Fault-Tolerant Operation of Bidirectional ZSI-Fed Induction Motor Drive for Vehicular Applications
Abstract
1. Introduction
1.1. Motivation
1.2. Literature Review
1.3. Research Gap and Contribution
- 1.
- Design and implement a high-gain improved modulation strategy with economical network parameters to be fed to a Bidirectional Z-source network without the use of transformers.
- 2.
- Develop an efficient fault-tolerant strategy with suitable control measures to identify and locate the fault in the corresponding switch, which facilities fast detection, with a diagnosis time of less than one switching cycle, and validate the suitability of the achieved results for vehicular applications.
- 3.
- Evaluate and compare the performance of the proposed system under different operating conditions.
- Design and implementation of a new modulations scheme which outperforms the previous methods in terms of high output voltage gain and lower complexity in control scheme that provides excellent speed-torque performance, and with high power quality output.
- Incorporation of a new fault localization algorithm based on switch vector with a suitable fault tolerant scheme.
- Inclusion of an improved speed controller with the proposed fault-tolerant strategy that facilitates a shorter diagnosis and recovery time in comparison with conventional fault-tolerant strategies implemented in the industries.
2. Modeling of the Proposed System
2.1. Bidirectional-Z-Source Network
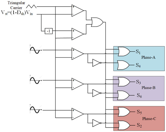
2.1.1. Modulation Scheme
2.1.2. Calculation of the Bi-ZSI Network Parameters
2.2. Induction Motor
2.2.1. Current Estimation
2.2.2. Design of the Speed Control Loop
3. Fault-Tolerant Strategy
- (a)
- One switch open-circuited in one phase;
- (b)
- Two switches open-circuited in one phase;
- (c)
- One switch short-circuited in one phase;
