Particle Number Emission from Vehicles of Various Drives in the RDE Tests
Abstract
:1. Introduction
2. Emission of Particulate Matters in Poland
3. Number of Particle Matters
4. Purpose of the Article
5. Methodology
5.1. Test Objects
5.2. Road Test–Description
- urban: a maximum driving speed of up to 60 km/h, a minimum distance of 16 km, and a share of about 34% of the total (±10%);
- rural: speed range 60–90 km/h, minimum distance of 16 km, and a share of about 33% of the total (±10%);
- motorway: speed range above 90 km/h, minimum distance of 16 km, and a share of about 33% of the total (±10%).
5.3. Measurement Equipment
6. Results
6.1. Test Requirements
6.2. Dynamic Parameters of Tests
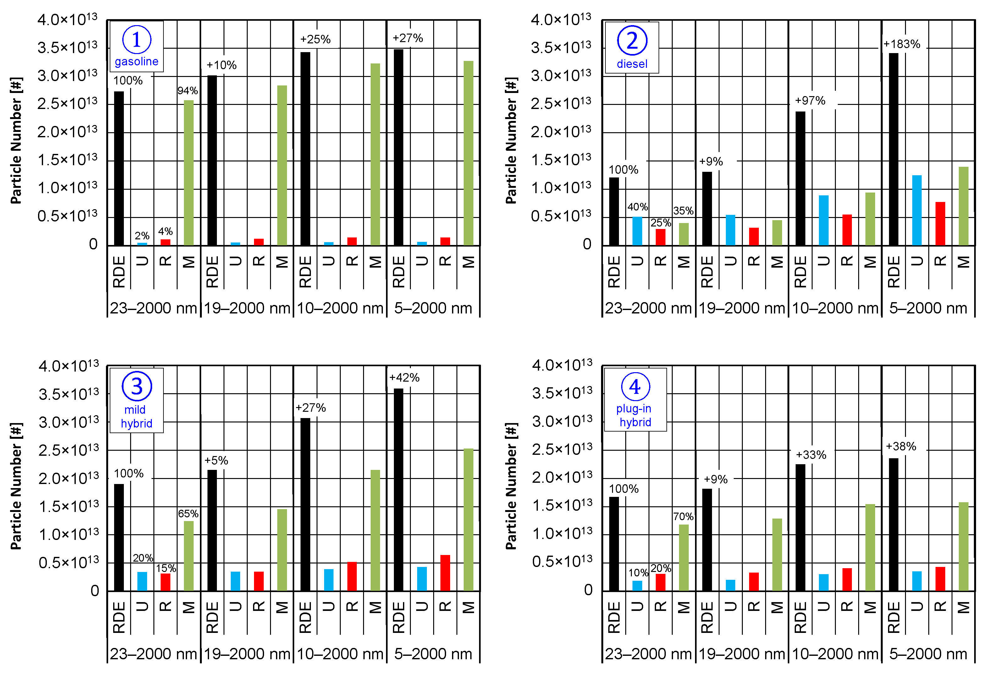
6.3. Comparison of Particle Number Distribution for Each Part of the RDE Test
- cold start—the period of the first 300 s after the engine is started (for a plug-in hybrid vehicle—the engine was started in the middle of the test);
- urban part of the RDE test (including the start-up period);
- motorway part of the RDE test;
- the whole RDE test.
7. Discussion
- L—particle number change indicator [dB];
- PNE,D—concentration of the number of D-diameter particles in the exhaust gas [#/cm3];
- PNA,D—concentration of the number of particles of diameter D in the air [#/cm3].
- For diesel engines: about 200% of the number of particles with D > 23 nm;
- For gasoline engines: about 30%–40% of the number of particles with D > 23 nm.
8. Conclusions
- The highest concentration of the number of particles (for D = 30–100 nm) occurs during cold start—regardless of the type of vehicle tested.
