancy. ANSI/ASHRAE: Atlanta, GA, USA, 2013.
- Standard EN 15251-2007; Indoor Environmental Input Parameters for Design and Assessment of Energy Performance of Buildings Addressing Indoor Air Quality, Thermal Environment, Lighting and Acoustics. European Committee for Standardization (CEN): Brussels, Belgium, 2007.
- de Dear, R.J.; Brager, G.S. Towards an adaptive model of thermal comfort and preference. ASHRAE Trans. 1998, 104, 145–167. [Google Scholar]
- McCartney, K.J.; Nicol, J.F. Developing an adaptive control algorithm for Europe. Energy Build. 2002, 34, 623–635. [Google Scholar] [CrossRef]
- Enomoto, H.; Ikeda, K.; Azuma, K.; Tochihara, Y. Observation of the thermal conditions of the workers in the ‘cool biz’ implemented office. J. Occup. Saf. Health Jpn. 2009, 2, 5–10. [Google Scholar] [CrossRef]
- Takasu, M.; Ooka, R.; Rijal, H.B.; Indraganti, M.; Kumar, M.S. Study on adaptive thermal comfort in Japanese offices under various operation modes. Build. Environ. 2017, 118, 273–288. [Google Scholar] [CrossRef]
- Rijal, H.B.; Humphreys, M.A.; Nicol, J.F. Adaptive approaches to enhancing resilient thermal comfort in Japanese offices. In The Routledge Handbook of Resilient Thermal Comfort; Nicol, J.F., Rijal, H.B., Roaf, S., Eds.; Routledge: London, UK, 2022; Chapter 17; pp. 279–299. ISBN 9781032155975. [Google Scholar]
- Nakano, J.; Tanabe, S.-I.; Kimura, K.-I. Differences in perception of indoor environment between Japanese and non-Japanese workers. Energy Build. 2002, 34, 615–621. [Google Scholar] [CrossRef]
- Tanabe, S.; Iwahashi, Y.; Tsushima, S.; Nishihara, N. Thermal comfort and productivity in offices under mandatory electricity savings after the Great East Japan earthquake. Arch. Sci. Rev. 2013, 56, 4–13. [Google Scholar] [CrossRef]
- Indraganti, M.; Ooka, R.; Rijal, H.B. Thermal comfort in offices in summer: Findings from a field study under the ‘setsuden’ conditions in Tokyo, Japan. Build. Environ. 2013, 61, 114–132. [Google Scholar] [CrossRef]
- Mustapa, M.S.; Zaki, S.A.; Rijal, H.B.; Hagishima, A.; Ali, M.S. Thermal comfort and occupant adaptive behaviour in Japanese university buildings with free running and cooling mode offices during summer. Build. Environ. 2016, 105, 332–342. [Google Scholar] [CrossRef]
- Damiati, S.A.; Zaki, S.A.; Rijal, H.B.; Wonorahardjo, S. Field study on adaptive thermal comfort in office buildings in Malaysia, Indonesia, Singapore, and Japan during hot and humid season. Build. Environ. 2016, 109, 208–223. [Google Scholar] [CrossRef]
- Rijal, H.B.; Humphreys, M.A.; Nicol, J.F. Towards an adaptive model for thermal comfort in Japanese offices. Build. Res. Inf. 2017, 45, 717–729. [Google Scholar] [CrossRef]
- Khadka, S.; Shrestha, M.; Rijal, H.B. Investigation of the thermal comfort and productivity in Japanese mixed-mode office buildings. J. Eng. Res. 2022, 19, 63–72. [Google Scholar] [CrossRef]
- Tanabe, S.; Nishihara, N.; Haneda, M. Indoor temperature, productivity, and fatigue in office tasks. HVAC R Res. 2007, 13, 623–633. [Google Scholar] [CrossRef]
- Shahzad, S.; Rijal, H.B. Chapter 20 Mixed mode is better than air-conditioned offices for resilient comfort. In The Routledge Handbook of Resilient Thermal Comfort; Nicol, J.F., Rijal, H.B., Roaf, S., Eds.; Routledge: London, UK, 2022; pp. 329–346. ISBN 9781032155975. [Google Scholar]
- Ozarisoy, B.; Altan, H. A novel methodological framework for the optimisation of post-war social housing developments in the south-eastern Mediterranean climate: Policy design and life-cycle cost impact analysis of retrofitting strategies. Sol. Energy 2021, 225, 517–560. [Google Scholar] [CrossRef]
- Imagawa, H.; Rijal, H.B.; Shukuya, M. Development of integrated occupant-behavioural stochastic model including the fan use in Japanese dwellings. Energy Build. 2020, 226, 110326. [Google Scholar] [CrossRef]
- Wada, K. Correlation of ‘Google Flu Trends’ with sentinel surveillance data for influenza in 2009 in Japan. Open Public Health J. 2011, 4, 17–20. [Google Scholar] [CrossRef]
- Japan Meteorological Agency. 2022. Available online: https://www.jma.go.jp/jma/indexe.html. (accessed on 19 August 2022).
