The Investigation of the Bubble Behaviors on the Vertical Heat Exchange Tube
Abstract
:1. Introduction
2. Experimental Facility
3. Analysis of the Bubble Characteristics in Open Space
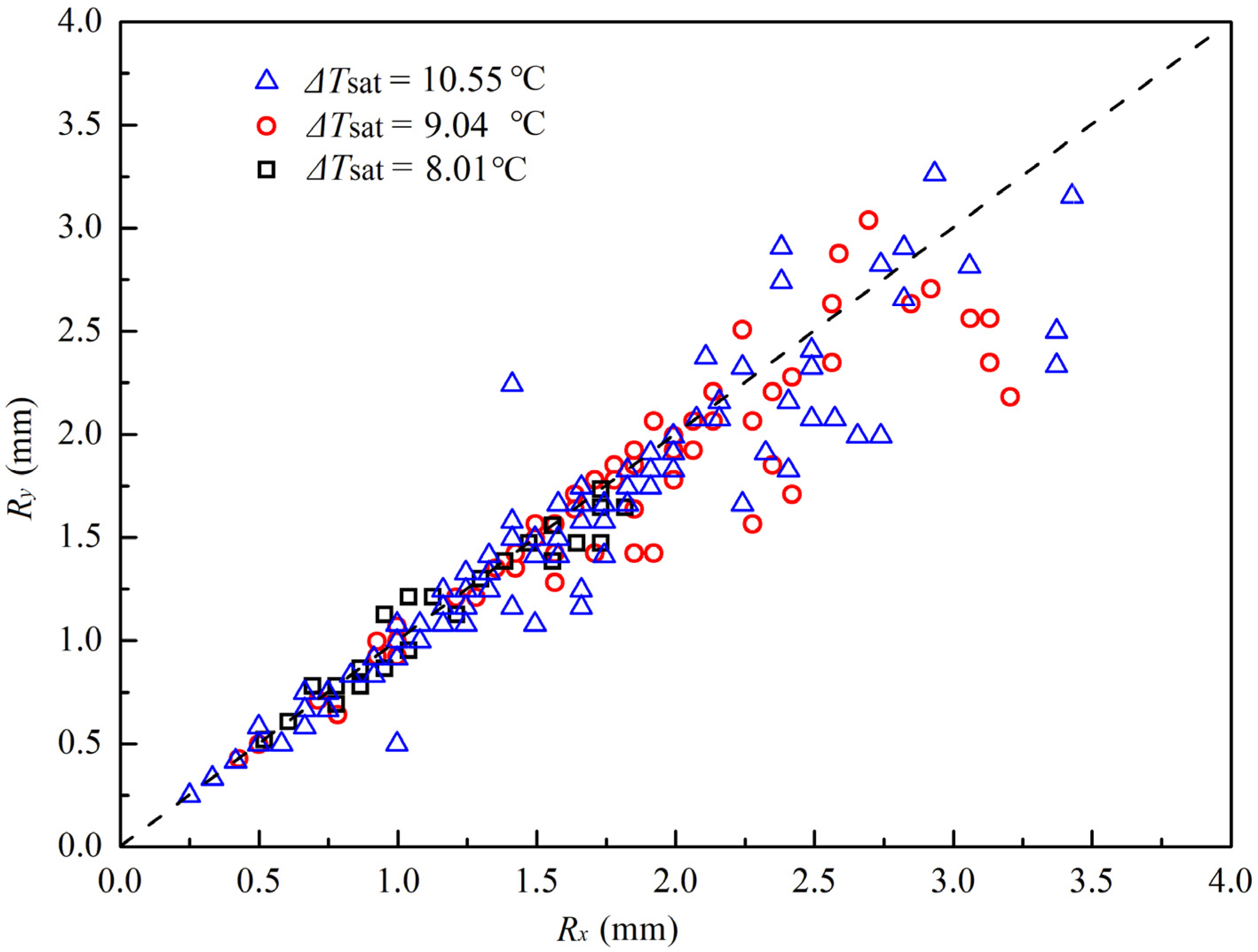
3.1. Bubble Characteristics and Bubble Definition
3.2. Growth Process of Single Bubble
4. Analysis of Bubble in Confined Space
5. Conclusions
- In the study of nucleate boiling outside the vertical heat exchange tube, it is found that the long growth period of a bubble along the vertical heat exchange surface is not conducive to the enhancement of wall heat transfer. Shortening the slip distance on the wall surface and increasing the separation speed of bubbles can effectively enhance the heat transfer.