- The article determines an index that characterizes the number of particulates according to their diameter produced by vehicles, in relation to the content of particulates in the air. The value of the index is:
- for a gasoline engine: L = 20 dB (for RDE test) and L = 25 dB (for cold start); it is for the diameter of particles D = 60–120 nm;
- for a diesel engine: L = 20 dB (for RDE test, D = 30–60 nm) and L = 25 dB (for cold start, D = 100–120 nm);
- for a mild hybrid: L = 15–20 dB (for RDE test, D = 30–120 nm) and L = 20–22 dB (for cold start, D = 60–140 nm);
- for a plug-in hybrid: L = 20–25 dB (for RDE test, D = 70–150 nm) and L = 25–30 dB (for cold start, D = 80–150 nm).
- Particle emissions with diameters smaller than 23 nm are significant in motor vehicles powered by combustion engines, regardless of whether they are conventional or hybrid vehicles. The share of particles with diameters of less than 5 nm is 66% (for diesel engines) and 40% (for gasoline engines) of all the particles.
- The conformity factor for the number of particles for a vehicle equipped with:
- a gasoline-powered engine is three times higher in the motorway phase than in the overall RDE test;
- a diesel-powered engine is similar in each phase of the RDE test;
- a hybrid (mild and plug-in) powered engine is two times higher in the motorway phase than in the overall RDE test.
Author Contributions
Funding
Institutional Review Board Statement
Informed Consent Statement
Data Availability Statement
Conflicts of Interest
Abbreviations
| a | acceleration vehicle |
| A | air |
| b | road exhaust emission |
| CF | conformity factor |
| E | exhaust |
| FC | fuel consumption |
| FEV | Forschungsgesselschaft für Energietechnik und Verbrennungsmotoren |
| HEV | hybrid electric vehicle |
| ICE | internal combustion engines |
| L | particle number change indicator |
| M | motorway |
| NEDC | New European Driving Cycle |
| NIER | National Institute of Environmental Research |
| PEMS | portable emission measurement system |
| PHEV | plug-in hybrid electric vehicle |
| PN | particle number |
| PNC | particle counter |
| R | rural |
| RDE | real driving emissions |
| RES | renewable energy sources |
| RPA | relative positive acceleration |
| S | distance |
| SOC | state of charge |
| t | time |
| u | share |
| U | urban |
| V | vehicle speed |
| WLTC | Worldwide harmonized Light duty vehicles Test Cycle |
| WLTP | Worldwide harmonized Light duty vehicles Test Procedure |
References
- Szczepanek, W.K.; Kruszyna, M. The Impact of COVID-19 on the Choice of Transport Means in Journeys to Work Based on the Selected Example from Poland. Sustainability 2022, 14, 7619. [Google Scholar] [CrossRef]
- Statistic Poland. Transport of Goods and Passengers in 2021. Available online: https://stat.gov.pl/en/topics/transport-and-communications/transport/transport-of-goods-and-passengers-in-2021,9,10.html (accessed on 12 July 2022).
- Poland Passenger Transport: Vehicles. Related Indicators for Poland Passenger Transport: Vehicles. Available online: https://poland/freight-and-passenger-traffic/passenger-transport-vehicles (accessed on 5 July 2022).
- Transport of the Future. Report on Prospects for the Development of Road Transport in Poland in 2020–2030. Available online: https://www.pwc.pl/pl/pdf-nf/2019/report-transport-of-the-future-2019.pdf (accessed on 27 June 2022).
- Boldizsár, A.; Meszaros, F.; Torok, E. Social and Economic Analysis of the EU Road Freight Transport Fleet. Cogn. Sustain. 2022, 1, 2. [Google Scholar] [CrossRef]
- European Environment Agency. Status of Air Quality in Europe 2022. Available online: https://www.eea.europa.eu/publications/status-of-air-quality-in-Europe-2022 (accessed on 1 August 2022).
- Nyerges, Á.; Zöldy, M. Verification and Comparison of Nine Exhaust Gas Recirculation Mass Flow Rate Estimation Methods. Sensors 2020, 20, 7291. [Google Scholar] [CrossRef] [PubMed]
- The Future Drives Electric? FEV Study Examines Drivetrain Topologies in 2030. Available online: https://magazine.fev.com/en/fev-study-examines-drivetrain-topologies-in-2030-2/ (accessed on 12 November 2021).
