Investigations of Vertical-Axis Wind-Turbine Group Synergy Using an Actuator Line Model
Abstract
:1. Introduction
2. Methodology
2.1. Actuator Line Model Formulation
2.2. Turbine Geometry and CFD Setup
2.3. Two-Turbine Group (Array) Configurations
2.4. Three-Turbine Group (Array) Configurations
2.5. Synergy Superposition Scheme
3. Results and Discussion
3.1. Validation
3.2. Two-Turbine Group (Array) Results
3.3. Three-Turbine Group (Array) Results
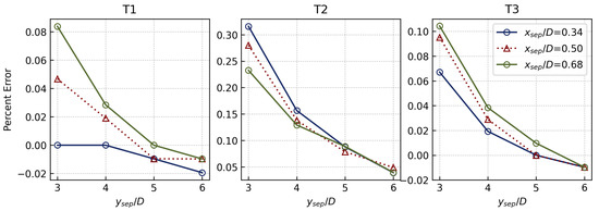
3.4. Synergy-Superposition Scheme Results
4. Conclusions
Author Contributions
Funding
Institutional Review Board Statement
Informed Consent Statement
Conflicts of Interest
Abbreviations
| ALM | actuator line model |
| BEM | blade element momentum |
| CFD | computational fluid dynamics |
| HAWT | horizontal-axis wind turbine |
| TSR | tip-speed ratio |
| URANS | unsteady Reynolds-Averaged Navier–Stokes |
| VAWT | vertical-axis wind turbine |
References
- Möllerström, E.; Gipe, P.; Beurskens, J.; Ottermo, F. A historical review of vertical axis wind turbines rated 100 kW and above. Renew. Sustain. Energy Rev. 2019, 105, 1–13. [Google Scholar] [CrossRef]
- Liu, K.; Yu, M.; Zhu, W. Enhancing wind energy harvesting performance of vertical axis wind turbines with a new hybrid design: A fluid-structure interaction study. Renew. Energy 2019, 140, 912–927. [Google Scholar] [CrossRef]
- Abhishek, P.J.A. Performance prediction and fundamental understanding of small scale vertical axis wind turbine with variable amplitude blade pitching. Renew. Energy 2016, 97, 97–113. [Google Scholar]
- Johari, M.K.; Jalil, M.A.A.; Shariff, M.F.M. Comparison of horizontal axis wind turbine (HAWT) and vertical axis wind turbine (VAWT). Int. J. Eng. Technol. 2018, 7, 74–80. [Google Scholar] [CrossRef]
- Du, L.; Ingram, G.; Dominy, R.G. A review of H-Darrieus wind turbine aerodynamic research. J. Mech. Eng. Sci. 2019, 233, 23–24. [Google Scholar] [CrossRef]
- Ghasemian, M.; Ashrafi, Z.N.; Sedaghat, A. A review on computational fluid dynamic simulation techniques for Darrieus vertical axis wind turbines. Energy Convers. Manag. 2017, 149, 87–100. [Google Scholar] [CrossRef]
- Dabiri, J.O. Potential order-of-magnitude enhancement of wind farm power density via counter-rotating vertical-axis wind turbine arrays. J. Renew. Sustain. Energy 2011, 3, 043104. [Google Scholar] [CrossRef]
- Paraschivoiu, I. Wind Turbine Design: With Emphasis on Darreius Concept; Presses Internationales Polytechniques: Montreal, QC, Canada, 2009. [Google Scholar]
- Nobile, R.; Vahdati, M.; Barlow, J.F.; Mewburn-Crook, A. Unsteady flow simulation of a vertical axis augmented wind turbine: A two-dimensional study. J. Wind. Eng. Ind. Aerodyn. 2014, 125, 168–179. [Google Scholar] [CrossRef]
- Elkhoury, M.; Kiwata, T.; Aoun, E. Experimental and numerical investigation of a three-dimensional vertical-axis wind turbine with variable-pitch. J. Wind. Eng. Ind. Aerodyn. 2015, 139, 111–123. [Google Scholar] [CrossRef]
- Abdalrahman, G. Pitch Angle Control for a Small-Scale Darrieus Vertical Axis Wind Turbine with Straight Blades (H-Type VAWT). Ph.D. Thesis, University of Waterloo, Waterloo, ON, Canada, 2019. [Google Scholar]
- Tavernier, D.D.; Ferreira, C.; van Bussel, G. Airfoil optimisation for vertical-axis wind turbines with variable pitch. Wind Energy 2019, 22, 547–562. [Google Scholar] [CrossRef]