- CBE. Mixed Mode. 2021. Available online: https://cbe.berkeley.edu/mixedmode/index.html. (accessed on 19 August 2022).
- Humphreys, M.A.; Nicol, J.F.; Roaf, S. Adaptive Thermal Comfort: Foundations and Analysis; Routledge: London, UK, 2016. [Google Scholar]
- Griffiths, I.D. Thermal comfort in buildings with passive solar features: Field studies. In Report to the Commission of the European Communities (EN3S-090); University of Surrey: Guildford, UK, 1990. [Google Scholar]
- Humphreys, M.A.; Rijal, H.B.; Nicol, J.F. Updating the adaptive relation between climate and comfort indoors; New insights and an extended database. Build. Environ. 2013, 63, 40–55. [Google Scholar] [CrossRef]
- Arens, E.; Humphreys, M.A.; de Dear, R.; Zhang, H. Are ‘class A’ temperature requirements realistic or desirable? Build. Environ. 2010, 45, 4–10. [Google Scholar] [CrossRef]
- Humphreys, M.A. Outdoor temperatures and comfort indoors. Build. Res. Pract. 1978, 6, 92–105. [Google Scholar] [CrossRef]
- Karyono, T.H. Report on thermal comfort and building energy studies in Jakarta, Indonesia. Build. Environ. 2000, 35, 77–90. [Google Scholar] [CrossRef]
- Indraganti, M.; Ooka, R.; Rijal, H.B.; Brager, G.S. Adaptive model of thermal comfort for offices in hot and humid climate of India. Build. Environ. 2014, 74, 39–53. [Google Scholar] [CrossRef]
- Rupp, R.F.; Toftum, J.; Ghisi, E. Chapter 18 Thermal comfort and occupant disposition in mixed-mode offices in a Brazilian subtropical climate. In The Routledge Handbook of Resilient Thermal Comfort; Nicol, J.F., Rijal, H.B., Roaf, S., Eds.; Routledge: London, UK, 2022; pp. 279–299. ISBN 9781032155975. [Google Scholar]
- Kumar, S.; Singh, M.K.; Loftness, V.; Mathur, J.; Mathur, S. Thermal comfort assessment and characteristics of occupant’s behavior in naturally ventilated buildings in composite climate of India. Energy Sustain. Dev. 2016, 33, 108–121. [Google Scholar] [CrossRef]
- Gautam, B.; Rijal, H.B.; Shukuya, M.; Imadegawa, H. A field investigation on the wintry thermal comfort and clothing adjustment of residents in traditional Nepalese houses. J. Build. Eng. 2019, 26, 100886. [Google Scholar] [CrossRef]
- Fanger, P.O. Thermal Comfort: Analysis and Applications in Environmental Engineering; Danish Technical Press: Copenhagen, Denmark, 1970. [Google Scholar]
- Nicol, J.F.; Jamy, G.N.; Sykes, O.; Humphreys, M.A.; Roaf, S.; Hancock, M. A Survey of Thermal Comfort in Pakistan Toward New Indoor Temperature Standards; Oxford Brookes University: Oxford, UK, 1994. [Google Scholar]
- Rijal, H.B.; Honjo, M.; Kobayashi, R.; Nakaya, T. Investigation of comfort temperature, adaptive model and the window-opening behaviour in Japanese houses. Archit. Sci. Rev. 2013, 56, 54–69. [Google Scholar] [CrossRef]
- Rijal, H.B. Thermal adaptation of buildings and people for energy saving in extreme cold climate of Nepal. Energy Build. 2021, 230, 110551. [Google Scholar] [CrossRef]