- Based on the empirical formula of force on the bubble, the experimental results show that the increases of bubble base and bubble diameter are not conducive to bubble wall separation. The setting of confined space increases the flow rate in the near wall region, and the bubble separation diameter on the wall decreases at a higher liquid flow rate. The gliding mechanism and force analysis of bubbles show that the bubbles slip along the wall due to the lack of driving force in the Y direction from the wall into the liquid water. The bubble shape changes during the sliding process and the bubbles are driven away from the wall by the inertial proliferation of liquid flow under the bubble base.
- Under the condition of low velocity flow near the wall, the force on the flow direction breaks more easily with the growth of bubbles. The bubbles will slide along the heating wall after leaving the nucleation point. When the flow near the wall is enhanced, it will accelerate the force imbalance in the y direction (vertical flow direction) and cause the bubble to break away from the wall.
Author Contributions
Funding
Data Availability Statement
Acknowledgments
Conflicts of Interest
Nomenclature
| D | diameter of heat exchanging tube (m) |
| R | the sphere bubble diameter (mm) |
| H | height (mm) |
| L | vertical length (mm) |
| t | time (s) |
| T | temperature (K) |
| v | velocity (mm/s) |
| α, β | contact angle (°) |
| d | bubble base diameter (mm) |
| ΔT | super-heat temperature |
| Subscripts | |
| x, y | coordinates |
| w | wall |
| sat | saturation temperature |
References
- Može, M.; Zupančič, M.; Sedmak, I.; Ferjančič, K.; Gjerkeš, H.; Golobič, I. Revisiting the Corresponding-States-Based Correlation for Pool Boiling Critical Heat Flux. Energies 2022, 15, 3524. [Google Scholar] [CrossRef]
- Lee, S.; Devahdhanush, V.S.; Mudawar, I. Investigation of subcooled and saturated boiling heat transfer mechanisms, instabilities, and transient flow regime maps for large length-to-diameter ratio micro-channel heat sinks. Int. J. Heat Mass Transf. 2018, 123, 172–191. [Google Scholar] [CrossRef]
- Lee, H.J.; Liu, D.Y.; Yao, S.-C. Flow instability of evaporative micro-channels. Int. J. Heat Mass Transf. 2010, 53, 1740–1749. [Google Scholar] [CrossRef]
- Fu, T.; Ma, Y. Bubble formation and breakup dynamics in microfluidic devices: A review. Chem. Eng. Sci. 2015, 135, 343–372. [Google Scholar] [CrossRef]
- Ren, T.; Zhu, Z.; Yan, M.; Shi, J.; Yan, C. Experimental study on bubble nucleation and departure for subcooled flow boiling in a narrow rectangular channel. Int. J. Heat Mass Transf. 2019, 144, 118670. [Google Scholar] [CrossRef]
- Li, L.; Xu, Z.; Xie, W.; Zhang, Z. A sensitivity analysis of bubble departure behavior in vertical channel nucleate boiling. Int. J. Therm. Sci. 2020, 157, 106497. [Google Scholar] [CrossRef]
- Liu, W.; Xu, Q.; Zou, S.; Chang, Y.; Guo, L. Optimization of differential pressure signal acquisition for recognition of gas–liquid two-phase flow patterns in pipeline-riser system. Chem. Eng. Sci. 2021, 229, 116043. [Google Scholar] [CrossRef]
- Yoo, J.; Estrada-Perez, C.E.; Hassan, Y.A. Experimental study on bubble dynamics and wall heat transfer arising from a single nucleation site at subcooled flow boiling conditions—Part 2: Data analysis on sliding bubble characteristics and associated wall heat transfer. Int. J. Multiph. Flow 2016, 84, 292–314. [Google Scholar] [CrossRef]
- Yoo, J.; Estrada-Perez, C.E.; Hassan, Y.A. Area of bubble influence due to sliding bubbles in subcooled boiling flow. Int. J. Heat Mass Transf. 2018, 125, 43–52. [Google Scholar] [CrossRef]
