Investigation into the Aerodynamic Performance of a Vertical Axis Wind Turbine with Endplate Design
Abstract
1. Introduction
2. Methodology
2.1. Aerodynamics of the H-Rotor Darrieus VAWT
2.2. Rotor Geometry
2.3. Endplate Geometry
2.4. Sub-Domain of CFD and Boundary Conditions
2.5. Solver Settings
2.6. Model Validation and Mesh Independent Test
3. Results and Discussions
3.1. Overall CP Performance
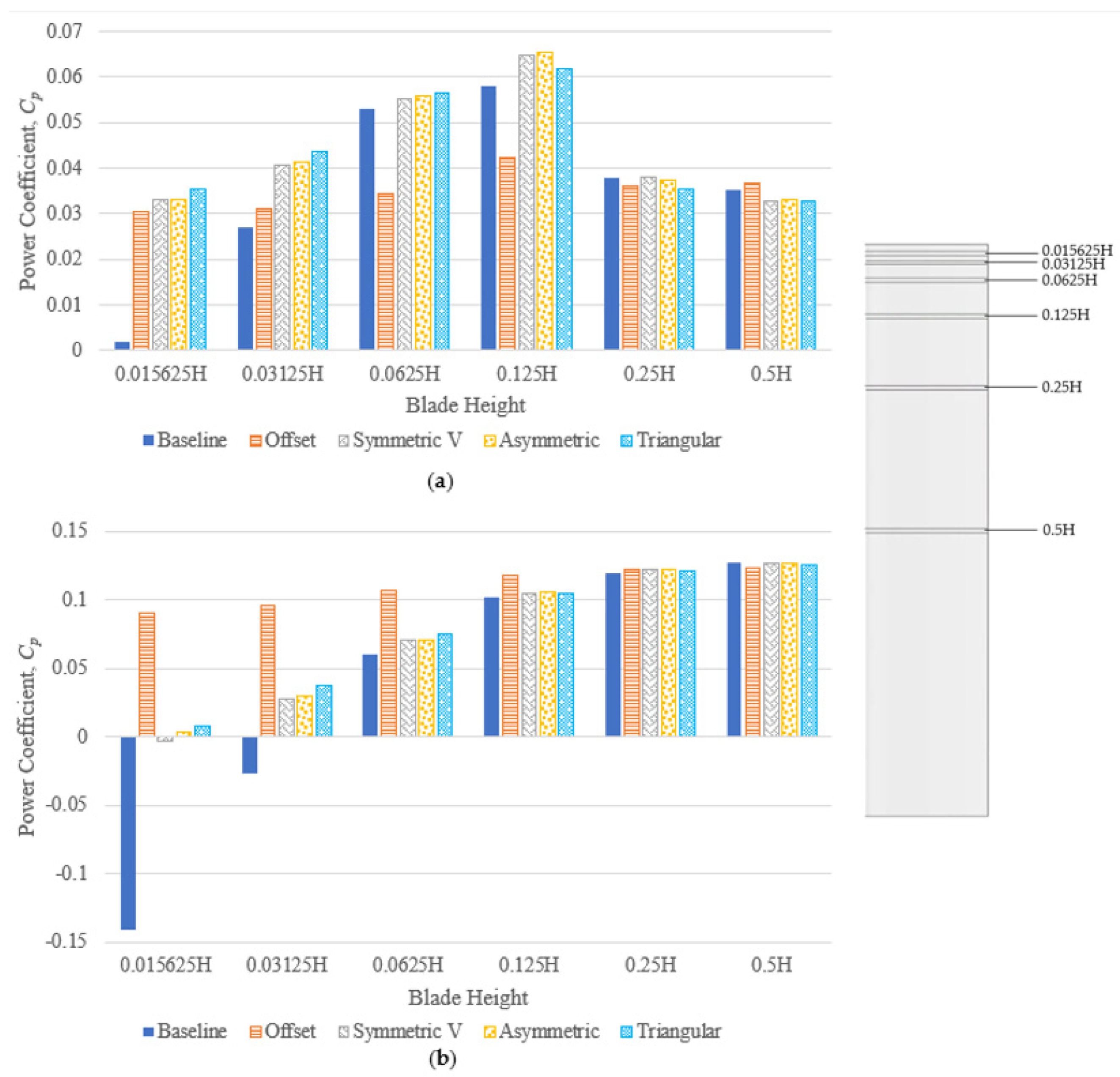
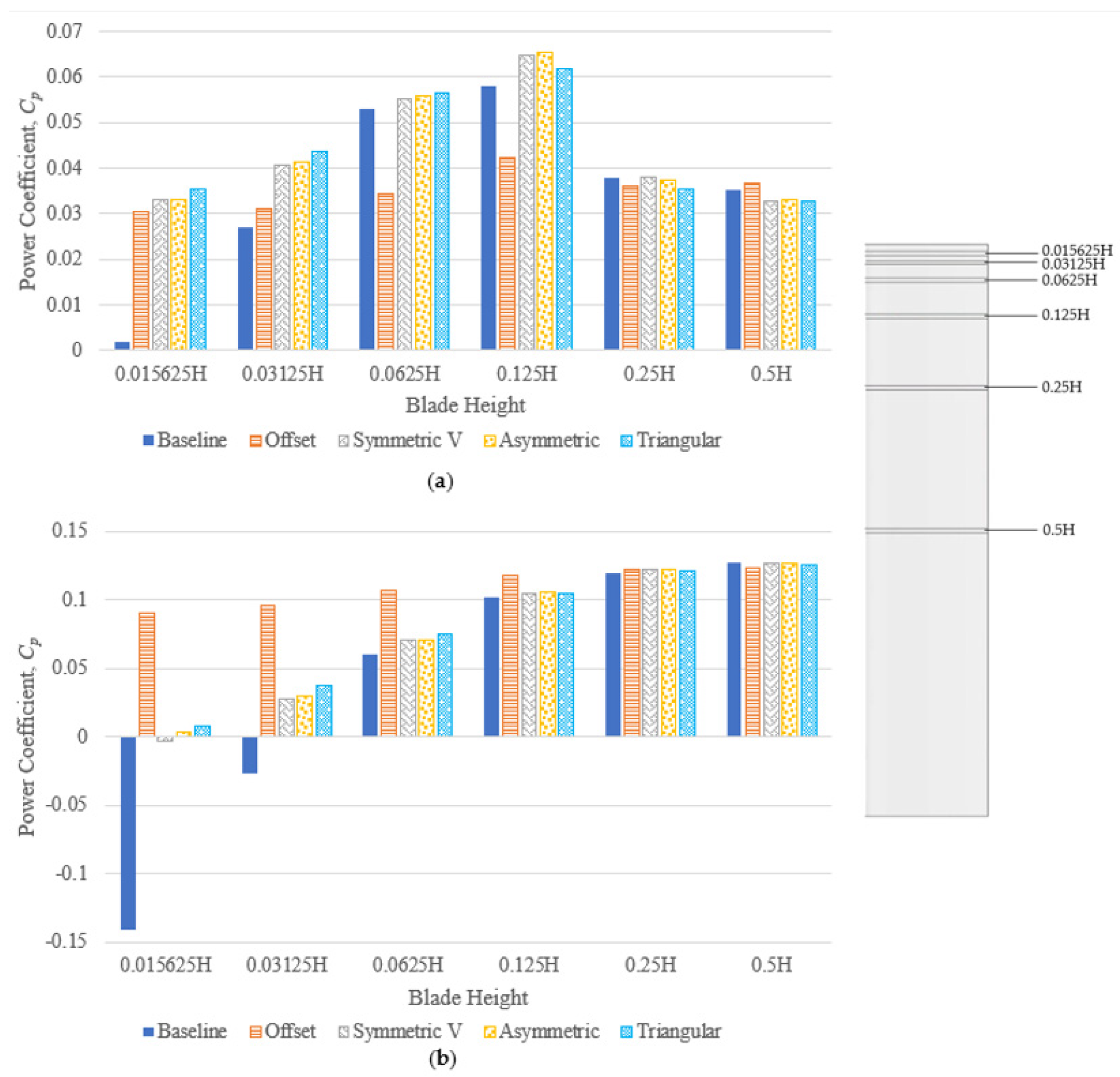
3.2. Blade 1 Performance
3.3. Endplate Performance
4. Conclusions
Author Contributions
Funding
Acknowledgments
Conflicts of Interest
References
- GWEC. Global Wind Report 2022. Global Wind Energy Council. 2022. Available online: https://gwec.net/global-wind-report-2022/ (accessed on 10 July 2022).