- Strom, B.; Brunton, S.L.; Polagye, B. Intracycle angular velocity control of cross-flow turbines. Nat. Energy 2017, 2, 17103. [Google Scholar] [CrossRef] [Green Version]
- Kinzel, M.; Mulligan, Q.; Dabiri, J.O. Energy exchange in an array of vertical-axis wind turbines. J. Turbul. 2012, 13, N38. [Google Scholar] [CrossRef]
- Hezaveh, S.H.; Bou-Zeid, E.; Dabiri, J.O.; Kinzel, M.; Cortina, G.; Martinelli, L. Increasing the power production of vertical-axis wind-turbine farms using synergistic clustering. Bound.-Layer Meteorol. 2018, 169, 275–296. [Google Scholar] [CrossRef]
- Ahmadi-Baloutaki, M.; Carriveau, R.; Ting, D.S. A wind tunnel study on the aerodynamic interaction of vertical axis wind turbines in array configurations. Renew. Energy 2016, 96, 904–913. [Google Scholar] [CrossRef]
- Zanforlin, S.; Nishino, T. Fluid dynamic mechanisms of enhanced power generation by closely spaced vertical axis wind turbines. Renew. Energy 2016, 99, 1213–1226. [Google Scholar] [CrossRef]
- Lam, H.F.; Peng, H.Y. Measurements of the wake characteristics of co- and counter-rotating twin H-rotor vertical axis wind turbines. Energy 2017, 131, 13–26. [Google Scholar] [CrossRef]
- Peng, J. Effects of aerodynamic interactions of closely-placed vertical axis wind turbine pairs. Energies 2018, 11, 2842. [Google Scholar] [CrossRef]
- Shaaban, S.; Albatal, A.; Mohamed, M.H. Optimization of H-Rotor Darrieus turbines’ mutual interaction in staggered arrangements. Renew. Energy 2018, 125, 87–99. [Google Scholar] [CrossRef]
- Barnes, A.; Hughes, B. Determining the impact of VAWT farm configurations on power output. Renew. Energy 2019, 143, 1111–1120. [Google Scholar] [CrossRef]
- Brownstein, I.D.; Wei, N.J.; Dabiri, J.O. Aerodynamically interacting vertical axis wind turbines: Performance enhancement and three-dimensional flow. Energies 2019, 12, 2724. [Google Scholar] [CrossRef]
- Hansen, J.T.; Mahak, M.; Tzanakis, I. Numerical modelling and optimization of vertical axis wind turbine pairs: A scale up approach. Renew. Energy 2021, 171, 1371–1381. [Google Scholar] [CrossRef]
- Hamada, K.; Smith, T.; Durrani, N.; Qin, N.; Howell, R. Unsteady flow simulation and dynamic stall around vertical axis wind turbine blades. In Proceedings of the 46th AIAA Aerospace Sciences Meeting and Exhibit, Reno, Nevada, 7–10 January 2008. [Google Scholar]
- Howell, R.; Qin, N.; Edwards, J.; Durrani, N. Wind tunnel and numerical study of a small vertical axis wind turbine. Renew. Energy 2010, 35, 412–422. [Google Scholar] [CrossRef]
- Buchner, A.J.; Lohry, M.W.; Martinelli, L.; Soria, J.; Smits, A.J. Dynamic stall in vertical axis wind turbines: Comparing experiments and computations. J. Wind. Eng. Ind. Aerodyn. 2015, 146, 163–171. [Google Scholar] [CrossRef]
- Orlandi, A.; Collu, M.; Zanforlin, S.; Shires, A. 3D URANS analysis of a vertical axis wind turbine in skewed flows. J. Wind. Eng. Ind. Aerodyn. 2015, 147, 77–84. [Google Scholar] [CrossRef]
- Zuo, W.; Wang, X.; Kang, S. Numerical simulations on the wake effect of H-type vertical axis wind turbines. Energy 2016, 106, 691–700. [Google Scholar] [CrossRef]