- (d)
- Two switches short-circuited in one phase.
3.1. Fault Detection and Localization
3.1.1. Open-Circuit Fault
3.1.2. Short-Circuit Fault
3.2. Fault Diagnosis Methodology
4. Simulation Results
4.1. Normal Operation
4.2. Faulty Operation
4.2.1. Open-Circuit Fault
4.2.2. Short-Circuit Fault

4.3. Post-Fault Operation
5. Experimental Results
5.1. Normal Operation
5.2. Faulty Operation
5.2.1. Open-Circuit Fault
5.2.2. Short-Circuit Fault

5.3. Post-Fault Operation
6. Performance Evaluation for Vehicular Application
6.1. Motor Performance
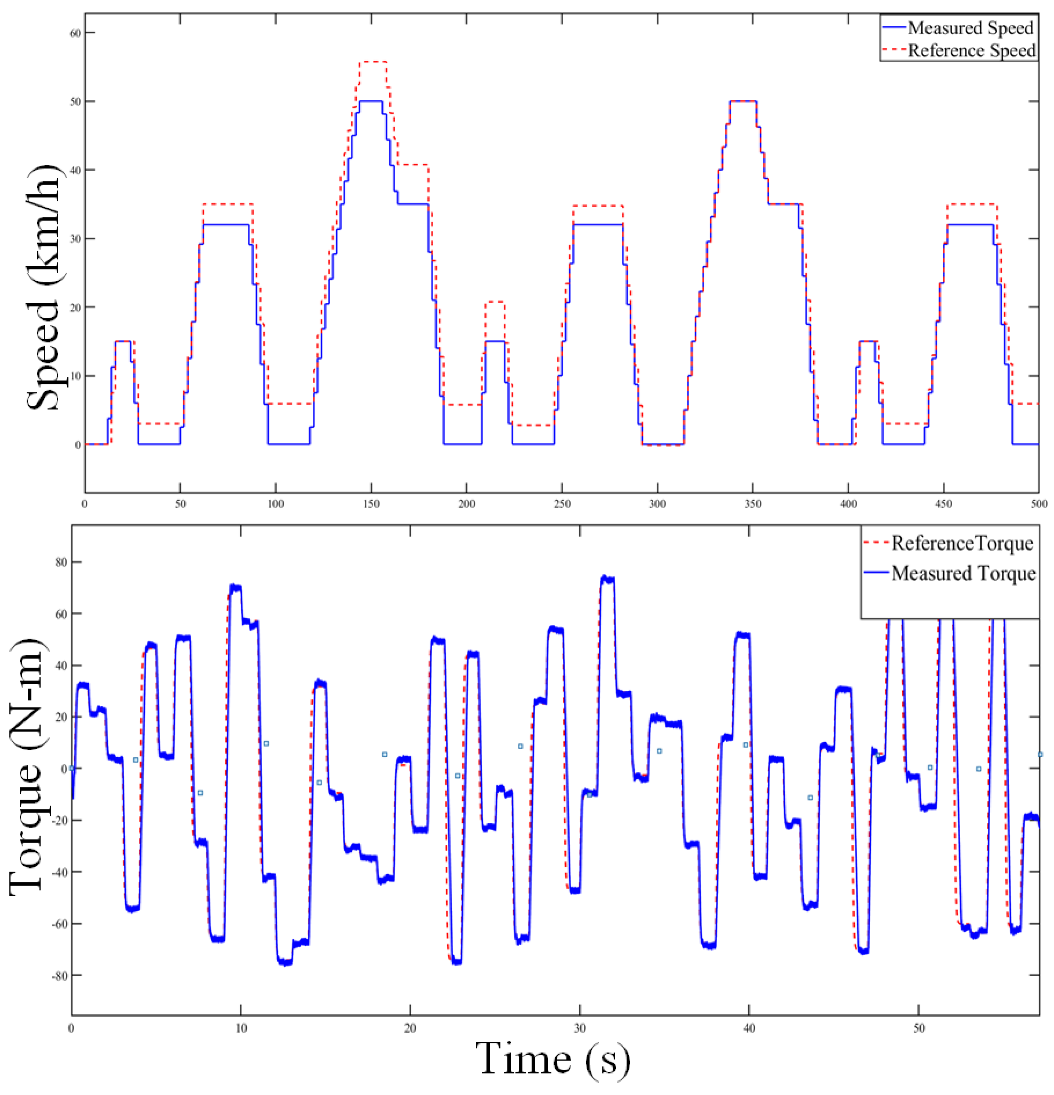
6.2. Speed Response
6.3. Harmonic Response
6.4. Torque Response
6.5. Efficiency Curve
6.6. Motor Characterises for Vehicular Application
7. Comparative Analysis
- (i)
- Traditional Z-source inverter;
- (ii)
- Cascaded H-bridge inverter.
- 1.
- The proposed fault-tolerant strategy emphasizes that the post-fault speed characteristics are not sluggish. In addition, the control scheme offers voltage balancing of the DC-link capacitors under sudden load variations. This feature specifically suits high-voltage vehicle drives.
- 2.
- The proposed converter topology facilitates a bidirectional flow of power. This added advantage can recover the kinetic energy of the vehicle during regenerative braking.
- 3.
- The obtained results are characterized by a less distorted output. This feature eliminates the problem of harmonic resonances due to the passive LC parameters of the system. The low harmonic distortion improves the utilization rate of the motor drive.
- 4.
- The economical design and implementation of the proposed fault modulation scheme can supersede the conventional voltage-based method since low-voltage switching devices with lower conduction losses are used. This results in the low weight and volume of the proposed experimental prototype.