- Malla, A.; Han, Z.; Zhou, D. Effect of a winglet on the Power Augmentation of Straight Bladed Darrieus Wind Turbine. IOP Conf. Ser. Earth Environ. Sci. 2020, 505, 012041. [Google Scholar] [CrossRef]
- Tjiu, W.; Marnoto, T.; Mat, S.; Ruslan, M.H.; Sopian, K. Darrieus vertical axis wind turbine for power generation II: Challenges in HAWT and the opportunity of multi-megawatt Darrieus VAWT development. Renew. Energy 2015, 75, 560–571. [Google Scholar] [CrossRef]
- Laín, S.; Taborda, M.A.; López, O.D. Numerical Study of the Effect of Winglets on the Performance of a Straight Blade Darrieus Water Turbine. Energies 2018, 11, 297. [Google Scholar] [CrossRef]
- Sharma, V.; Sharma, S.; Sharma, G. Recent development in the field of wind turbine. Mater. Today Proc. 2022, 64, 1512–1520. [Google Scholar] [CrossRef]
- Arredondo-Galeana, A.; Brennan, F. Floating Offshore Vertical Axis Wind Turbines: Opportunities, Challenges and Way Forward. Energies 2021, 14, 8000. [Google Scholar] [CrossRef]
- Dewan, A.; Gautam, A.; Goyal, R. Savonius wind turbines: A review of recent advances in design and performance enhancements. Mater. Today Proc. 2021, 47, 2976–2983. [Google Scholar] [CrossRef]
- Lam, H.F.; Peng, H.Y. Study of wake characteristics of a vertical axis wind turbine by two- and three-dimensional computational fluid dynamics simulations. Renew. Energy 2016, 90, 386–398. [Google Scholar] [CrossRef]
- Gosselin, R.; Dumas, G.; Boudreau, M. Parametric study of H-Darrieus vertical-axis turbines using CFD simulations. J. Renew. Sustain. Energy 2016, 8, 053301. [Google Scholar] [CrossRef]
- Zhang, T.T.; Elsakka, M.; Huang, W.; Wang, Z.G.; Ingham, D.B.; Ma, L.; Pourkashanian, M. Winglet design for vertical axis wind turbines based on a design of experiment and CFD approach. Energy Convers. Manag. 2019, 195, 712–726. [Google Scholar] [CrossRef]
- Howell, R.; Qin, N.; Edwards, J.; Durrani, N. Wind tunnel and numerical study of a small vertical axis wind turbine. Renew. Energy 2010, 35, 412–422. [Google Scholar] [CrossRef]
- Miao, W.; Liu, Q.; Xu, Z.; Yue, M.; Li, C.; Zhang, W. A comprehensive analysis of blade tip for vertical axis wind turbine: Aerodynamics and the tip loss effect. Energy Convers. Manag. 2022, 253, 115140. [Google Scholar] [CrossRef]
- Jung, J.H.; Kim, M.J.; Yoon, H.S.; Hung, P.A.; Chun, H.H.; Park, D.W. Endplate effect on aerodynamic characteristics of three-dimensional wings in close free surface proximity. Int. J. Nav. Archit. Ocean. Eng. 2012, 4, 477–487. [Google Scholar] [CrossRef]
- Syawitri, T.P.; Yao, Y.; Yao, J.; Chandra, B. A review on the use of passive flow control devices as performance enhancement of lift-type vertical axis wind turbines. Wiley Interdiscip. Rev. Energy Environ. 2022, 11, e435. [Google Scholar] [CrossRef]
- Johansen, J.; Sørensen, N. Numerical Analysis of Winglets on Wind Turbine Blades using CFD. In Proceedings of the in European Wind Energy Conference, Milan, Italy, 7–10 May 2007. [Google Scholar]
- Amato, F.; Bedon, G.; Castelli, M.R.; Benini, E. Numerical Analysis of the Influence of Tip Devices on the Power Coefficient of a VAWT. Int. J. Aerosp. Mech. Eng. 2013, 7, 1053–1060. [Google Scholar]