- Li, C.; Zhu, S.; Xu, Y.; Xiao, Y. 2.5D large eddy simulation of vertical axis wind turbine in consideration of high angle of attack flow. Renew. Energy 2013, 51, 317–330. [Google Scholar] [CrossRef]
- Shamsoddin, S.; Porté-Agel, F. Large Eddy Simulation of vertical axis wind turbine wakes. Energies 2014, 7, 890–912. [Google Scholar] [CrossRef]
- Sanderse, B.; van der Pijl, S.P.; Koren, B. Review of computational fluid dynamics for wind turbine wake aerodynamics. Wind Energy 2011, 14, 799–819. [Google Scholar] [CrossRef]
- Delafin, P.L.; Nishino, T.; Kolios, A.; Wang, L. Comparison of low-order aerodynamic models and RANS CFD for full scale 3D vertical axis wind turbines. Renew. Energy 2017, 109, 564–575. [Google Scholar] [CrossRef]
- Ning, A. Actuator cylinder theory for multiple vertical axis wind turbines. Wind. Energy Sci. 2016, 1, 327–340. [Google Scholar] [CrossRef]
- Zhao, R.; Creech, A.C.W.; Borthwick, A.G.L.; Venugoal, V.; Nishino, T. Aerodynamic analysis of a two-bladed vertical-axis wind turbine using a coupled unsteady RANS and Actuator Line Model. Energies 2020, 13, 776. [Google Scholar] [CrossRef] [Green Version]
- Sørensen, J.N.; Shen, W.Z. Numerical modeling of wind turbine wakes. J. Fluids Eng. 2002, 124, 393–399. [Google Scholar] [CrossRef]
- Hezaveh, S.H.; Bou-Zeid, E.; Lohry, M.W.; Martinelli, L. Simulation and wake analysis of a single vertical axis wind turbine. Wind Energy 2017, 20, 713–730. [Google Scholar] [CrossRef]
- Creech, A.C.W.; Borthwick, A.G.L.; Ingram, D. Effects of support structures in an LES actuator line model of a tidal turbine with contra-rotating rotors. Energies 2017, 10, 726. [Google Scholar] [CrossRef]
- Abkar, M. Impact of subgrid-scale modeling in actuator-line based large-eddy simulation of vertical-axis wind turbine wakes. Atmosphere 2018, 9, 257. [Google Scholar] [CrossRef]
- Bachant, P.; Goude, A.; Wosnik, M. Actuator line modeling of vertical-axis turbines. arXiv 2018, arXiv:1605.01449v4. [Google Scholar]
- Melani, P.F.; Balduzzi, F.; Bianchini, A. A robust procedure to implement dynamic stall models into actuator line methods for the simulation of vertical-axis wind turbines. J. Eng. Gas Turbines Power 2021, 143, 111008. [Google Scholar] [CrossRef]
- Melani, P.F.; Balduzzi, F.; Bianchini, A. Simulating tip effects in vertical-axis wind turbines with the actuator line method. J. Phys. Conf. Ser. 2022, 2265, 032028. [Google Scholar] [CrossRef]
- Melani, P.F.; Balduzzi, F.; Ferrara, G.; Bianchini, A. Tailoring the actuator line theory to the simulation of Vertical-Axis Wind Turbines. Energy Convers. Manag. 2021, 243, 114422. [Google Scholar] [CrossRef]
- Raj V, S.; Solanki, R.S.; Chalamalla, V.K.; Sinha, S.S. Numerical simulations and analysis of flow past vertical-axis wind turbines employing the actuator line method. In Proceedings of the 26th National and 4th International ISHMT-ASTFE Heat and Mass Transfer Conference, Tamil Nadu, India, 17–20 December 2021. [Google Scholar]
- Bachant, P.; Goude, A.; Wosnik, M. turbinesFoam: v0.0.8.Zenodo. 2018. Available online: https://zenodo.org/record/1210366 (accessed on 3 August 2021). [CrossRef]
- Mendoza, V.; Bachant, P.; Ferreira, C.; Goude, A. Near-wake flow simulation of a vertical axis turbine using an actuator line model. Wind Energy 2019, 22, 171–188. [Google Scholar] [CrossRef]
