An Improved PLL-Based Speed Estimation Method for Induction Motors through Harmonic Separation
Abstract
:1. Introduction
2. The Time and Frequency Properties of Rotor Slot Harmonics in IMs
2.1. The Analytical Model of RSHs for Multiphase IMs
2.2. The Basic Principle of SOGI-PLL
2.3. The Dynamic Tracking Error of PLL Due to the Amplitude Fluctuation of Input Signal
3. Harmonic Separation Speed Estimation Method for Multiphase IMs
4. Simulation and Experimental Results
4.1. Experiment Platform Setup
4.2. Simulated Speed Estimation Results under Different Speed and Load Conditions
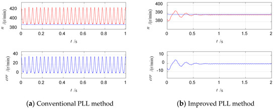
4.3. Online Speed Estimation Results under Different Speed and Load Conditions
5. Conclusions
Author Contributions
Funding
Institutional Review Board Statement
Informed Consent Statement
Data Availability Statement
Conflicts of Interest
References
- Levi, E. Multiphase Electric Machines for Variable-Speed Applications. IEEE Trans. Ind. Electron. 2008, 55, 1893–1909. [Google Scholar] [CrossRef]
- Diarra, M.N.; Yao, Y.; Li, Z.; Niasse, M.; Li, Y.; Zhao, H. In-Situ Efficiency Estimation of Induction Motors Based on Quantum Particle Swarm Optimization-Trust Region Algorithm (QPSO-TRA). Energies 2022, 15, 4905. [Google Scholar] [CrossRef]
- Wang, H.; Yang, Y.; Ge, X.; Zuo, Y.; Yue, Y.; Li, S. PLL- and FLL-Based Speed Estimation Schemes for Speed-Sensorless Control of Induction Motor Drives: Review and New Attempts. IEEE Trans. Power Electron. 2022, 37, 3334–3356. [Google Scholar] [CrossRef]
- Gu, C.; Wang, X.; Shi, X.; Deng, Z. A PLL-Based Novel Commutation Correction Strategy for a High-Speed Brushless DC Motor Sensorless Drive System. IEEE Trans. Ind. Electron. 2018, 65, 3752–3762. [Google Scholar] [CrossRef]
- Shen, J.X.; Iwasaki, S. Sensorless control of ultrahigh-speed PM brushless motor using PLL and third harmonic back EMF. IEEE Trans. Ind. Electron. 2006, 53, 421–428. [Google Scholar] [CrossRef]
- Song, X.; Han, B.; Zheng, S.; Chen, S. A Novel Sensorless Rotor Position Detection Method for High-Speed Surface PM Motors in a Wide Speed Range. IEEE Trans. Power Electron. 2018, 33, 7083–7093. [Google Scholar] [CrossRef]
- Orfanoudakis, G.I.; Sharkh, S.M.; Yuratich, M.A. Combined Positive-Sequence Flux Estimation and Current Balancing for Sensorless Motor Control Under Imbalanced Conditions. IEEE Trans. Ind. Appl. 2021, 57, 5099–5107. [Google Scholar] [CrossRef]
- Wang, H.; Wu, X.; Zheng, X.; Yuan, X. Virtual Voltage Vector based Model Predictive Control for a Nine-phase Open-end Winding PMSM with a Common DC Bus. IEEE Trans. Ind. Electron. 2022, 69, 5386–5397. [Google Scholar] [CrossRef]
- Herrejón-Pintor, G.A.; Melgoza-Vázquez, E.; Chávez, J.d.J. A Modified SOGI-PLL with Adjustable Refiltering for Improved Stability and Reduced Response Time. Energies 2022, 15, 4253. [Google Scholar] [CrossRef]
- Ibarra, L.; Ponce, P.; Ayyanar, R.; Molina, A. A Non-Adaptive Single-Phase PLL Based on Discrete Half-Band Filtering to Suppress Severe Frequency Disturbances. Energies 2020, 13, 1730. [Google Scholar] [CrossRef] [Green Version]
- Filipović, F.; Petronijević, M.; Mitrović, N.; Banković, B.; Kostić, V. A Novel Repetitive Control Enhanced Phase-Locked Loop for Synchronization of Three-Phase Grid-Connected Converters. Energies 2020, 13, 135. [Google Scholar] [CrossRef]
- Yang, D.; Yin, L.; Xu, S.; Wu, N. Power Voltage Control for Single-Phase Cascaded H-Bridge Multilevel Converters under Unbalanced Loads. Energies 2018, 11, 2435. [Google Scholar] [CrossRef]