- Mousavi, M.; Masdari, M.; Tahani, M. Power performance enhancement of vertical axis wind turbines by a novel gurney flap design. Aircr. Eng. Aerosp. Technol. 2022, 94, 482–491. [Google Scholar] [CrossRef]
- Jiang, Y.; He, C.; Zhao, P.; Sun, T. Investigation of Blade Tip Shape for Improving VAWT Performance. J. Mar. Sci. Eng. 2020, 8, 225. [Google Scholar] [CrossRef]
- Premkumar, T.M.; Sivamani, S.; Kirthees, E.; Hariram, V.; Mohan, T. Data set on the experimental investigations of a helical Savonius style VAWT with and without end plates. Data Brief 2018, 19, 1925–1932. [Google Scholar] [CrossRef]
- Kassab, S.Z.; Chemengich, S.J.; Lotfy, E.R. The effect of endplate addition on the performance of the savonius wind turbine: A 3-D study. Proc. Inst. Mech. Eng. Part A J. Power Energy 2022, 09576509221098480. [Google Scholar] [CrossRef]
- Daróczy, L.; Janiga, G.; Thévenin, D. Optimization of a winglet for improving the performance of an H-Darrieus turbine using CFD. In Proceedings of the 16th International Symposium on Transport Phenomena and Dynamics of Rotating Machinery, Honolulu, HI, USA, 10–15 April 2016. [Google Scholar]
- Nathan, K.R.; Thanigaiarasu, S. Effect of different endplates on blade aerodynamic performance and blade loading of VAWT with symmetric airfoil blades. In Proceedings of the 2017 International Conference on Green Energy and Applications (ICGEA), Singapore, 25–27 March 2017; pp. 1–5. [Google Scholar] [CrossRef]
- Mishra, N.; Gupta, A.S.; Dawar, J.; Kumar, A.; Mitra, S. Numerical and Experimental Study on Performance Enhancement of Darrieus Vertical Axis Wind Turbine With Wingtip Devices. J. Energy Resour. Technol. 2018, 140, 121201. [Google Scholar] [CrossRef]
- Barnes, A.; Marshall-Cross, D.; Hughes, B.R. Towards a standard approach for future Vertical Axis Wind Turbine aerodynamics research and development. Renew. Sustain. Energy Rev. 2021, 148, 111221. [Google Scholar] [CrossRef]
- Watanabe, K.; Takahashi, S.; Ohya, Y. Application of a Diffuser Structure to Vertical-Axis Wind Turbines. Energies 2016, 9, 406. [Google Scholar] [CrossRef]
- Siddiqui, M.S.; Durrani, N.; Akhtar, I. Quantification of the effects of geometric approximations on the performance of a vertical axis wind turbine. Renew. Energy 2015, 74, 661–670. [Google Scholar] [CrossRef]
- Aihara, A.; Mendoza, V.; Goude, A.; Bernhoff, H. Comparison of Three-Dimensional Numerical Methods for Modeling of Strut Effect on the Performance of a Vertical Axis Wind Turbine. Energies 2022, 15, 2361. [Google Scholar] [CrossRef]
- ANSYS. ANSYS Fluent—User Guide, Release 17.2 ed; ANSYS Inc.: Canonsburg, PA, USA, 2016. [Google Scholar]
- Menter, F.R. Two-equation eddy-viscosity turbulence models for engineering applications. AIAA J. 1994, 32, 1598–1605. [Google Scholar] [CrossRef]
- Wong, K.H.; Chong, W.T.; Poh, S.C.; Shiah, Y.-C.; Sukiman, N.L.; Wang, C.-T. 3D CFD simulation and parametric study of a flat plate deflector for vertical axis wind turbine. Renew. Energy 2018, 129, 32–55. [Google Scholar] [CrossRef]
