Investigation on Flow Maldistribution and Thermo-Hydraulic Performance of PCHEs with Spoiler Perforated Boards
Abstract
:1. Introduction
2. Mathematical Approach
2.1. Physical Model and Boundary Conditions
2.2. Governing Equations and Numerical Approach
2.3. Data Reduction
2.4. Numerical Model Validation
3. Results and Discussion
3.1. Thermo-Hydraulic Performance of DF-PCHE without SPBs
3.2. Thermo-Hydraulic Performance of DF-PCHE with SPBs
3.3. Mechanism Analysis
3.4. Effects of Hole Diameter on 3 × 3 SPB
4. Conclusions
- (1)
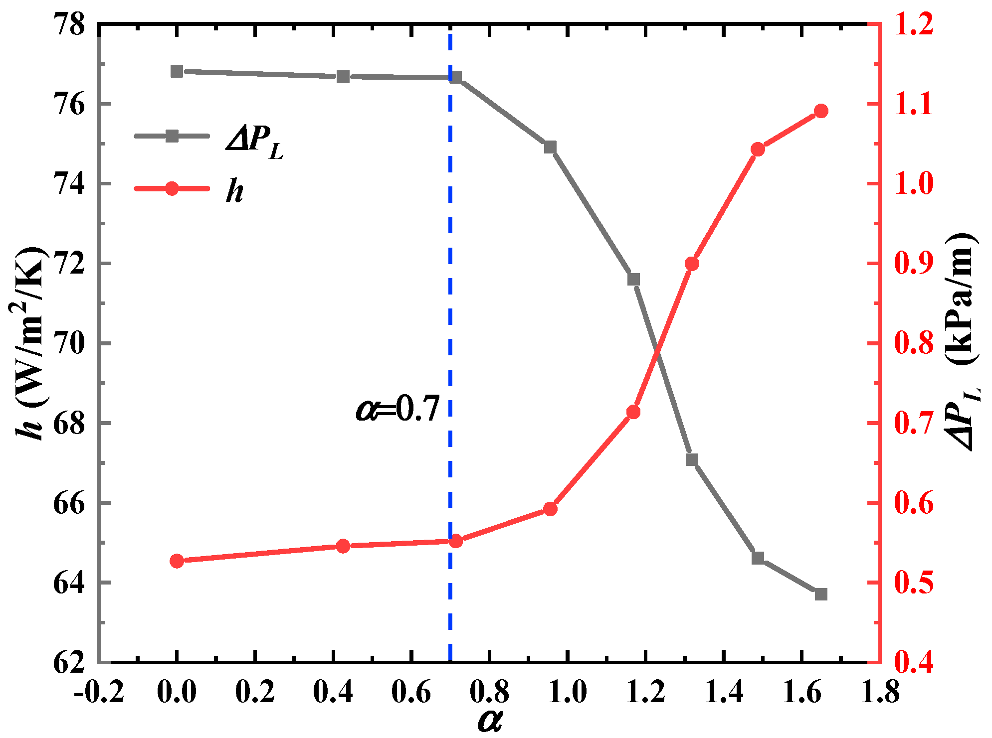
- A small maldistribution coefficient (α) for the DF-PCHE channels inlet velocity field is beneficial for the heat transfer performance and the pressure drop; α = 0.7 is an acceptable velocity profile for the inlet.
- (2)
- The SPBs rapidly decrease α for the velocity fields, and the 3 × 3 SPB causes α to first reach 0.7 among all the SPBs at ΔL = 150 mm.
- (3)
- Applying the velocity profile at the inlet, the h values for the 3 × 3, 4 × 4, and 5 × 5 SPB cases increase by 22.46%, 18.72%, and 18.64%, respectively, compared to that for the case without SPB. Moreover, their ΔPL values correspondingly decrease by 47.2%, 40.28%, and 39.63%, respectively, compared to that for the case without SPB.