- Rijal, H.B.; Humphreys, M.A.; Nicol, J.F. Adaptive model and the adaptive mechanisms for thermal comfort in Japanese dwellings. Energy Build. 2019, 202, 109371. [Google Scholar] [CrossRef]
- Rijal, H.B.; Yoshida, K.; Humphreys, M.A.; Nicol, J.F. Development of an adaptive thermal comfort model for energy-saving building design in Japan. Archit. Sci. Rev. 2021, 64, 109–122. [Google Scholar] [CrossRef]
- Kumar, S.; Singh, M.K.; Mathur, A.; Kosir, M. Occupant’s thermal comfort expectations in naturally ventilated engineering workshop building: A case study at high metabolic rates. Energy Build. 2020, 217, 109970. [Google Scholar] [CrossRef]
- Hossain, M.; Robin, W.; Benson, L.; Brian, F. Thermal comfort guidelines for production spaces within multi-storey garment factories located in Bangladesh. Build. Environ. 2019, 157, 319–345. [Google Scholar] [CrossRef]
- Cao, B.; Zhu, Y.; Ouyang, Q.; Zhau, X. Field study of human thermal comfort and thermal adaptability during summer and winter in Beijing. Energy Build. 2011, 43, 1051–1056. [Google Scholar] [CrossRef]
- García, A.; Olivieri, F.; Larrumbide, E.; Ávila, P. Thermal comfort assessment in naturally ventilated offices located in a cold tropical climate, Bogotá. Build. Environ. 2019, 158, 237–247. [Google Scholar] [CrossRef]
- Ballantyne, E.; Hill, R.; Spencer, J. Probit analysis of thermal sensation assessments. Int. J. Biometeorol. 1977, 21, 29–43. [Google Scholar] [CrossRef] [PubMed]
- Schiller, G.; Arens, E.; Bauman, F.; Benton, C.; Fountain, M.; Doherty, T. A field study of thermal environments and comfort in office buildings. ASHRAE Trans. 1988, 94, 280–308. [Google Scholar]
- Donnini, G.; Nguyen, V.H.; Lai, D.H.C.; LaFlamme, M.; Haghighat, F.; Molina, J.; Lai, H.K.; Martello, C.; Chang, C.Y. Field Study of Occupant Comfort and Office Thermal Environments in a Cold Climate. United States. 1997. Available online: https://www.aivc.org/sites/default/files/airbase_10531.pdf (accessed on 6 August 2022).
- Humphreys, M.A. Field studies of thermal comfort compared and applied. Build. Serv. Eng. 1976, 44, 5–27. [Google Scholar]
- Kuchen, E.; Fisch, M.N. Spot Monitoring: Thermal comfort evaluation in 25 office buildings in winter. Build. Environ. 2009, 44, 839–847. [Google Scholar] [CrossRef]
- Nicol, J.F.; Raja, I.A.; Allaudin, A.; Jamy, G.N. Climatic variations in comfortable temperatures: The Pakistan projects. Energy Build. 1999, 30, 261–279. [Google Scholar] [CrossRef]
- Ozarisoy, B.; Altan, H. Regression forecasting of ‘neutral’ adaptive thermal comfort: A field study investigation in the south-eastern Mediterranean climate of Cyprus. Build. Environ. 2021, 202, 108013. [Google Scholar] [CrossRef]











| References | Area | Number of Buildings | Mode of Operation | Seasons | Number of Votes | Index Temperature (°C) | Comfort Temperature (°C) | Method |
|---|---|---|---|---|---|---|---|---|
| Nakano et al. [16] | Tokyo | 1 | HVAC | Four seasons | 406 | Top | Male = 22.9 Female = 25.1 | Regression |
| Tanabe et al. [17] | Tokyo | 5 | AC mode | Summer | 1340 | Ta | 26.3 | Regression |
