Research on the Topology and Control Strategy of a Novel Three-Port Converter
Abstract
:1. Introduction
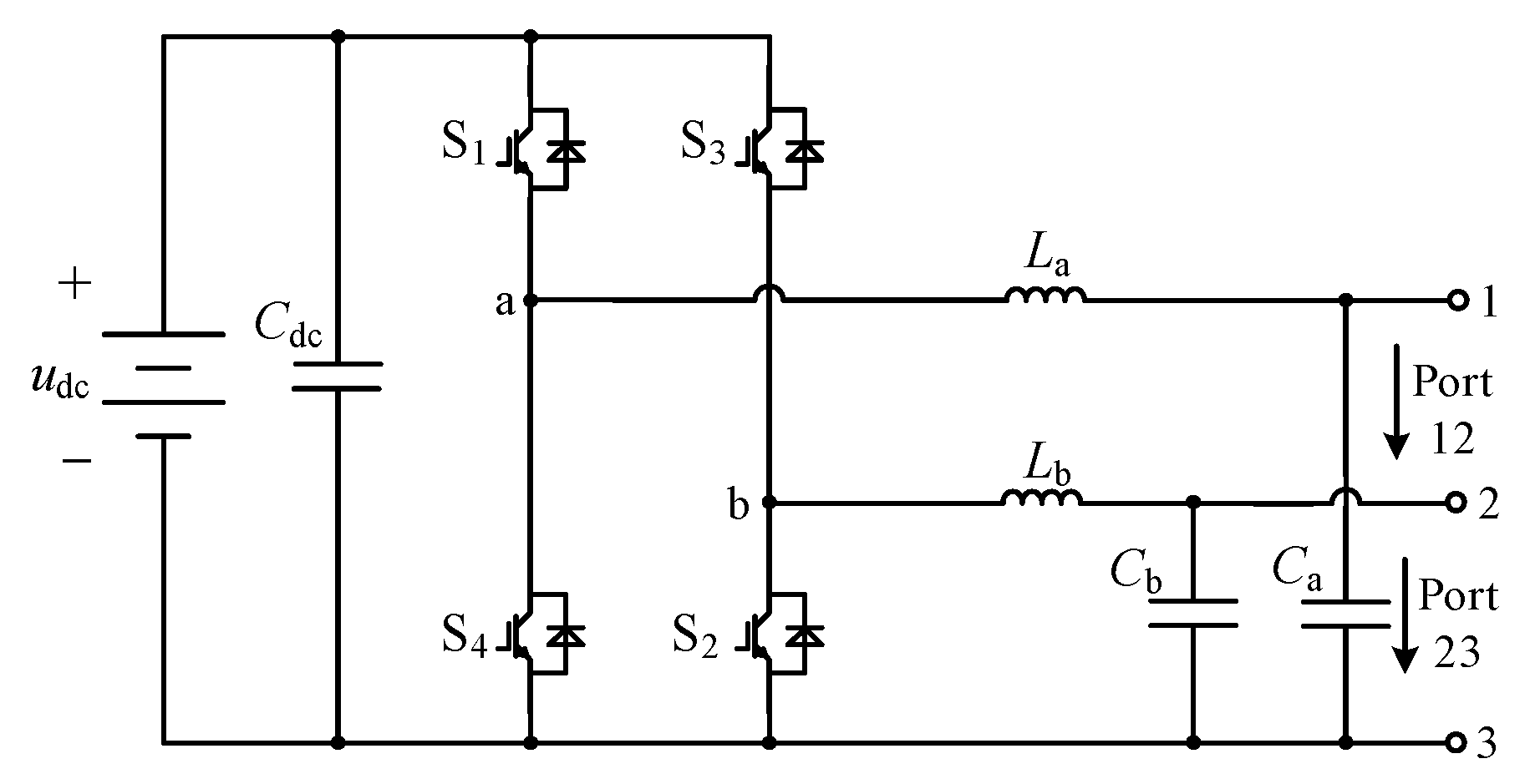
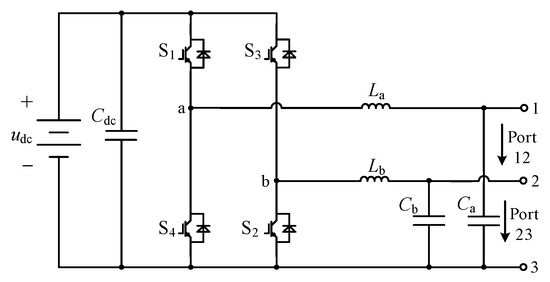
2. Topology and Operation Mode of Proposed TPC
2.1. Dual DC Output Mode
2.2. Single DC and Single AC Output Mode
2.3. Open Loop Simulation Results of TPC
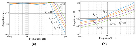
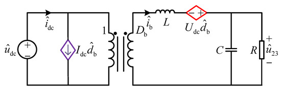
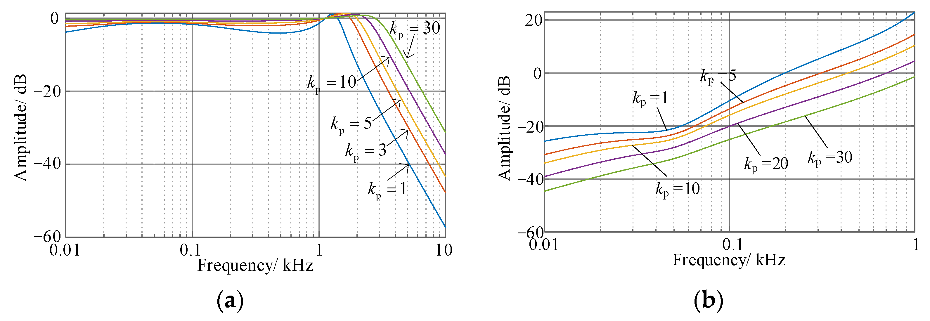
3. Mathematical Modeling and Control Strategy of DC Output Port
- (1)
- The cutoff frequency of H(s) is near one-tenth of the switching frequency. Then, the balance between steady-state performance and dynamic performance can be realized;