- (4)
- The hole diameter Φd = 30 and 25mm are all acceptable, while the Φd = 20 mm causes larger secondary flow and poor thermo-hydraulic performances.
Author Contributions
Funding
Informed Consent Statement
Conflicts of Interest
Nomenclature
| Ac | Area (m2) |
| C1, C2 | Realized k-ε model constants |
| Cp | Specific heat capacity (J/kg/K) |
| DF | Discontinuous fins |
| E | Internal energy (J/kg) |
| h | Heat transfer coefficient (W/m2/K) |
| HE | Heat exchanger |
| L | Length (m) |
| T | Temperature (K) |
| P | Pressure (Pa) |
| PCHE | Printed circuit heat exchanger |
| q | Heat flux (W) |
| SPB | Spoiler perforated board |
| u, v, w | Streamwise, transverse, and vertical velocity component (m/s) |
| Greek letters | |
| α | Maldistribution coefficient |
| ε | Turbulence dissipation rate (m3/s2) |
| λ | Thermal conductivity (W/m/K) |
| μ | Dynamic viscosity (kg/m/s) |
| ρ | Density of fluid (kg/m3) |
| Φd | Hole diameter (mm) |
| Subscripts | |
| in, out | Inlet and outlet |
| i, j, k | Directions of the coordinate system |
| wall | Wall |
References
- Kim, J.H.; Baek, S.; Jeong, S.; Jung, J. Hydraulic performance of a microchannel PCHE. Appl. Therm. Eng. 2010, 30, 2157–2162. [Google Scholar] [CrossRef]
- Wang, W.; Li, B.; Tan, Y.; Li, B.; Shuai, Y. Multi-objective optimal design of NACA airfoil fin PCHE recuperator for micro-gas turbine systems. Appl. Therm. Eng. 2022, 204, 117864. [Google Scholar] [CrossRef]
- Meshram, A.; Jaiswal, A.K.; Khivsara, S.D.; Ortega, J.D.; Ho, C.; Bapat, R.; Dutta, P. Modeling and analysis of a printed circuit heat exchanger for supercritical CO2 power cycle applications. Appl. Therm. Eng. 2016, 109, 861–870. [Google Scholar] [CrossRef]
- Xu, X.; Ma, T.; Li, L.; Zeng, M.; Chen, Y.; Huang, Y.; Wang, Q. Optimization of fin arrangement and channel configuration in an airfoil fin PCHE for supercritical CO2 cycle. Appl. Therm. Eng. 2014, 70, 867–875. [Google Scholar] [CrossRef]
- Huang, C.; Cai, W.; Wang, Y.; Liu, Y.; Li, Q.; Li, B. Review on the characteristics of flow and heat transfer in printed circuit heat exchangers. Appl. Therm. Eng. 2019, 153, 190–205. [Google Scholar] [CrossRef]
- Chen, M.; Sun, X.; Christensen, R.N.; Shi, S.; Skavdahl, I.; Utgikar, V.; Sabharwall, P. Experimental and numerical study of a printed circuit heat exchanger. Ann. Nucl. Energy 2016, 97, 221–231. [Google Scholar] [CrossRef]
- Chang, H.; Lian, J.; Ma, T.; Li, L.; Wang, Q. Design and optimization of an annular air-hydrogen precooler for advanced space launchers engines. Energy Convers. Manag. 2021, 241, 114279. [Google Scholar] [CrossRef]
- Pan, J.; Wang, J.; Tang, L.; Bai, J.; Li, R.; Lu, Y.; Wu, G. Numerical investigation on thermal-hydraulic performance of a printed circuit LNG vaporizer. Appl. Therm. Eng. 2020, 165, 114447. [Google Scholar] [CrossRef]