| Indraganti et al. [18] | Tokyo | 4 | MM | Summer | 2402 | Tg | FR = 25.8 CL = 27.2 | Griffiths |
| Mustapa et al. [19] | Fukuoka | 2 | Split-type AC system | Summer | 401 | Tg | 26.6 | Griffiths |
| Damiati et al. [20] | Yokohama Tokyo | 3 1 | MM | Autumn | 173 282 | Top | 25.8 | Griffiths |
| Takasu et al. [14] | Tokyo and Kanagawa | 5 | MM | All seasons | 2722 | Top | 23.5 to 25.8 | Griffiths |
| Rijal et al. [21] | Tokyo and Yokohama | 11 | HVAC MM | Summer/winter | 4660 | Tg | FR = 25.7 CL = 25.5 HT = 24.3 | Griffiths |
| Khadka et al. [22] | Tokyo, Yokohama, Odawara | 17 | MM | All seasons | 3000 | Tg | MM = 22–26 FR = 23–25 | Regression |
| Parameter Measured | Name of the Instruments | Range | Accuracy |
|---|---|---|---|
| Air temperature | TR-76Ui and TR-74Ui | 0 to 55 °C, | ±0.5 °C |
| Relative humidity | 10–95% RH | ±5% RH, at 25 °C, 50% RH |
| Building Code | Investigated Floor | Mode | Number of Measurement Points | Number of Occupants | Number of Females | Number of Males | Number of Votes |
|---|---|---|---|---|---|---|---|
| N1 | 2F | MM | 2 | 4 | 2 | 2 | 522 |
| N2 | 1F, 2F | MM | 2 | 8 | 5 | 3 | 939 |
| N3 | 4F | HVAC | 1 | 1 | 1 | - | 2 |
| N4 | 2F | MM | 1 | 8 | 3 | 5 | 839 |
| N5 | 4F | MM | 2 | 10 | 1 | 9 | 764 |
| N6 | 27F | HVAC | 3 | 10 | 4 | 6 | 1100 |
| N7 | 5F | MM | 1 | 5 | 2 | 3 | 300 |
| Total | 12 | 46 | 18 | 28 | 4466 |
| No. | Scale |
|---|---|
| 1 | Very cold |
| 2 | Cold |
| 3 | Slightly cold |
| 4 | Neutral |
| 5 | Slightly hot |
| 6 | Hot |
| 7 | Very hot |
| References | Country | Areas | Mode | Scale for TSV | Equations | R2 | Treq (°C) |
|---|---|---|---|---|---|---|---|
| This study | Japan | Aichi | MM HVAC Overall | 1–7 ** | TSV = 0.11 Ti + 1.2 TSV = 0.29 Ti − 3.3 TSV = 0.13 Ti + 0.6 | 0.10 0.17 0.11 | 9.1 3.4 7.7 |
| Karyono [35] | Indonesia | Jakarta | NV, AC and Hybrid | ±3 * | TSV = 0.32 Ti − 8.43 | 0.41 | 3.2 |
| Indraganti et al. [36] | India | Chennai and Hyderabad | NV | ±3 * | TSV = 0.26 Tg − 7.09 | 0.16 | 3.8 |
| Rupp et al. [37] | Brazil | Florianopo | MM | ±3 * | TSV = 0.09 Top − 2.05 | 0.03 | 11.1 |
| Kumar et al. [38] | India | Jaipur | NV | ±3 * | TSV = 0.15 Top − 8.43 | 0.56 | 6.7 |
| Rijal et al. [21] | Japan | Tokyo, Yokohama | MM HVAC | 1–7 ** | FR: TSV = 0.183 Tg − 0.6 CL: TSV = 0.228 Tg − 1.7 HT: TSV = 0.168 Tg − 0.3 | 0.25 0.08 0.08 | 5.5 4.4 6.0 |
| References | Country | Area | Building Type | Mode of Operation | Seasons | Index Temperature (°C) | Comfort Temperature (°C) | Method |
|---|---|---|---|---|---|---|---|---|
| This study | Japan | Aichi prefecture | Office buildings | MM HVAC | Winter | Ti | 25.0 24.8 | Griffiths |
| Rijal et al. [15] | Japan | Kanto region | Office buildings | MM | All seasons | Tg | FR = 24.9 HT = 24.3 | Griffiths |
| Kumar et al. [46] | India | Jalandhar | Workshop | NV | Autumn + winter | Top | 25.9 | Griffiths |
| Hossain et al. [47] | Bangladesh | Dhaka | Workshop | NV | Cool and dry season | Top | 25.9–26.1 | Regression |