- (2)
- In the low frequency band, the amplitude of Zout(s)/(1 + H(s)) should be below 0 dB;
- (3)
- In the low frequency band, the amplitude of Gu2u(s)/(1 + H(s)) should also be below 0 dB.
4. Control Strategy of AC Output Port
5. Simulation Results
5.1. Simulation Results of Dual DC Output Mode
5.2. Simulation Results of Single DC and Single AC Output Mode
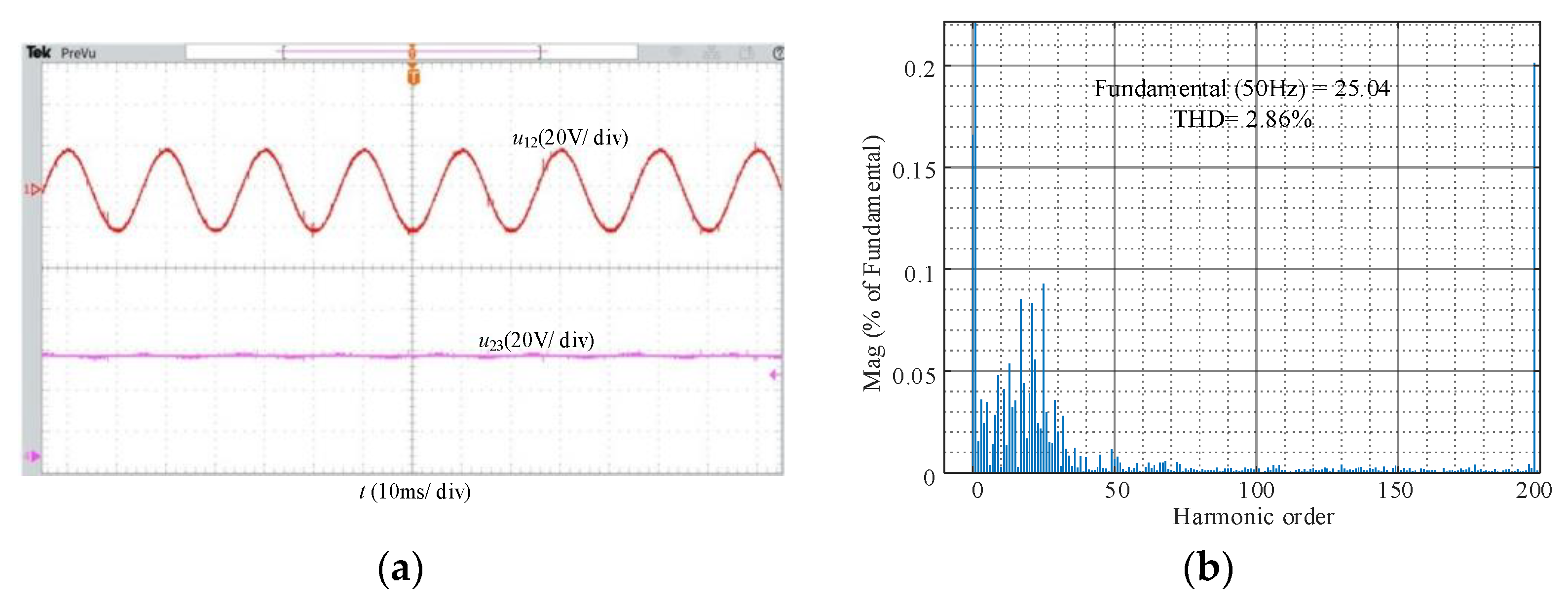
6. Experimental Results
6.1. Experimental Results under Dual DC Output Mode
6.2. Experimental Results under Single DC and Single AC Output Mode
7. Conclusions
- (1)
- A novel and simple three-port converter is proposed. It interfaces a single input power port and two output ports.