- Mendoza, V.; Goude, A. Validation of actuator line and vortex models using normal forces measurements of a straight-bladed vertical axis wind turbine. Energies 2020, 13, 511. [Google Scholar] [CrossRef] [Green Version]
- Sheldahl, R.E.; Klimas, P.C. Aerodynamic Characteristics of Seven Symmetrical Airfoil Sections through 180-Degree Angle of Attack for Use in Aerodynamic Analysis of Vertical Axis Wind Turbines; Technical Report SAND8O-2114; Sandia National Laboratories: Albuquerque, NM, USA, 1981. [Google Scholar]
- LeBlanc, B.P.; Ferreira, C.S. Experimental determination of thrust loading of a 2-bladed vertical axis wind turbine. J. Phys. Conf. Ser. 2018, 1037, 022043. [Google Scholar] [CrossRef]
- Balduzzi, F.; Bianchini, A.; Maleci, R.; Ferrara, G.; Ferrari, L. Critical issues in the CFD simulation of Darrieus wind turbines. Renew. Energy 2016, 85, 419–435. [Google Scholar] [CrossRef]
- Scheurich, F.; Brown, R.E. Effect of dynamic stall on the aerodynamics of vertical-axis wind turbines. AIAA J. 2011, 49, 2511–2521. [Google Scholar] [CrossRef]
- Zheng, H.D.; Zheng, X.Y.; Zhao, S.X. Arrangement of clustered straight-bladed wind turbines. Energy 2020, 200, 117563. [Google Scholar] [CrossRef]
- Jodai, Y.; Hara, Y. Wind tunnel experiments on interaction between two closely spaced vertical-axis wind turbines in side-by-side arrangement. Energies 2021, 14, 7874. [Google Scholar] [CrossRef]
- Hara, Y.; Jodai, Y.; Okinaga, T.; Furukawa, M. Numerical analysis of the dynamic interaction between two closely spaced vertical-axis wind turbines. Energies 2021, 14, 2286. [Google Scholar] [CrossRef]
















| Property | Value |
|---|---|
| Turbine diameter (D) | 1.48 m |
| Number of blades | 2 |
| Airfoil type | NACA 0021 |
| Blade chord (c) | 0.075 m |
| Blade span (L) | 1.5 m |
| Blade pitch () | 0 |
| Tip-speed ratio () | 3.7 |
| Rotational speed () | 20.05 rad s |
| Parameter | Value |
|---|---|
| Inlet (freestream) velocity | 4.01 m s |
| Turbulence model | k- SST |
| Inlet turbulence kinetic energy | 0.24 |
| Inlet specific dissipation rate | 1.78 |
| Density () | 1.207 |
| Time step size | 0.003 s |
| Domain size: | 135 m × 90 m × 2.85 m |
Publisher’s Note: MDPI stays neutral with regard to jurisdictional claims in published maps and institutional affiliations. |
© 2022 by the authors. Licensee MDPI, Basel, Switzerland. This article is an open access article distributed under the terms and conditions of the Creative Commons Attribution (CC BY) license (https://creativecommons.org/licenses/by/4.0/).
Share and Cite
Zhang, J.H.; Lien, F.-S.; Yee, E. Investigations of Vertical-Axis Wind-Turbine Group Synergy Using an Actuator Line Model. Energies 2022, 15, 6211. https://doi.org/10.3390/en15176211
Zhang JH, Lien F-S, Yee E. Investigations of Vertical-Axis Wind-Turbine Group Synergy Using an Actuator Line Model. Energies. 2022; 15(17):6211. https://doi.org/10.3390/en15176211
Chicago/Turabian StyleZhang, Ji Hao, Fue-Sang Lien, and Eugene Yee. 2022. "Investigations of Vertical-Axis Wind-Turbine Group Synergy Using an Actuator Line Model" Energies 15, no. 17: 6211. https://doi.org/10.3390/en15176211
APA StyleZhang, J. H., Lien, F.-S., & Yee, E. (2022). Investigations of Vertical-Axis Wind-Turbine Group Synergy Using an Actuator Line Model. Energies, 15(17), 6211. https://doi.org/10.3390/en15176211