8. Conclusions
Author Contributions
Funding
Institutional Review Board Statement
Informed Consent Statement
Data Availability Statement
Conflicts of Interest
Abbreviations
| IGBT | Insulated Gate Bipolar Transistor |
| THD | Total Harmonic Distortion |
| CVR | Capacitor Voltage Ripple |
| SDP | Switching Device Power |
| TRIAC | Triode for Alternating Current |
Appendix A
| Symbol | Parameter | Value |
|---|---|---|
| S | Distance Covered | 10 km |
| v | Average Speed | 30 km/h |
| Maximum speed | 75 km/h | |
| a | Maximum Acceleration | 2.3 m/ |
| a | Maximum Deceleration | −2.1 m/ |
| T | Idle Time | 170 s |
| Symbol | Device | Ratings |
|---|---|---|
| Stator voltage | 220 V, 50 Hz | |
| Mechanical power | 1.75 kW | |
| N | Nominal speed | 1380 rpm |
| Nominal current | 0.52 A | |
| J | Moment of inertia | 0.06 kg.m |
| Stator resistance | 1.1 | |
| Rotor resistance | 1.1 | |
| Stator inductance | 170 mH | |
| Rotor inductance | 170 mH | |
| Nominal torque | 13.3 N.m | |
| p | Pole pairs | 4 |
References
- Emadi, A.; Lee, Y.J.; Rajashekara, K. Power Electronics and Motor Drives in Electric, Hybrid Electric, and Plug-In Hybrid Electric Vehicles. IEEE Trans. Ind. Electron. 2008, 55, 2237–2245. [Google Scholar] [CrossRef]
- Pellegrino, G.; Vagati, A.; Boazzo, B.; Guglielmi, P. Comparison of Induction and PM Synchronous Motor Drives for EV Application Including Design Examples. IEEE Trans. Ind. Appl. 2012, 48, 2322–2332. [Google Scholar] [CrossRef]
- Yang, Z.; Shang, F.; Brown, I.P.; Krishnamurthy, M. Comparative Study of Interior Permanent Magnet, Induction, and Switched Reluctance Motor Drives for EV and HEV Applications. IEEE Trans. Transp. Electrif. 2015, 1, 245–254. [Google Scholar] [CrossRef]
- Devanshu, A.; Singh, M.; Kumar, N. An Improved Nonlinear Flux Observer Based Sensorless FOC IM Drive With Adaptive Predictive Current Control. IEEE Trans. Power Electron. 2020, 35, 652–666. [Google Scholar] [CrossRef]
- Emadi, A.; Rajashekara, K.; Williamson, S.S.; Lukic, S.M. Topological overview of hybrid electric and fuel cell vehicular power system architectures and configurations. IEEE Trans. Veh. Technol. 2005, 54, 763–770. [Google Scholar] [CrossRef]
- Nemeth, T.; Bubert, A.; Becker, J.N.; De Doncker, R.W.; Sauer, D.U. A Simulation Platform for Optimization of Electric Vehicles With Modular Drivetrain Topologies. IEEE Trans. Transp. Electrif. 2018, 4, 888–900. [Google Scholar] [CrossRef]
- Banerjee, D.; Ranganathan, V.T. Load-Commutated SCR Current-Source-Inverter-Fed Induction Motor Drive With Sinusoidal Motor Voltage and Current. IEEE Trans. Power Electron. 2009, 24, 1048–1061. [Google Scholar] [CrossRef]
- Kastha, D.; Majumdar, A.K. An improved starting strategy for voltage-source inverter fed three phase induction motor drives under inverter fault conditions. IEEE Trans. Power Electron. 2000, 15, 726–732. [Google Scholar] [CrossRef]
- Sebastian C, R.; Rajeevan, P.P. Load-Commutated SCR-Based Current Source Inverter Fed Induction Motor Drive With Open-End Stator Windings. IEEE Trans. Ind. Electron. 2018, 65, 2031–2038. [Google Scholar] [CrossRef]
