Simplified Modeling and Analysis of Surface Temperature Distribution in Electrically Heated Catalyst for Diesel Urea-SCR Systems
Abstract
:1. Introduction
2. Theory and Analysis
2.1. Structure of EHC in Urea-SCR System
2.2. 1D Analysis Models and Scheme
2.3. Applied Conditions and Analysis
2.4. Potential Error Sources
3. Measurements
4. Results and Discussion
4.1. Validation of 1D Analysis Results
4.2. Effects of EHC Geometric Parameters on Surface Temperature Distributions
4.3. Effects of Operation Parameters on Surface Temperature Distributions
4.4. Discussion
5. Conclusions
- The flows in the flow cell were found to be laminar in given EHC operating and geometric conditions. The measurement results showed near-uniform surface temperature distributions at the EHC outlet (maximum 8.64% local deviation), which demonstrated the adequacy of the current analysis scheme extracting a fine flow cell in the EHC for the analysis. The prediction results showed over 95% accuracy in the given engine conditions.
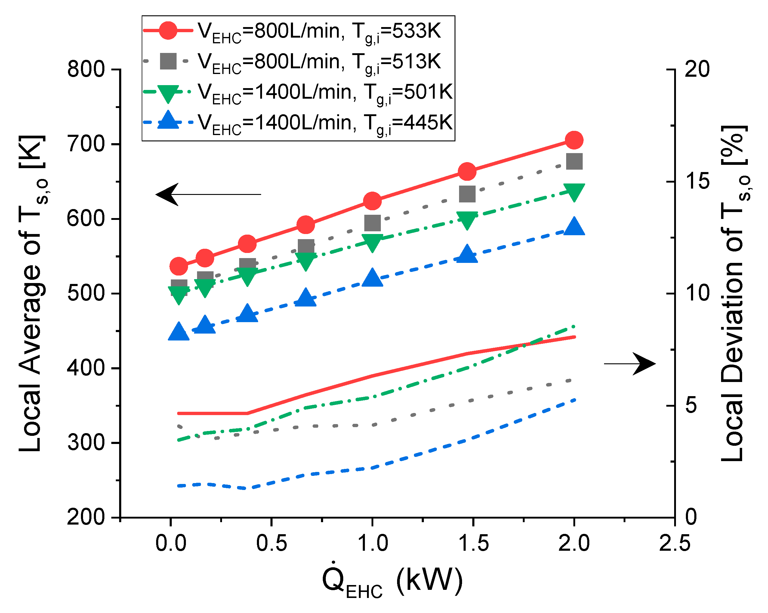
- The 1D analysis results showed that the surface temperature increased with the enlarged flow cell diameter and the reduced EHC length in the fixed gas flow rate and heater power conditions of the EHC. The increase in the EHC heater power caused the higher surface temperature in both the EHC inlet and outlet, but the temperature increase rate was much less in the EHC inlet. Increasing the exhaust gas flow rate reduced the surface temperature while increasing the exhaust gas temperature caused a higher EHC surface temperature.
Author Contributions
Funding
Conflicts of Interest
References
- CARB Developing Tier 5 Emission Standards for Off-Road Engines. Available online: https://dieselnet.com/news/2021/11carb.php (accessed on 1 April 2022).
- Kim, D.S.; Wang, T.J. Diesel Engine Technologies for Next-generation Stage V Emission Regulation. KSAE Auto J. 2017, 39, 25–30. [Google Scholar]
- Selective Catalytic Reduction. Available online: https://dieselnet.com/tech/cat_scr.php (accessed on 1 April 2022).