| Kumar et al. [38] | India | Jaipur | Office | NV | Winter | Tg | 25.2 | Griffiths |
| Cao et al. [48] | China | Beijing | Classroom/offices of university | Space heating | Winter | Top | 20.7 | Regression |
| García et al. [49] | Columbia | Bogota | Office buildings | NV | 19 February to 11 May 2018 | Top | 23.5 | Griffiths |
| Ballantyne et al. [50] | Australia | Highett | Office buildings | AC | 4 weeks summer 5 weeks winter (1974) | ET | 21.3 | Probit |
| Schiller et al. [51] | USA | San Francisco Bay Area | Office buildings | NV | Winter | ET | 22.0 | Regression |
| Donnini et al. [52] | Canada | Montreal, Longueuil, Gramby, Cap-de-la-Medeliene, Shawinigan, Trois Rivieres, Hull and Maniwaki | Office buildings | Heated in winter cooled in summer | Winter | ET | 23.l | Probit |
| References | Country | Area | Mode | Season | Equation | R2 |
|---|---|---|---|---|---|---|
| Rijal et al. [15] | Japan | Tokyo, Kanagawa | MM and HVAC | All seasons | Tc = 0.74 Tg + 6.9 | 0.34 |
| García et al. [49] | Columbia | Bogota | NV | 19th February to 11th May 2018 | Tc = 0.72 Ti + 6.5 | 0.45 |
| Kuchen and Fisch [54] | Germany | Berlin, Braunschweig, Hamburg, Hannover, Gelsenkirchen, Helmstedt, Leverkusen, Magdeburg, Mannheim, Osnabruck, Wolfburg | MM, AC and NV | Winter | Tc = 0.82 Top + 3.85 | 0.79 |
| Nicol et al. [55] | Pakistan | Karachi, Multan, Peshwar, Quetta, Saidu Sharif | MM and HVAC | Summer and winter | Tc = 0.55 Tg + 11.7 | 0.82 |
Publisher’s Note: MDPI stays neutral with regard to jurisdictional claims in published maps and institutional affiliations. |
© 2022 by the authors. Licensee MDPI, Basel, Switzerland. This article is an open access article distributed under the terms and conditions of the Creative Commons Attribution (CC BY) license (https://creativecommons.org/licenses/by/4.0/).
Share and Cite
Khadka, S.; Rijal, H.B.; Amano, K.; Saito, T.; Imagawa, H.; Uno, T.; Genjo, K.; Takata, H.; Tsuzuki, K.; Nakaya, T.; et al. Study on Winter Comfort Temperature in Mixed Mode and HVAC Office Buildings in Japan. Energies 2022, 15, 7331. https://doi.org/10.3390/en15197331
Khadka S, Rijal HB, Amano K, Saito T, Imagawa H, Uno T, Genjo K, Takata H, Tsuzuki K, Nakaya T, et al. Study on Winter Comfort Temperature in Mixed Mode and HVAC Office Buildings in Japan. Energies. 2022; 15(19):7331. https://doi.org/10.3390/en15197331
Chicago/Turabian StyleKhadka, Supriya, Hom B. Rijal, Katsunori Amano, Teruyuki Saito, Hikaru Imagawa, Tomoko Uno, Kahori Genjo, Hiroshi Takata, Kazuyo Tsuzuki, Takashi Nakaya, and et al. 2022. "Study on Winter Comfort Temperature in Mixed Mode and HVAC Office Buildings in Japan" Energies 15, no. 19: 7331. https://doi.org/10.3390/en15197331
APA StyleKhadka, S., Rijal, H. B., Amano, K., Saito, T., Imagawa, H., Uno, T., Genjo, K., Takata, H., Tsuzuki, K., Nakaya, T., Nishina, D., Hasegawa, K., & Mori, T. (2022). Study on Winter Comfort Temperature in Mixed Mode and HVAC Office Buildings in Japan. Energies, 15(19), 7331. https://doi.org/10.3390/en15197331