- Kadrine, A.; Tir, Z.; Malik, O.P.; Hamida, M.A.; Reatti, A.; Houari, A. Adaptive non-linear high gain observer based sensorless speed estimation of an induction motor. J. Frankl. Inst. 2020, 357, 8995–9024. [Google Scholar] [CrossRef]
- Sher, H.A.; Addoweesh, K.E.; Khan, Y.; Kashif, S.A.R. Performance of inverter fed induction motor under open circuit DC link capacitor. In Proceedings of the IECON 2012—38th Annual Conference on IEEE Industrial Electronics Society, Montreal, QC, Canada, 25–28 October 2012; pp. 651–655. [Google Scholar] [CrossRef]
- Peng, F. Z-source inverter. IEEE Trans. Ind. Appl. 2003, 39, 504–510. [Google Scholar] [CrossRef]
- Peng, F.Z.; Joseph, A.; Wang, J.; Shen, M.; Chen, L.; Pan, Z.; Ortiz-Rivera, E.; Huang, Y. Z-source inverter for motor drives. IEEE Trans. Power Electron. 2005, 20, 857–863. [Google Scholar] [CrossRef]
- Tidke, R.; Chowdhury, A. Quasi ZSI-Fed Sliding Mode Control-based Indirect Field-Oriented Control of IM Using PI-Fuzzy Logic Speed Controller. Electrica 2021, 22, 70–83. [Google Scholar] [CrossRef]
- Sonandkar, S.; Selvaraj, R.; Chelliah, T.R. Fault Tolerant Capability of Battery Assisted Quasi-Z-Source Inverter Fed Five Phase PMSM Drive for Marine Propulsion Applications. In Proceedings of the 2020 IEEE International Conference on Power Electronics, Drives and Energy Systems (PEDES), Jaipur, India, 16–19 December 2020; pp. 1–6. [Google Scholar] [CrossRef]
- Sharma, V.; Saini, P.; Garg, S.; Negi, B. Comparative analysis of VSI, CSI and ZSI fed induction motor drive system. In Proceedings of the 2016 3rd International Conference on Computing for Sustainable Global Development (INDIACom), New Delhi, India, 16–18 March 2016; pp. 1188–1191. [Google Scholar]
- de Araujo Ribeiro, R.L.; Jacobina, C.B.; da Silva, E.R.C.; Lima, A.M.N. Fault-tolerant voltage-fed PWM inverter AC motor drive systems. IEEE Trans. on Ind. Electron. 2004, 51, 439–446. [Google Scholar] [CrossRef]
- Yu, Y.; Zhao, Y.; Wang, B.; Huang, X.; Xu, D. Current Sensor Fault Diagnosis and Tolerant Control for VSI-Based Induction Motor Drives. IEEE Trans. Power Electron. 2018, 33, 4238–4248. [Google Scholar] [CrossRef]
- Melo, V.F.M.B.; Jacobina, C.B.; Rocha, N.; Braga-Filho, E.R. Fault Tolerance Performance of Two Hybrid Six-Phase Drive Systems Under Single-Phase Open-Circuit Fault Operation. IEEE Trans. Ind. Appl. 2019, 55, 2973–2983. [Google Scholar] [CrossRef]
- Tousizadeh, M.; Che, H.S.; Selvaraj, J.; Rahim, N.A.; Ooi, B. Performance Comparison of Fault-Tolerant Three-Phase Induction Motor Drives Considering Current and Voltage Limits. IEEE Trans. Ind. Electron. 2019, 66, 2639–2648. [Google Scholar] [CrossRef]
- Errabelli, R.R.; Mutschler, P. Fault-Tolerant Voltage Source Inverter for Permanent Magnet Drives. IEEE Trans. Power Electron. 2012, 27, 500–508. [Google Scholar] [CrossRef]
- Yao, F.; Wang, B.; Li, Z.; Peng, Y. Reliability study on DC-link capacitor in fault states of VSI in elective vehicle. J. Eng. 2019, 2019, 2544–2550. [Google Scholar] [CrossRef]