- Merkisz, J.; Pielecha, J. Nanoparticle Emissions from Combustion Engines; Springer Tracts on Transportation and Traffic–STTT; Springer: Berlin/Heidelberg, Germany, 2015. [Google Scholar]
- Virt, M.; Arnold, U. Effects of Oxymethylene Ether in a Commercial Diesel Engine. Cogn. Sustain. 2022, 1, 1. [Google Scholar] [CrossRef]
- Alahmer, A.; Rezk, H.; Aladayleh, W.; Mostafa, A.O.; Abu-Zaid, M.; Alahmer, H.; Gomaa, M.R.; Alhussan, A.A.; Ghoniem, R.M. Modeling and Optimization of a Compression Ignition Engine Fueled with Biodiesel Blends for Performance Improvement. Mathematics 2022, 10, 420. [Google Scholar] [CrossRef]
- Mild-Hybrid-Diesel-Powertrain. Mild-Hybrid-Diesel-Powertrain with a Pre-Turbine Exhaust Aftertreatment. Available online: https://magazine.fev.com/en/mild-hybrid-diesel-powertrain-with-a-pre-turbine-exhaust-aftertreatment/ (accessed on 23 July 2022).
- Pielecha, J.; Skobiej, K.; Kurtyka, K. Exhaust Emissions and Energy Consumption Analysis of Conventional, Hybrid, and Electric Vehicles in Real Driving Cycles. Energies 2020, 13, 23. [Google Scholar] [CrossRef]
- Skobiej, K.; Pielecha, J. Plug-in Hybrid Ecological Category in Real Driving Emissions. Energies 2021, 14, 8. [Google Scholar] [CrossRef]
- Gis, W.; Gis, M.; Pielecha, J.; Skobiej, K. Alternative Exhaust Emission Factors from Vehicles in On-Road Driving Tests. Energies 2021, 14, 12. [Google Scholar] [CrossRef]
- Pielecha, J.; Skobiej, K.; Kubiak, P.; Woźniak, M.; Siczek, K. Exhaust Emissions from Plug-in and HEV Vehicles in Type-Approval Tests and Real Driving Cycles. Energies 2022, 15, 7. [Google Scholar] [CrossRef]
- Gwinn, M.R.; Vallyathan, V. Nanoparticles: Health Effects—Pros and Cons. Environ. Health Perspect. 2006, 114, 12. [Google Scholar] [CrossRef] [PubMed] [Green Version]
- Wojtyniak, B.; Goryński, P. Health Status of Polish Population and its Determinants 2020; National Institute of Public Health, National Institute of Hygiene: Warsaw, Poland, 2020. Available online: https://www.pzh.gov.pl/download/21915/ (accessed on 18 June 2022).
- Państwowy Monitoring Środowiska–Główny Inspektorat Ochrony Środowiska, Opracowanie: INFAIR, IOŚ-PIB. Available online: https://www.gios.gov.pl/images/dokumenty/raporty/Informacja_o_realizacji_zadan_IOS_2021.pdf (accessed on 15 May 2022).
- Report: Assessment of Air Quality in Zones in Poland for 2019. State Environmental Monitoring. 2019; pp. 54–83. Available online: https://powietrze.gios.gov.pl/pjp/documents/download/105626 (accessed on 12 May 2022).
- Vision or Division? What NECPs Tell Us about the EU Power Sector in 2030. Available online: https://ember-climate.org/project/necp7/?fbclid=IwAR3eLo_88PVQwrpRemz4pwGjBPu4pt_zCovYDxp77aVfUpKwvNCP-c0-ayk (accessed on 12 November 2021).