- Liu, H.; Chen, D.; Qin, J.; Zhao, E.; Yan, P.; Liu, H. Visual experimental study on bubble behavior from nucleation site in vertical rectangular channel. Appl. Therm. Eng. 2022, 201, 117811. [Google Scholar] [CrossRef]
- Wang, H.; Peng, X.F.; Christopher, D.M. Dynamic bubble behavior during microscale subcooled boiling. Chin. Physis Lett. 2005, 22, 2881–2884. [Google Scholar]
- Wang, H.; Peng, X.F.; Wang, B.X.; Lin, W.K.; Pan, C. Experimental observations of bubble dynamics on ultrathin wires. Exp. Heat Transf. 2005, 18, 1–11. [Google Scholar] [CrossRef]
- Lu, J.F.; Peng, X.F. Bubble oscillation on thin wire during subcooled boling. Int. J. Heat Mass Transf. 2008, 51, 4461–4469. [Google Scholar] [CrossRef]
- Zhang, Y.; Wei, J.; Xue, Y.; Kong, X.; Zhao, J. Bubble dynamics in nucleate pool boiling on micro-pin-finned surfaces in microgravity. Appl. Therm. Eng. 2014, 70, 172–182. [Google Scholar] [CrossRef]
- Zhao, J.F.; Liu, G.; Wan, S.X.; Yan, N. Bubble Dynamics in Nucleate Pool Boiling on Thin Wires in Microgravity. Microgravity Sci. Technol. 2008, 20, 81–89. [Google Scholar] [CrossRef]
- Wang, X.; Zan, W.; Wei, J.; Sunden, B. Investigation of Bubble Departure Radius in Subcooled Pool Boiling Under Microgravity Condition. In Proceedings of the ASME 2018 International Mechanical Engineering Congress and Exposition, Pittsburgh, PA, USA, 9–15 November 2018. [Google Scholar]
- Bonjour, J.; Clausse, M.; Lallemand, M. Experimental study of the coalescence phenomenon during nucleate pool boiling. Exp. Therm. Fluid Sci. 2000, 20, 180–187. [Google Scholar] [CrossRef]
- Coulibaly, A.; Lin, X.; Bi, J.; Christopher, D.M. Bubble coalescence at constant wall temperatures during subcooled nucleate pool boiling. Exp. Therm. Fluid Sci. 2013, 44, 209–218. [Google Scholar] [CrossRef]
- Coulibaly, A.; Bi, J.; Christopher, D.M. Experimental investigation of bubble coalescence heat transfer during nucleate pool boiling. Exp. Therm. Fluid Sci. 2019, 104, 67–75. [Google Scholar] [CrossRef]
- Takeyama, M.; Kunugi, T. Flow behavior around single nucleate boiling bubble quantitatively grasped by particle tracking visualization. Int. J. Multiph. Flow 2020, 129, 103295. [Google Scholar] [CrossRef]
- Golobi, I.; Gjerke, H. Interactions between laser-activated nucleation sites in pool boiling. Int. J. Heat Mass Transf. 2001, 44, 143–153. [Google Scholar] [CrossRef]
- Zhang, L.; Shoji, M. Nucleation site interaction in pool boiling on the artificial surface. Int. J. Heat Mass Transf. 2003, 46, 513–522. [Google Scholar] [CrossRef]
- Bi, J.; Christopher, D.M.; Lin, X.; Li, X. Effects of nucleation site arrangement and spacing on bubble coalescence characteristics. Exp. Therm. Fluid Sci. 2014, 52, 116–127. [Google Scholar] [CrossRef]
- Takeyama, M.; Zupančič, M.; Kunugi, T. Influence of hydrodynamic interactions among multiple bubbles on convective heat transfer in nucleate boiling. Exp. Therm. Fluid Sci. 2021, 128, 110449. [Google Scholar] [CrossRef]
- Sinha, G.K.; Mahimkar, S.; Srivastava, A. Schlieren-based simultaneous mapping of bubble dynamics and temperature gradients in nucleate flow boiling regime: Effect of flow rates and degree of subcooling. Exp. Therm. Fluid Sci. 2019, 104, 238–257. [Google Scholar] [CrossRef]
- Zhou, J.; Qi, B.; Zhang, Y.; Wei, J.; Yang, Y.; Cao, Q. Experimental and theoretical study of bubble coalescence and departure behaviors during nucleate pool boiling on uniform smooth and micro-pin-finned surfaces under different subcoolings and heat fluxes. Exp. Therm. Fluid Sci. 2020, 112, 109996. [Google Scholar] [CrossRef]