- Yoon, S.H.; No, H.C.; Kang, G.B. Assessment of straight, zigzag, S-shape, and airfoil PCHEs for intermediate heat exchangers of HTGRs and SFRs. Nucl. Eng. Des. 2014, 270, 334–343. [Google Scholar] [CrossRef]
- Tsuzuki, N.; Kato, Y.; Ishiduka, T. High performance printed circuit heat exchanger. Appl. Therm. Eng. 2007, 27, 1702–1707. [Google Scholar] [CrossRef]
- Kim, D.E.; Kim, M.H.; Cha, J.E.; Kim, S.O. Numerical investigation on thermal–hydraulic performance of new printed circuit heat exchanger model. Nucl. Eng. Des. 2008, 238, 3269–3276. [Google Scholar] [CrossRef]
- Lalot, P.F.S.; Lang, S.K.; Bergles, A.E. Flow maldistribution in heat exchangers. Appl. Therm. Eng. 1999, 19, 847–863. [Google Scholar] [CrossRef]
- Yang, H.; Wen, J.; Gu, X.; Liu, Y.; Wang, S.; Cai, W.; Li, Y. A mathematical model for flow maldistribution study in a parallel plate-fin heat exchanger. Appl. Therm. Eng. 2017, 121, 462–472. [Google Scholar] [CrossRef]
- Wen, J.; Li, Y. Study of flow distribution and its improvement on the header of plate-fin heat exchanger. Cryogenics 2004, 44, 823–831. [Google Scholar] [CrossRef]
- Wen, J.; Li, Y.; Zhou, A.; Zhang, K.; Wang, J. PIV experimental investigation of entrance configuration on flow maldistribution in plate-fin heat exchanger. Cryogenics 2006, 46, 37–48. [Google Scholar] [CrossRef]
- Habib, M.A.; Ben-Mansour, R.; Said, S.A.M.; Al-Qahtani, M.S.; Al-Bagawi, J.J.; Al-Mansour, K.M. Evaluation of flow maldistribution in air-cooled heat exchangers. Comput. Fluids 2009, 38, 677–690. [Google Scholar] [CrossRef]
- Chu, W.X.; Bennett, K.; Cheng, J.; Chen, Y.-T.; Wang, Q.-W. Numerical study on a novel hyperbolic inlet header in straight-channel printed circuit heat exchanger. Appl. Therm. Eng. 1999, 146, 805–814. [Google Scholar] [CrossRef]
- Fernández, I.; Sedano, L. Design analysis of a lead–lithium/supercritical CO2 Printed Circuit Heat Exchanger for primary power recovery. Fusion Eng. Des. 2013, 88, 2427–2430. [Google Scholar] [CrossRef]
- Wang, W.; Shuai, Y.; Li, B.; Li, B.; Lee, K.-S. Enhanced heat transfer performance for multi-tube heat exchangers with various tube arrangements. Int. J. Heat Mass Transf. 2021, 168, 120905. [Google Scholar] [CrossRef]
- ANSYS Inc. ANSYS Fluent Theory Guide; ANSYS Inc.: Canonsburg, PA, USA, 2011; Volume 15317, pp. 724–746. [Google Scholar]
- Shih, T.-H.; Liou, W.W.; Shabbir, A.; Yang, Z.; Zhu, J. A new k-ϵ eddy viscosity model for high reynolds number turbulent flows. Comput. Fluids 1995, 24, 227–238. [Google Scholar] [CrossRef]
- Malalasekere, W.; Versteeg, H.K. An Introduction to Computational Fluid Dynamics: The Finite Volume Method, 2nd ed.; Prentice Hall: Harlow, UK, 2007. [Google Scholar]
- Wang, W.; Zhang, Y.; Li, B.; Han, H.; Gao, X. Influence of geometrical parameters on turbulent flow and heat transfer characteristics in outward helically corrugated tubes. Energy Convers. Manag. 2017, 136, 294–306. [Google Scholar] [CrossRef]