- Bornhorst, M.; Deutschmann, O. Advances and challenges of ammonia delivery by urea-water sprays in SCR systems. Prog. Energy Combust. Sci. 2021, 87, 100949. [Google Scholar] [CrossRef]
- Liu, S.; Wang, B.; Guo, Z.; Wang, B.; Zhang, Z.; Ma, X.; Chang, C.; Wang, P.; He, X.; Sun, X.; et al. Experimental investigation of urea injection strategy for close-coupled SCR aftertreatment system to meet ultra-low NOx emission regulation. Appl. Therm. Eng. 2022, 25, 117994. [Google Scholar]
- Prabhu, S.; Natesan, K.; Nayak, N.S. Effect of UWS spray angle and positioning of injector on ammonia concentration in Urea-SCR system. Mater. Today Proc. 2021, 46, 8051–8055. [Google Scholar] [CrossRef]
- Pratama, R.H.; Moon, S.; Kim, H.; Oguma, M. Application of electrostatic force for the atomization improvement of urea-water sprays in diesel SCR systems. Fuel 2020, 262, 116571. [Google Scholar] [CrossRef]
- Ju, K.; Hong, J.; Park, C. Effect of Assist-air of Twin Fluid Atomizer on Urea Thermal Decomposition. At. Sprays 2015, 25, 895–915. [Google Scholar]
- Miao, Y.; Chen, L.; He, Y.; Kuo, T. Study of SCR cold-start by energy method. Chem. Eng. J. 2009, 155, 260–265. [Google Scholar] [CrossRef]
- Lee, Y.; Lee, S.; Lee, S.; Choi, H.; Min, K. Characteristics of NOx emission of light-duty diesel vehicle with LNT and SCR system by season and RDE phase. Sci. Total Environ. 2021, 782, 146750. [Google Scholar] [CrossRef]
- Bezaire, B.A. Modeling and Control of an Electrically-Heated Catalyst. Master’s Thesis, The Ohio State University, Columbus, OH, USA, 2011. [Google Scholar]
- Ning, J.; Yan, F. Temperature Control of Electrically Heated Catalyst for Cold-start Emission Improvement. IFAC-PapersOnLine 2016, 49, 14–19. [Google Scholar] [CrossRef]
- Velmurugan, D.V.; McKelvey, T.; Olsson, J. A simulation framework for cold-start evaluation of a gasoline engine equipped with an electrically heated three-way catalyst. IFAC-PapersOnLine 2021, 54, 14–19. [Google Scholar] [CrossRef]
- Gao, J.; Tian, G.; Sorniotti, A. On the emission reduction through the application of an electrically heated catalyst to a diesel vehicle. Energy Sci. Eng. 2019, 7, 2383–2397. [Google Scholar] [CrossRef]
- Nazir, M.T.; Brammer, M.; Scholz, R.; Zote, F.; Bunar, F.; Schrade, F. Electrically Heated Catalyst (EHC) Development of Diesel Applications. Int. J. Automot. Eng. 2015, 6, 127–133. [Google Scholar]
- Kim, C.H.; Paratore, M.; Gonze, E.; Solbrig, C.; Smith, S. Electrically Heated Catalysts for Cold-Start Emissions in Diesel Aftertreatment; SAE Technical Paper 2012-01-1092; SAE International: Warrendale, PA, USA, 2012. [Google Scholar]
- Lee, S.H.; Lee, K.B.; Won, J.H.; Lee, J.G.; Oh, K.W. An Experimental Study on the effect of Urea-SCR doing system using EHC on NOx reduction. In Proceedings of the 2021 KSAE (The Korean Society of Automotive Engineers) Fall Conference, Yeosu, Korea, 17–20 November 2021; pp. 118–119. [Google Scholar]
- Wang, T.J.; Baek, S.W.; Lee, S.Y. Experimental Investigation on Evaporation of Urea-Water-Solution Droplet for SCR Applications. AIChE J. 2009, 55, 3267–3276. [Google Scholar] [CrossRef]
- Wei, L.; Youtong, Z.; Asif, M. Investigation on UWS Evaporation for Vehicle SCR Applications. AIChE J. 2016, 62, 880–890. [Google Scholar] [CrossRef] [Green Version]
- Grout, S.; Blaisot, J.; Pajot, K.; Osbat, G. Experimental investigation on the injection of an urea–water solution in hot air stream for the SCR application: Evaporation and spray/wall interaction. Fuel 2013, 106, 166–177. [Google Scholar] [CrossRef]
- Ebrahimian, V.; Nicolle, A.; Habchi, C. Detailed Modeling of the Evaporation and Thermal Decomposition of Urea-Water Solution in SCR Systems. AIChE J. 2012, 58, 1998–2009. [Google Scholar] [CrossRef]
- Kuntz, C.; Kuhn, C.; Weickenmeier, H.; Tischer, S.; Börnhorst, M.; Deutschmann, O. Kinetic modeling and simulation of high-temperature by-product formation from urea decomposition. Chem. Eng. Sci. 2021, 246, 116876. [Google Scholar] [CrossRef]