- Sarker, D.; Ding, W.; Franz, R.; Varlamova, O.; Kovats, P.; Z¨ahringer, K.; Hampel, U. Investigations on the effects of heater surface characteristics on the bubble waiting period during nucleate boiling at low subcooling. Exp. Therm. Fluid Sci. 2019, 101, 76–86. [Google Scholar] [CrossRef]
- Narayan, S.; Singh, T.; Srivastava, A. Experiments on pool boiling regimes and bubble departure characteristics of single vapor bubble under subcooled bulk conditions. Exp. Therm. Fluid Sci. 2020, 111, 109943. [Google Scholar] [CrossRef]
- Ahmadi, S.; Hanafizadeh, P.; Eraghubi, M.; Robinson, A. Upward flow boiling of HFE-7000 in high frequency AC electric fields. Int. J. Thermofluids 2021, 10, 100076. [Google Scholar] [CrossRef]
- Soleimani, S.; Eckels, S. A review of drag reduction and heat transfer enhancement by riblet surfaces in closed and open channel flow. Int. J. Thermofluids 2021, 9, 100053. [Google Scholar] [CrossRef]
- Sugrue, R.; Buongiorno, J.; McKrell, T. An experimental study of bubble departure diameter in subcooled flow boiling including the effects of orientation angle, subcooling, mass flux, heat flux, and pressure. Nucl. Eng. Des. 2014, 279, 182–188. [Google Scholar] [CrossRef]
- Sugrue, R.; Buongiorno, J. A modified force-balance model for prediction of bubble departure diameter in subcooled flow boiling. Nucl. Eng. Des. 2016, 305, 717–722. [Google Scholar] [CrossRef]
- Raj, S.; Pathak, M.; Khan, M.K. An analytical model for predicting growth rate and departure diameter of a bubble in subcooled flow boiling. Int. J. Heat Mass Transf. 2017, 109, 470–481. [Google Scholar] [CrossRef]
- Yun, B.-J.; Splawski, A.; Lo, S.; Song, C.-H. Prediction of a subcooled boiling flow with advanced two-phase flow models. Nucl. Eng. Des. 2012, 253, 351–359. [Google Scholar] [CrossRef]
- Cho, Y.-J.; Yum, S.-B.; Lee, J.-H.; Park, G.-C. Development of bubble departure and lift-off diameter models in low heat flux and low flow velocity conditions. Int. J. Heat Mass Transf. 2011, 54, 3234–3244. [Google Scholar] [CrossRef]
- Prodanovic, V.; Fraser, D.; Salcudean, M. Bubble behaviour in subcooled flow boiling of water at low pressures and low flow rates. Int. J. Multiph. Flow 2001, 28, 1–19. [Google Scholar] [CrossRef]
- Yang, S.-M. Improvement of the basic correlating equations and transition criteria of natural convection heat transfer. Heat Transf.-Asian Res. 2001, 30, 293–300. [Google Scholar] [CrossRef]
- Tian, Y.S.; Ji, W.X.; Chen, Z.Q.; Wang, N.H. Study of transient pool boiling on vertical tube with large length-diameter ratio. CIESC J. 2021, 72, 2018–2026. [Google Scholar]













Publisher’s Note: MDPI stays neutral with regard to jurisdictional claims in published maps and institutional affiliations. |
© 2022 by the authors. Licensee MDPI, Basel, Switzerland. This article is an open access article distributed under the terms and conditions of the Creative Commons Attribution (CC BY) license (https://creativecommons.org/licenses/by/4.0/).
Share and Cite
Tian, Y.; Xu, P.; Zhang, L.; Yang, L. The Investigation of the Bubble Behaviors on the Vertical Heat Exchange Tube. Energies 2022, 15, 7097. https://doi.org/10.3390/en15197097
Tian Y, Xu P, Zhang L, Yang L. The Investigation of the Bubble Behaviors on the Vertical Heat Exchange Tube. Energies. 2022; 15(19):7097. https://doi.org/10.3390/en15197097
Chicago/Turabian StyleTian, Yongsheng, Pengfei Xu, Linhua Zhang, and Luopeng Yang. 2022. "The Investigation of the Bubble Behaviors on the Vertical Heat Exchange Tube" Energies 15, no. 19: 7097. https://doi.org/10.3390/en15197097
APA StyleTian, Y., Xu, P., Zhang, L., & Yang, L. (2022). The Investigation of the Bubble Behaviors on the Vertical Heat Exchange Tube. Energies, 15(19), 7097. https://doi.org/10.3390/en15197097