- Zhang, H.; Zhao, W.; Wang, J. Fault-Tolerant Control for Electric Vehicles With Independently Driven in-Wheel Motors Considering Individual Driver Steering Characteristics. IEEE Trans. Veh. Technol. 2019, 68, 4527–4536. [Google Scholar] [CrossRef]
- Sher, H.A.; Addoweesh, K.E.; Khalid, Z.; Khan, Y. Theoretical and experimental analysis of inverter fed induction motor system under DC link capacitor failure. J. King Saud Univ. -Eng. Sci. 2017, 29, 103–111. [Google Scholar] [CrossRef]
- Li, J.N.; Wang, A.M.; Miao, K.Z.; Li, L.S. Failure-distribution-dependent H∞ fuzzy fault-tolerant control for multiple-degree-of-freedom nonlinear bilateral teleoperation system. J. Frankl. Inst. 2020, 357, 13511–13533. [Google Scholar] [CrossRef]
- Zhang, W.; Xu, D.; Enjeti, P.N.; Li, H.; Hawke, J.T.; Krishnamoorthy, H.S. Survey on Fault-Tolerant Techniques for Power Electronic Converters. IEEE Trans. Power Electron. 2014, 29, 6319–6331. [Google Scholar] [CrossRef]
- Yepes, A.G. A Comprehensive Survey on Fault Tolerance in Multiphase AC Drives, Part 1: General Overview Considering Multiple Fault Types. Machines 2022, 10, 208. [Google Scholar] [CrossRef]
- Li, S.; Xu, L. Strategies of fault tolerant operation for three-level PWM inverters. IEEE Trans. Power Electron. 2006, 21, 933–940. [Google Scholar] [CrossRef]
- Mirafzal, B. Survey of Fault-Tolerance Techniques for Three-Phase Voltage Source Inverters. IEEE Trans. Ind. Electron. 2014, 61, 5192–5202. [Google Scholar] [CrossRef]
- Wang, N.; Pan, X.; Su, S.F. Finite-time fault-tolerant trajectory tracking control of an autonomous surface vehicle. J. Frankl. Inst. 2020, 357, 11114–11135. [Google Scholar] [CrossRef]
- Abdelhakim, A.; Davari, P.; Blaabjerg, F.; Mattavelli, P. An improved modulation strategy for the three-phase Z-source inverters (ZSIs). In Proceedings of the 2017 IEEE Energy Conversion Congress and Exposition (ECCE), Cincinnati, OH, USA, 1–5 October 2017; pp. 4237–4243. [Google Scholar] [CrossRef]
- Abdelhakim, A.; Blaabjerg, F.; Mattavelli, P. Modulation Schemes of the Three-Phase Impedance Source Inverters—Part I: Classification and Review. IEEE Trans. Ind. Electron. 2018, 65, 6309–6320. [Google Scholar] [CrossRef]
- Abdelhakim, A.; Blaabjerg, F.; Mattavelli, P. Modulation Schemes of the Three-Phase Impedance Source Inverters—Part II: Comparative Assessment. IEEE Trans. Ind. Electron. 2018, 65, 6321–6332. [Google Scholar] [CrossRef]
- Lee, H.J.; Jung, S.; Sul, S.K. A current controller design for current source inverter-fed PMSM drive system. In Proceedings of the 8th International Conference on Power Electronics—ECCE Asia, Jeju, Korea, 30 May–3 June 2011; pp. 1364–1370. [Google Scholar] [CrossRef]
- Yang, S.; Tong, C.; Sui, Y.; Yin, Z.; Zheng, P. Current-Source Inverter Fed Five-Phase PMSM Drives With Pentagon Stator Winding Considering SVM Scheme, Resonance Damping, and Fault Tolerance. IEEE Trans. Ind. Electron. 2022, 1–11. [Google Scholar] [CrossRef]
- Rajakaruna, S.; Jayawickrama, Y.R.L. Designing impedance network of Z-source inverters. In Proceedings of the 2005 International Power Engineering Conference, Singapore, 8 May 2005; Volume 2, pp. 962–967. [Google Scholar] [CrossRef]