- (2)
- The proposed TPC has two operation modes. It can output two DC voltages with different levels or output a single AC voltage and a single DC voltage at the same time.
- (3)
- With the proposed control scheme, the coupling between the DC and AC output ports in TPC could be suppressed, significantly.
- (4)
- In the single DC and single AC output mode, the maximum of AC output voltage is half of the input voltage.
Author Contributions
Funding
Institutional Review Board Statement
Informed Consent Statement
Data Availability Statement
Conflicts of Interest
References
- You, J.; Liu, H.; Xiong, X. H∞ Mixed Sensitivity Control for a Three-Port Converter. Energies 2019, 12, 2231. [Google Scholar] [CrossRef]
- Chen, Y.-M.; Huang, A.Q.; Yu, X. A High Step-Up Three-Port DC–DC Converter for Stand-Alone PV/Battery Power Systems. IEEE Trans. Power Electron. 2013, 28, 5049–5062. [Google Scholar] [CrossRef]
- Wang, Z.; Li, H. An integrated three-port bidirectional DC-DC converter for PV application on a DC distribution system. IEEE Trans. Power Electron. 2013, 28, 4612–4624. [Google Scholar] [CrossRef]
- Zhang, H.; Dong, D.; Jing, M.; Liu, W.; Zheng, F. Topology Derivation of Multiple-Port DC–DC Converters Based on Voltage-Type Ports. IEEE Trans. Ind. Electron. 2022, 69, 4742–4753. [Google Scholar] [CrossRef]
- Li, W.; Xu, C.; Luo, H.; Hu, Y.; He, X.; Xia, C. Decoupling-controlled triport composited DC/DC converter for multiple energy interface. IEEE Trans. Ind. Electron. 2015, 62, 4504–4513. [Google Scholar] [CrossRef]
- Tian, Q.; Zhou, G.; Liu, R.; Zhang, X.; Leng, M. Topology Synthesis of a Family of Integrated Three-Port Converters for Renewable Energy System Applications. IEEE Trans. Ind. Electron. 2021, 68, 5833–5846. [Google Scholar] [CrossRef]
- Kim, S.-H.; Byun, H.-J.; Yi, J.; Won, C.-Y. A Bi-Directional Dual-Input Dual-Output Converter for Voltage Balancer in Bipolar DC Microgrid. Energies 2022, 15, 5043. [Google Scholar] [CrossRef]
- Yang, P.; Shang, Z.; Liu, C.; Peng, Y.; Zhu, Z.; Chen, Z. A three-state dual-inductance bi-directional converter and its control in pulse-loaded three-port converters. CSEE J. Power Energy Syst. 2020, 6, 291–297. [Google Scholar]
- Zhang, J.; Wu, H.; Xing, Y.; Hu, H.; Cao, F. Power management of a modular three-port converter-based spacecraft power system. IEEE Trans. Aerosp. Electron. Syst. 2016, 52, 486–492. [Google Scholar] [CrossRef]
- Moradisizkoohi, H.; Elsayad, N.; Mohammed, O.A. A Family of Three-Port Three-Level Converter Based on Asymmetrical Bidirectional Half-Bridge Topology for Fuel Cell Electric Vehicle Applications. IEEE Trans. Power Electron. 2019, 34, 11706–11724. [Google Scholar] [CrossRef]
- Nahavandi, A.; Hagh, M.T.; Sharifian, M.B.B. A Non-isolated Multi-input Multi-output DC-DC Boost Converter for Electric Vehicle Applications. IEEE Trans. Power Electron. 2015, 30, 1818–1835. [Google Scholar] [CrossRef]
- Di Napoli, A.; Crescimbini, F.; Rodo, S.; Solero, L. Multiple input DC-DC power converter for fuel-cell powered hybrid vehicles. In Proceedings of the 33rd Annual IEEE Power Electronics Specialists Conference, Cairns, QLD, Australia, 23–27 June 2002; Volume 4, pp. 1685–1690. [Google Scholar]