- Kim, K.; Chung, W.; Kim, M.; Kim, C.; Myung, C.; Park, S. Inspection of PN, CO2, and Regulated Gaseous Emissions Characteristics from a GDI Vehicle under Various Real-World Vehicle Test Modes. Energies 2020, 13, 2581. [Google Scholar] [CrossRef]
- Giechaskiel, B.; Lähde, T.; Gandi, S.; Keller, S.; Kreutziger, P.; Mamakos, A. Assessment of 10-nm Particle Number (PN) Portable Emissions Measurement Systems (PEMS) for Future Regulations. Int. J. Environ. Res. Public Health 2020, 17, 3878. [Google Scholar] [CrossRef] [PubMed]
- Giechaskiel, B.; Joshi, A.; Ntziachristos, L.; Dilara, P. European Regulatory Framework and Particulate Matter Emissions of Gasoline Light-Duty Vehicles: A Review. Catalysts 2019, 9, 586. [Google Scholar] [CrossRef]
- Giechaskiel, B.; Bonnel, P.; Perujo, A.; Dilara, P. Solid Particle Number (SPN) Portable Emissions Measurement Systems (PEMS) in the European Legislation: A review. Int. J. Environ. Res. Public Health 2019, 16, 4819. [Google Scholar] [CrossRef]
- Bergmann, M.; Kirchner, U.; Vogt, R.; Benter, T. On-road and Laboratory Investigation of Low-Level PM Emissions of a Modern Diesel Particulate Filter Equipped Diesel Passenger Car. Atmos. Environ. 2009, 43, 1908–1916. [Google Scholar] [CrossRef]
- Giechaskiel, B.; Casadei, S.; Mazzini, M.; Sammarco, M.; Montabone, G.; Tonelli, R.; Deana, M.; Costi, G.; Di Tanno, F.; Prati, M.V.; et al. Inter-Laboratory Correlation Exercise with Portable Emissions Measurement Systems (PEMS) on Chassis Dynamometers. Appl. Sci. 2018, 8, 2275. [Google Scholar] [CrossRef]
- Giechaskiel, B.; Schwelberger, M.; Delacroix, C.; Marchetti, M.; Feijen, M.; Prieger, K.; Andersson, S.; Karlsson, H.L. Experimental Assessment of Solid Particle Number Portable Emissions Measurement Systems (PEMS) for Heavy-Duty Vehicles Applications. J. Aerosol Sci. 2018, 123, 161–170. [Google Scholar] [CrossRef]
- Catapano, F.; Di Iorio, S.; Magno, A.; Sementa, P.; Vaglieco, B.M. Measurement of Sub-23 nm Particles Emitted from PFI/DI SI Engine Fueled with Oxygenated Fuels: A Comparison between Conventional and Novel Methodologies. Energies 2022, 15, 2021. [Google Scholar] [CrossRef]
- Guo, D.; Ge, Y.; Wang, X.; Liu, H.; Su, S.; Li, C.; Tao, T. Sub-23 nm Particle Emissions from China-6 GDI Vehicle: Impacts of Drive Cycle and Ambient Temperature. Atmosphere 2022, 13, 1216. [Google Scholar] [CrossRef]
- Lähde, T.; Giechaskiel, B.; Martini, G.; Woodburn, J.; Bielaczyc, P.; Schreiber, D.; Huber, M.; Dimopoulos Eggenschwiler, P.; Fittavolini, C.; Florio, S.; et al. Reproducibility of the 10-nm Solid Particle Number Methodology for Light-Duty Vehicles Exhaust Measurements. Atmosphere 2022, 13, 872. [Google Scholar] [CrossRef]
- Selleri, T.; Melas, A.; Ferrarese, C.; Franzetti, J.; Giechaskiel, B.; Suarez-Bertoa, R. Emissions from a Modern Euro 6d Diesel Plug-In Hybrid. Atmosphere 2022, 13, 1175. [Google Scholar] [CrossRef]
- Commission Regulation, 2008, 692/2008 of 18 July 2008 Implementing and Amending Regulation (EC) 715/2007 of the European Parliament and of the Council on Type-Approval of Motor Vehicles with Respect to Emissions from Light Passenger and Commercial Vehicles (Euro 5 and Euro 6) and on Access to Vehicle Repair and Maintenance Information, European Commission (EC), L 199. Available online: http://data.europa.eu/eli/reg/2008/692/oj (accessed on 15 November 2021).
- Commission Regulation, 2016, 2016/427 of 10 March 2016 Amending Regulation (EC) No. 692/2008 as Regards Emissions from Light Passenger and Commercial Vehicles (Euro 6), Verifying Real Driving Emissions, L 82. Available online: http://data.europa.eu/eli/reg/2016/427/oj (accessed on 15 November 2021).