- Liu, Y.; Ge, B.; Abu-Rub, H.; Peng, F.Z. Overview of Space Vector Modulations for Three-Phase Z-Source/Quasi-Z-Source Inverters. IEEE Trans. Power Electron. 2014, 29, 2098–2108. [Google Scholar] [CrossRef]
- Diab, M.S.; Elserougi, A.A.; Massoud, A.M.; Abdel-Khalik, A.S.; Ahmed, S. A Pulsewidth Modulation Technique for High-Voltage Gain Operation of Three-Phase Z-Source Inverters. IEEE J. Emerg. Sel. Top. Power Electron. 2016, 4, 521–533. [Google Scholar] [CrossRef]
- Bakar, M.S.; Rahim, N.A.; Ghazali, K.H.; Hanafi, A.H.M. Z-source inverter pulse width modulation: A survey. In Proceedings of the International Conference on Electrical, Control and Computer Engineering 2011 (InECCE), Kuantan, Malaysia, 21–22 June 2011; pp. 313–316. [Google Scholar]
- Sharma, V.; Hossain, M.J.; Ali, S.M.N. Fault Protection Technique for ZSI-fed Single-Phase Induction Motor Drive System. In Proceedings of the 2018 IEEE Region Ten Symposium (Tensymp), Sydney, NSW, Australia, 4–6 July 2018; pp. 30–35. [Google Scholar] [CrossRef]
- Ellabban, O.; Van Mierlo, J.; Lataire, P. A comparative study of different control techniques for an induction motor fed by a Z-source inverter for electric vehicles. In Proceedings of the 2011 International Conference on Power Engineering, Energy and Electrical Drives, Malaga, Spain, 11–13 May 2011; pp. 1–7. [Google Scholar]
- Ellabban, O.; Van Mierlo, J.; Lataire, P. Comparison between different PWM control methods for different Z-source inverter topologies. In Proceedings of the 2009 13th European Conference on Power Electronics and Applications, Barcelona, Spain, 8–10 September 2009; pp. 1–11. [Google Scholar]
- Thurlbeck, A.P.; Cao, Y. A Mission Profile-Based Reliability Modeling Framework for Fault-Tolerant Electric Propulsion. IEEE Trans. Ind. Appl. 2022, 58, 2312–2323. [Google Scholar] [CrossRef]
- Sharma, V.; Hossain, M.J.; Ali, S.M.N.; Kashif, M. Bi-directional TRIAC fault-protection technique for Z-source half-bridge converter-fed AC motor Drives. In Proceedings of the 2018 Australasian Universities Power Engineering Conference (AUPEC), Auckland, New Zealand, 27–30 November 2018; pp. 1–6. [Google Scholar] [CrossRef]
- Hubbi, W.; Goldberg, O. A new method for quality monitoring of induction motors. IEEE Trans. Energy Convers. 1993, 8, 726–731. [Google Scholar] [CrossRef]
- Medarametla, J.; Cox, M.; Baghzouz, Y. Calculations and measurements of the Unity Plus three-phase induction motor. IEEE Trans. Energy Convers. 1992, 7, 732–738. [Google Scholar] [CrossRef]
- Kastha, D.; Bose, B. Fault mode single-phase operation of a variable frequency induction motor drive and improvement of pulsating torque characteristics. IEEE Trans. Ind. Electron. 1994, 41, 426–433. [Google Scholar] [CrossRef]
- Li, B.; Shi, S.; Wang, B.; Wang, G.; Wang, W.; Xu, D. Fault Diagnosis and Tolerant Control of Single IGBT Open-Circuit Failure in Modular Multilevel Converters. IEEE Trans. Power Electron. 2016, 31, 3165–3176. [Google Scholar] [CrossRef]