- Chen, J.; Hai, Z.; Lu, X.; Wang, C.; Ji, X. Heat-transfer enhancement for corn straw slurry from biogas plants by twisted hexagonal tubes. Appl. Energy 2020, 262, 114554. [Google Scholar] [CrossRef]
- Wang, W.; Shuai, Y.; Ding, L.; Li, B.; Sundén, B. Investigation of complex flow and heat transfer mechanism in multi-tube heat exchanger with different arrangement corrugated tube. Int. J. Therm. Sci. 2021, 167, 107010. [Google Scholar] [CrossRef]
- Ishizuka, T. Thermal-Hydraulic Characteristics of a Printed Circuit Heat Exchanger in a Supercritical CO2 Loop. In Proceedings of the 11th International Topical Meeting on Nuclear Reactor Thermal-Hydraulics, Avignon, France, 2–6 October 2005. [Google Scholar]















| ρ (kg/m3) | Cp (J/kg/K) | λ (W/m/K) | μ (kg/m/s) | |
| c1 | 4.801 × 10−6 | 4.46 × 10−5 | −1.432 × 10−8 | −1.235 × 10−11 |
| c2 | −0.009275 | 0.1777 | 7.462 × 10−5 | 5.021 × 10−8 |
| c3 | 5.969 | 929.5 | 0.005678 | 5.191 × 10−6 |
| Experimental Data | Numerical Result | Error | |
|---|---|---|---|
| Pressure drop on the cold side (Pa) | 73,220 | 76,832.0 | −4.9% |
| Pressure drop on the hot side (Pa) | 24,180 | 24,381.6 | −0.83% |
| Temperature difference on the cold side (K) | 140.38 | 146.8 | −4.6% |
| Temperature difference on the hot side (K) | 169.6 | 171.3 | −1.0% |
| α | h (W/m2/K) | ΔPL (Pa/m) | |
|---|---|---|---|
| Without board | 1.77 | 63.28 | 983.73 |
| 3 × 3 SPB | 0.70 | 77.50 | 519.50 |
| 4 × 4 SPB | 0.86 | 75.13 | 587.46 |
| 5 × 5 SPB | 0.91 | 75.08 | 593.88 |
| α | h (W/m2/K) | ΔPL (Pa/m) | |
|---|---|---|---|
| Φd = 30 mm | 0.70 | 77.50 | 519.50 |
| Φd = 25 mm | 0.72 | 76.73 | 523.62 |
| Φd = 20 mm | 0.83 | 74.87 | 554.74 |
Publisher’s Note: MDPI stays neutral with regard to jurisdictional claims in published maps and institutional affiliations. |
© 2022 by the authors. Licensee MDPI, Basel, Switzerland. This article is an open access article distributed under the terms and conditions of the Creative Commons Attribution (CC BY) license (https://creativecommons.org/licenses/by/4.0/).
Share and Cite
Wang, W.; Niu, M.; Tan, Y.; Li, B.; Shuai, Y. Investigation on Flow Maldistribution and Thermo-Hydraulic Performance of PCHEs with Spoiler Perforated Boards. Energies 2022, 15, 6518. https://doi.org/10.3390/en15186518
Wang W, Niu M, Tan Y, Li B, Shuai Y. Investigation on Flow Maldistribution and Thermo-Hydraulic Performance of PCHEs with Spoiler Perforated Boards. Energies. 2022; 15(18):6518. https://doi.org/10.3390/en15186518
Chicago/Turabian StyleWang, Wei, Mengke Niu, Yufei Tan, Bingxi Li, and Yong Shuai. 2022. "Investigation on Flow Maldistribution and Thermo-Hydraulic Performance of PCHEs with Spoiler Perforated Boards" Energies 15, no. 18: 6518. https://doi.org/10.3390/en15186518
APA StyleWang, W., Niu, M., Tan, Y., Li, B., & Shuai, Y. (2022). Investigation on Flow Maldistribution and Thermo-Hydraulic Performance of PCHEs with Spoiler Perforated Boards. Energies, 15(18), 6518. https://doi.org/10.3390/en15186518