- Novak, Z.; Novak, M. Adaptive PLL-Based Sensorless Control for Improved Dynamics of High-Speed PMSM. IEEE Trans. Power Electron. 2022, 37, 10154–10165. [Google Scholar] [CrossRef]
- Gao, Z.; Turner, L.; Colby, R.S.; Leprettre, B. A Frequency Demodulation Approach to Induction Motor Speed Detection. IEEE Trans. Ind. Appl. 2011, 47, 1632–1642. [Google Scholar] [CrossRef]
- Keysan, O.; Ertan, H.B. Real-Time Speed and Position Estimation Using Rotor Slot Harmonics. IEEE Trans. Ind. Inform. 2013, 9, 899–908. [Google Scholar] [CrossRef]
- Yu, J.; Shen, H.; Wang, H.; Wu, X. Speed Estimation of Multiphase Induction Motor using Rotor Slot Harmonics with Limited SNR and Dynamic Load Conditions. IEEE Trans. Ind. Electron. 2022. [Google Scholar] [CrossRef]
- Liu, G.; Zhang, H.; Song, X. Position-Estimation Deviation-Suppression Technology of PMSM Combining Phase Self-Compensation SMO and Feed-Forward PLL. IEEE J. Emerg. Sel. Top. Power Electron. 2021, 9, 335–344. [Google Scholar] [CrossRef]
- Prakash, S.; Singh, J.K.; Behera, R.K.; Mondal, A. A Type-3 Modified SOGI-PLL With Grid Disturbance Rejection Capability for Single-Phase Grid-Tied Converters. IEEE Trans. Ind. Appl. 2021, 57, 4242–4252. [Google Scholar] [CrossRef]
- Ciobotaru, M.; Teodorescu, R.; Blaabjerg, F. A new single-phase PLL structure based on second order generalized integrator. In Proceedings of the 2006 37th IEEE Power Electronics Specialists Conference, Jeju, Korea, 18–22 June 2006; pp. 1–6. [Google Scholar] [CrossRef]



















| Symbol | Parameter | Value |
|---|---|---|
| PN | Rated motor power | 8 kW |
| m | Phase number | 9 |
| fN | Rated power supply frequency | 50 Hz |
| p | Pole pairs | 2 |
| nN | Rated speed | 1477 r/min |
| IN | Rated phase current | 12.87 A |
| Z2 | Rotor slot number | 54 |
| Speed n (r/min) | Slip Ratio sm | Steady Error of the Conventional Method (r/min) | Steady Error of the Proposed Method (r/min) |
|---|---|---|---|
| 240 | 0.044 | 19.8 (8.25%) | 1.8 (0.75%) |
| 450 | 0.022 | 32.3 (7.18%) | 2.2 (0.49%) |
| 685 | 0.022 | 40.9 (5.97%) | 2.0 (0.29%) |
| 930 | 0.021 | 51.2 (5.51%) | 5.9 (0.63%) |
| 1251 | 0.038 | 60.5 (4.84%) | 7.4 (0.59%) |
| 1464 | 0.024 | 69.1 (4.72%) | 8.1 (0.55%) |
Publisher’s Note: MDPI stays neutral with regard to jurisdictional claims in published maps and institutional affiliations. |
© 2022 by the authors. Licensee MDPI, Basel, Switzerland. This article is an open access article distributed under the terms and conditions of the Creative Commons Attribution (CC BY) license (https://creativecommons.org/licenses/by/4.0/).
Share and Cite
Yu, J.; Zhang, Y.; Zheng, X. An Improved PLL-Based Speed Estimation Method for Induction Motors through Harmonic Separation. Energies 2022, 15, 6626. https://doi.org/10.3390/en15186626
Yu J, Zhang Y, Zheng X. An Improved PLL-Based Speed Estimation Method for Induction Motors through Harmonic Separation. Energies. 2022; 15(18):6626. https://doi.org/10.3390/en15186626
Chicago/Turabian StyleYu, Jie, Youjun Zhang, and Xiaoqin Zheng. 2022. "An Improved PLL-Based Speed Estimation Method for Induction Motors through Harmonic Separation" Energies 15, no. 18: 6626. https://doi.org/10.3390/en15186626
APA StyleYu, J., Zhang, Y., & Zheng, X. (2022). An Improved PLL-Based Speed Estimation Method for Induction Motors through Harmonic Separation. Energies, 15(18), 6626. https://doi.org/10.3390/en15186626