- Farhadi, M.; Fard, M.T.; Abapour, M.; Hagh, M.T. DC–AC Converter-Fed Induction Motor Drive With Fault-Tolerant Capability Under Open- and Short-Circuit Switch Failures. IEEE Trans. Power Electron. 2018, 33, 1609–1621. [Google Scholar] [CrossRef]
- Sleszynski, W.; Nieznanski, J.; Cichowski, A. Open-Transistor Fault Diagnostics in Voltage-Source Inverters by Analyzing the Load Currents. IEEE Trans. Ind. Electron. 2009, 56, 4681–4688. [Google Scholar] [CrossRef]
- Lu, B.; Sharma, S.K. A Literature Review of IGBT Fault Diagnostic and Protection Methods for Power Inverters. IEEE Trans. Ind. Appl. 2009, 45, 1770–1777. [Google Scholar]
- Rothenhagen, K.; Fuchs, F.W. Performance of diagnosis methods for IGBT open circuit faults in three phase voltage source inverters for AC variable speed drives. In Proceedings of the 2005 European Conference on Power Electronics and Applications, Dresden, Germany, 11–14 September 2005. [Google Scholar]
- Guzman, H.; Barrero, F.; Duran, M.J. IGBT-Gating Failure Effect on a Fault-Tolerant Predictive Current-Controlled Five-Phase Induction Motor Drive. IEEE Trans. Ind. Electron. 2015, 62, 15–20. [Google Scholar] [CrossRef]
- Diallo, D.; Benbouzid, M.E.H.; Makouf, A. A fault-tolerant control architecture for induction motor drives in automotive applications. IEEE Trans. Veh. Techn. 2004, 53, 1847–1855. [Google Scholar] [CrossRef]
- Le Duc, D.; Hong, S.; Lee, D.C. Fault detection and tolerant control for flying-capacitor modular multilevel converters feeding induction motor drives. J. Power Electron. 2022, 22, 947–958. [Google Scholar] [CrossRef]
- Aleenejad, M.; Ahmadi, R. Fault-tolerant multilevel cascaded H-bridge inverter using impedance-sourced network. IET Power Electron. 2016, 9, 2186–2195. [Google Scholar] [CrossRef]
- Haji-Esmaeili, M.M.; Naseri, M.; Khoun-Jahan, H.; Abapour, M. Fault-Tolerant and Reliable Structure for a Cascaded Quasi-Z-Source DC–DC Converter. IEEE Trans. Power Electron. 2017, 32, 6455–6467. [Google Scholar] [CrossRef]
- Aleenejad, M.; Mahmoudi, H.; Ahmadi, R. A Fault-Tolerant Strategy Based on Fundamental Phase-Shift Compensation for Three-Phase Multilevel Converters With Quasi-Z-Source Networks With Discontinuous Input Current. IEEE Trans. Power Electron. 2016, 31, 7480–7488. [Google Scholar] [CrossRef]
- Fernão Pires, V.; Cordeiro, A.; Foito, D.; Martins, J.F. Quasi-Z-Source Inverter With a T-Type Converter in Normal and Failure Mode. IEEE Trans. Power Electron. 2016, 31, 7462–7470. [Google Scholar] [CrossRef]

















| Proposed | [43] | [37] | [42] | [32] | [33] | |
|---|---|---|---|---|---|---|
| Number of | 3 | 5 | 3 | 4 | 3/4 | 3/4 |
| Reference Signals | ||||||
| Boost Factor | 2.7 | 1.5 | 1.7 | 2.5 | 2 | 2.5 |
| Voltage Gain | ||||||
| Maximum | - | - | ||||
| Voltage Stress | ||||||
| Peak transient | 1.1 pu | 2.3 pu | 2.4 pu | 2 pu | 1.0 pu | 1.2 pu |
| Overvoltage | ||||||
| on Upper IGBTs | ||||||
| Peak transient | 1.2 pu | 2.3 pu | 2.6 pu | < 2 pu | - | - |
| Overvoltage | ||||||
| on Lower IGBTs | ||||||
| Capacitor Voltage | Low | High | High | Low | Low | Low |
| Ripple | ||||||
| (CVR) | ||||||