- Marchesoni, M.; Vacca, C. New DC-DC converter for energy storage system interfacing in fuel cell hybrid electric vehicles. IEEE Trans. Power Electron. 2007, 22, 301–308. [Google Scholar] [CrossRef]
- Nejabatkhah, F.; Danyali, S.; Hossein, S.H.; Niapour, S.M. Modeling and control of a new three-input dc-dc boost converter for hybrid PV/FC/battery power system. IEEE Trans. Power Electron. 2012, 27, 2309–2324. [Google Scholar] [CrossRef]
- Zhu, H.; Zhang, D.; Liu, Q.; Zhou, Z. Three-Port DC/DC Converter with All Ports Current Ripple Cancellation Using Integrated Magnetic Technique. IEEE Trans. Power Electron. 2016, 31, 2174–2186. [Google Scholar] [CrossRef]
- Wu, Y.-E. Novel High-Step-Up/Step-Down Three-Port Bidirectional DC/DC Converter for Photovoltaic Systems. Energies 2022, 15, 5257. [Google Scholar] [CrossRef]
- Yang, Y.; Qin, Y.; Tan, S.-C.; Hui, S.Y.R. Efficient improvement of photovoltaic-battery systems in standalone dc microgrids using a local hierarchical control for the battery system. IEEE Trans. Power Electron. 2019, 34, 10796–10807. [Google Scholar] [CrossRef]
- Wu, H.; Wang, J.; Liu, T.; Yang, T.; Xing, Y. Modified SVPWM-Controlled Three-Port Three-Phase AC–DC Converters with Reduced Power Conversion Stages for Wide Voltage Range Applications. IEEE Trans. Power Electron. 2018, 33, 6672–6686. [Google Scholar] [CrossRef]





















| Parameter | Value |
|---|---|
| Filter inductor La and Lb (mH) | 2 |
| Filter capacitor Ca and Cb (µF) | 15 |
| Voltage of DC-bus udc (V) | 100 |
| Switching frequency fsw (kHz) | 10 |
| Load of Port 12 R12 (Ω) | 10 |
| Load of Port 13 R13 (Ω) | 20 |
| Load of Port 23 R23 (Ω) | 50 |
| Category | Part Number | Parameters |
|---|---|---|
| Filter inductor La, Lb | Custom-made | 2 mH |
| Filter capacitor Ca, Cb | MKP1847610354P4 | 15 µF |
| DC-link capacitor Cdc | B435045477M000 | 720 µF |
| DC-link power supply | ITECH programmable power | 100 V |
| Load | ITECH programmable load | Adjustable |
| IGBT modules | SKiip39AC066V4 | 600 V/150 A |
Publisher’s Note: MDPI stays neutral with regard to jurisdictional claims in published maps and institutional affiliations. |
© 2022 by the authors. Licensee MDPI, Basel, Switzerland. This article is an open access article distributed under the terms and conditions of the Creative Commons Attribution (CC BY) license (https://creativecommons.org/licenses/by/4.0/).
Share and Cite
Wang, T.; Chen, X.; Guo, Q.; Li, S. Research on the Topology and Control Strategy of a Novel Three-Port Converter. Energies 2022, 15, 6362. https://doi.org/10.3390/en15176362
Wang T, Chen X, Guo Q, Li S. Research on the Topology and Control Strategy of a Novel Three-Port Converter. Energies. 2022; 15(17):6362. https://doi.org/10.3390/en15176362
Chicago/Turabian StyleWang, Tao, Xiangqian Chen, Qiang Guo, and Shan Li. 2022. "Research on the Topology and Control Strategy of a Novel Three-Port Converter" Energies 15, no. 17: 6362. https://doi.org/10.3390/en15176362
APA StyleWang, T., Chen, X., Guo, Q., & Li, S. (2022). Research on the Topology and Control Strategy of a Novel Three-Port Converter. Energies, 15(17), 6362. https://doi.org/10.3390/en15176362