- Nishad, K.; Stein, M.; Ries, F.; Bykov, V.; Maas, U.; Deutschmann, O.; Janicka, J.; Sadiki, A. Thermal Decomposition of a Single AdBlue® Droplet Including Wall–Film Formation in Turbulent Cross-Flow in an SCR System. Energies 2016, 12, 2600. [Google Scholar] [CrossRef]
- Yim, S.; Kim, S.; Baik, J.; Nam, I.; Mok, Y.; Kee, J.; Cho, B.; Oh, S. Decomposition of Urea into NH3 for the SCR Process. Ind. Eng. Chem. Res. 2004, 43, 4856–4863. [Google Scholar] [CrossRef]
- Smith, H.; Lauer, T.; Mayer, M. Optical and Numerical Investigations on the Mechanisms of Deposit Formation in SCR Systems; SAE Technical Paper 2014-01-1563; SAE International: Warrendale, PA, USA, 2014. [Google Scholar]
- Schiller, S.; Brandl, M.; Hoppenstedt, B.; Rudder, K.D. Wire Mesh Mixer Optimization for DEF Deposit Prevention; SAE Technical Paper 2015-01-0989; SAE International: Warrendale, PA, USA, 2015. [Google Scholar]
- Weeks, C.L.; Ibeling, D.R.; Han, S.; Ludwig, L.; Ayyappan, P. Analytical Investigation of Urea Deposits in SCR System; SAE Technical Paper 2015-01-1037; SAE International: Warrendale, PA, USA, 2015. [Google Scholar]
- Moran, M.J.; Shapiro, H.N.; Boettner, D.D.; Bailey, M.B. Principles of Engineering Thermodynamics; Global Edition; John Wiley & Sons Inc.: Singapore, 2017. [Google Scholar]
- Incropera, F.P.; Dewitt, D.P.; Bergman, T.L.; Lavine, A.S. Incropera’s Principle of Heat and Mass Transfer; Global Edition; John Wiley & Sons Inc.: Singapore, 2017. [Google Scholar]
- Kays, W.M.; Crawford, M.E.; Weigand, B. Convective Heat and Mass Transfer, 4th ed.; McGraw-Hill: Boston, MA, USA, 2005. [Google Scholar]
- Dittus, F.W.; Boelter, L.M.K. Heat transfer in automobile radiators of the tubular type. Univ. Calif. Publ. Eng. 1930, 2, 443–461. [Google Scholar] [CrossRef]
- Winterton, R.H.S. Where did the Dittus and Boelter equation come from? Int. J. Heat Mass Transf. 1998, 41, 809–810. [Google Scholar] [CrossRef]











| EHC diameter (, mm) | 119 |
| Flow cell diameter (, mm) | 1, 2, 2.7 |
| Flow cell length (, mm) | 20, 50, 100 |
| Gas flow rate (, L/min) | 400, 800, 1200 |
| EHC inlet gas temperature (, K) | 373~573 |
| Heater power supply (, kW) | 0~2.0 |
| Reynolds number () | Min.: 13 (@ = 1.0 mm, = 400 L/min and = 573 K) Max.: 211 (@ = 2.7 mm, = 1200 L/min and = 373 K) |
| Thermal entrance length (, mm) | Min.: 0.4 (@ = 1 mm, = 400 L/min and = 573 K) Max.: 20.3 (@ = 2.7 mm, = 1200 L/min and = 373 K) |
(mm) | (mm) | (kW) | (L/min) | (K) | (mm) | |
|---|---|---|---|---|---|---|
| 2.7 | 20 | 0.04 0.17 0.38 0.67 1.00 1.47 2.00 | 800 | 513 | 61.4 | 5.8 |
| 533 | 57.6 | 5.4 | ||||
| 1400 | 445 | 182 | 17.2 | |||
| 501 | 149 | 14.0 |
Publisher’s Note: MDPI stays neutral with regard to jurisdictional claims in published maps and institutional affiliations. |
© 2022 by the authors. Licensee MDPI, Basel, Switzerland. This article is an open access article distributed under the terms and conditions of the Creative Commons Attribution (CC BY) license (https://creativecommons.org/licenses/by/4.0/).
Share and Cite
Moon, S.; Park, S.; Son, J.; Oh, K.; Jang, S. Simplified Modeling and Analysis of Surface Temperature Distribution in Electrically Heated Catalyst for Diesel Urea-SCR Systems. Energies 2022, 15, 6406. https://doi.org/10.3390/en15176406
Moon S, Park S, Son J, Oh K, Jang S. Simplified Modeling and Analysis of Surface Temperature Distribution in Electrically Heated Catalyst for Diesel Urea-SCR Systems. Energies. 2022; 15(17):6406. https://doi.org/10.3390/en15176406
Chicago/Turabian StyleMoon, Seoksu, Sunhong Park, Jihyun Son, Kwangchul Oh, and Sungwook Jang. 2022. "Simplified Modeling and Analysis of Surface Temperature Distribution in Electrically Heated Catalyst for Diesel Urea-SCR Systems" Energies 15, no. 17: 6406. https://doi.org/10.3390/en15176406
APA StyleMoon, S., Park, S., Son, J., Oh, K., & Jang, S. (2022). Simplified Modeling and Analysis of Surface Temperature Distribution in Electrically Heated Catalyst for Diesel Urea-SCR Systems. Energies, 15(17), 6406. https://doi.org/10.3390/en15176406