| Switching Device | Low | Low | High | Medium | Low | Low |
| Power | ||||||
| (SDP) | ||||||
| Filter | Low | Bulky | Bulky | Low | Low | Low |
| Requirement |
| S. No. | Symbol | Device | Parameter Value |
|---|---|---|---|
| 1 | Source voltage | 150 V | |
| 2 | Output voltage | 400 V | |
| 2 | , | Capacitors of the Bi-Z-source | 1000 F |
| 3 | , | Inductors of the Bi-Z-source | 3.3 mH |
| 4 | f | Line frequency | 50 Hz |
| 5 | Switching frequency | 5 kHz |
| Switch | ||||||
|---|---|---|---|---|---|---|
| ≤0 | >0.45 | |||||
| ≤0 | >0.45 | |||||
| ≤0 | >0.45 | |||||
| >0 | >0.45 | |||||
| >0 | >0.45 | |||||
| >0 | >0.45 |
| State | Switching State | Voltage Vector |
|---|---|---|
| 1 | ||
| 2 | ||
| 3 | ||
| 4 |
| THD (%) | ||
|---|---|---|
| Case | Simulation | Experimental |
| Normal Operation | 0.79 | 1.56 |
| Open-circuit fault | 78.06 | 82.63 |
| Short-circuit fault | 45.02 | 49.60 |
| Proposed fault-tolerant strategy | 1.41 | 2.36 |
| Strategy | OC Switch | SC Switch | Complexity | Properties |
|---|---|---|---|---|
| Fault Covered | Fault Covered | |||
| [55] | Yes | Yes | Average | Able to force common-mode |
| voltage to zero | ||||
| Ride-through capability during switch failure | ||||
| [56] | Yes | Yes | Complex | Enabling of the Z-source CHB is required |
| Hardware complexity | ||||
| [57] | No | No | Complex | Cascaded connection required |
| Access to neutral point is required | ||||
| [58] | Yes | Yes | Complex | Only for multilevel converter topology |
| Focused on phase-shift compensation | ||||
| [59] | Yes | Yes | Average | Requires extra hardware |
| Access to dc-bus mid-point is not required | ||||
| Proposed | Yes | Yes | Simple | Applicable to motor drive |
| Strategy | No capacitor balancing issues | |||
| Fast and efficient post-fault strategy | ||||
| Lower conduction losses |
Publisher’s Note: MDPI stays neutral with regard to jurisdictional claims in published maps and institutional affiliations. |
© 2022 by the authors. Licensee MDPI, Basel, Switzerland. This article is an open access article distributed under the terms and conditions of the Creative Commons Attribution (CC BY) license (https://creativecommons.org/licenses/by/4.0/).
Share and Cite
Sharma, V.; Hossain, M.J.; Mukhopadhyay, S. Fault-Tolerant Operation of Bidirectional ZSI-Fed Induction Motor Drive for Vehicular Applications. Energies 2022, 15, 6976. https://doi.org/10.3390/en15196976
Sharma V, Hossain MJ, Mukhopadhyay S. Fault-Tolerant Operation of Bidirectional ZSI-Fed Induction Motor Drive for Vehicular Applications. Energies. 2022; 15(19):6976. https://doi.org/10.3390/en15196976
Chicago/Turabian StyleSharma, Vivek, Md. Jahangir Hossain, and Subhas Mukhopadhyay. 2022. "Fault-Tolerant Operation of Bidirectional ZSI-Fed Induction Motor Drive for Vehicular Applications" Energies 15, no. 19: 6976. https://doi.org/10.3390/en15196976
APA StyleSharma, V., Hossain, M. J., & Mukhopadhyay, S. (2022). Fault-Tolerant Operation of Bidirectional ZSI-Fed Induction Motor Drive for Vehicular Applications. Energies, 15(19), 6976. https://doi.org/10.3390/en15196976