- Gaseous and Exhaust Flow Measurement SEMTECH® DS+ for Light-Duty. Available online: https://sensors-inc.com/Products/SEMTECH/DS_Plus_Light_Duty (accessed on 15 June 2022).
- Engine Exhaust Particle Sizer (EEPS) 3090. Available online: https://tsi.com/products/particle-sizers/fast-particle-sizer-spectrometers/engine-exhaust-particle-sizer-(eeps)-3090/ (accessed on 15 June 2022).
- Commission Regulation, 2018, 2018/1832 of 5 November 2018 Amending Directive 2007/46/EC of the European Parliament and of the Council, Commission Regulation (EC) No 692/2008 and Commission Regulation (EU) 2017/1151 for the Purpose of Improving the Emission Type Approval Tests and Procedures for Light Passenger and Commercial Vehicles, Including Those for In-Service Conformity and Real-Driving Emissions and Introducing Devices for Monitoring the Consumption of Fuel and Electric Energy. Available online: http://data.europa.eu/eli/reg/2018/1832/oj (accessed on 21 February 2022).














| Vehicle 1 | Vehicle 2 | Vehicle 3 | Vehicle 4 | |
|---|---|---|---|---|
| Powertrain | Conventional | Conventional | Mild hybrid | Plug-in hybrid |
| Fuel type | Gasoline | Diesel | Gasoline | Gasoline and electric |
| Engine capacity | 1591 cm3 | 1685 cm3 | 1497 cm3 | 1999 cm3 |
| Cylinders/valves | 4/16 | 4/16 | 4/16 | 4/16 |
| Injection system | Direct | Direct | Direct | Direct |
| Maximum power | 132 kW 5500 rpm | 104 kW 4000 rpm | 135 kW 5800 rpm | 151 kW 6000 rpm |
| Maximum torque | 265 Nm 1500–4500 rpm | 340 Nm 1750–2500 rpm | 280 Nm 1200–4000 rpm | 375 Nm 2330 rpm |
| Maximum power of electric motor | – | – | – | 49 kW 2330–3300 rpm |
| Maximum torque of electric motor | – | – | – | 205 Nm 0–2330 rpm |
| Power indicator (power/displacement) | 83 kW/dm3 | 62 kW/dm3 | 90 kW/dm3 | 76 kW/dm3 |
| Battery capacity | – | – | 1.2 Ah | 31.3 Ah |
| Empty vehicle weight | 1465 kg | 1515 kg | 1430 kg | 1740 kg |
| Exhaust emission standard | Euro 6d, GPF | Euro 6d, DPF, SCR | Euro 6d | Euro 6d |
Publisher’s Note: MDPI stays neutral with regard to jurisdictional claims in published maps and institutional affiliations. |
© 2022 by the authors. Licensee MDPI, Basel, Switzerland. This article is an open access article distributed under the terms and conditions of the Creative Commons Attribution (CC BY) license (https://creativecommons.org/licenses/by/4.0/).
Share and Cite
Pielecha, J.; Skobiej, K.; Gis, M.; Gis, W. Particle Number Emission from Vehicles of Various Drives in the RDE Tests. Energies 2022, 15, 6471. https://doi.org/10.3390/en15176471
Pielecha J, Skobiej K, Gis M, Gis W. Particle Number Emission from Vehicles of Various Drives in the RDE Tests. Energies. 2022; 15(17):6471. https://doi.org/10.3390/en15176471
Chicago/Turabian StylePielecha, Jacek, Kinga Skobiej, Maciej Gis, and Wojciech Gis. 2022. "Particle Number Emission from Vehicles of Various Drives in the RDE Tests" Energies 15, no. 17: 6471. https://doi.org/10.3390/en15176471
APA StylePielecha, J., Skobiej, K., Gis, M., & Gis, W. (2022). Particle Number Emission from Vehicles of Various Drives in the RDE Tests. Energies, 15(17), 6471. https://doi.org/10.3390/en15176471