- Dol, S.; Khamis, A.; Abdallftah, M.; Fares, M.; Pervaiz, S. CFD Analysis of Vertical Axis Wind Turbine with Winglets. Renew. Energy Res. Appl. 2022, 3, 51–59. [Google Scholar]
- Maître, T.; Amet, E.; Pellone, C. Modeling of the flow in a Darrieus water turbine: Wall grid refinement analysis and comparison with experiments. Renew. Energy 2013, 51, 497–512. [Google Scholar] [CrossRef]
- Yang, Y.; Guo, Z.; Zhang, Y.; Jinyama, H.; Li, Q. Numerical Investigation of the Tip Vortex of a Straight-Bladed Vertical Axis Wind Turbine with Double-Blades. Energies 2017, 10, 1721. [Google Scholar] [CrossRef]




















| Author | Wingtip Device | Parameter | Application | Main Finding |
|---|---|---|---|---|
| Jung et al. [13] | Endplate | Distance from the free surface | WIG craft | 14% and 124% improvement in CP at the leading edge and trailing edge, respectively. Improvement degrades as the distance from the free surface increases. |
| Johansen and Sørensen [15] | Winglet | Winglet height, sweep angle, curvature radius, twist angle | HAWT | Power improved by 0.98% to 2.77%. A smaller curvature radius generates larger power improvements. |
| Laín et al. [4] | Winglet | Symmetric and asymmetric winglet | Darrieus water turbine | Symmetric winglet brought a larger improvement at 20%. |
| Syawitri et al. [14] | Winglet and others | - | Lift-type VAWT | 10–19% power improvement in the low TSR regime and 6.7–10.5% at the medium regime. |
| Mousavi et al. [17] | Gurney Flap | Placement of flap and angle | Two-bladed lift-type VAWT | Gurney flap enhances CP at low TSRs. Angled gurney flap provides superior performance over standard gurney flap configuration. |
| Malla et al. [2] | Winglet | Curvature radius | Lift-type VAWT | Aerodynamic performance increases as the curvature radius decreases. |
| Premkumar et al. [19] | Endplate | Presence of endplate | Savonius drag-type helical VAWT | Endplate lowers the torque coefficient and raises the power coefficient. |
| Kassab et al. [20] | Endplate | Presence of endplate | Savonius drag-type VAWT | The average lift and drag coefficients were elevated by 400% and 180%, respectively, while the CP saw a 42.5% improvement over the bare VAWT at TSR 0.8. |
| Amato et al. [16] | Winglet, elliptical termination and endplate | Winglet—cant angle and winglet length | Single-bladed lift-type VAWT | Winglet with 90° cant angle achieved 11.85% increment at 620 rpm. |
| Miao et al. [12] | Winglet and endplate | Wingtip device designs | H-rotor Darrieus VAWT | Improvements from the endplate degrade as TSR increases. Only the streamlined-shaped endplate and a novel Winglet-H can improve CP over a larger range of TSRs. |
| Daróczy et al. [21] | Winglet and endplate | Cant angle and sweep angle | Three-bladed lift-type VAWT | All 6 winglet configurations reduced the power output compared to the baseline turbine. Endplate improved power output by 0.65%. |
| Jiang et al. [18] | Endplate | Endplate offset | Single-bladed lift-type VAWT | The optimal size of endplate is 0.35c. |
| Gosselin et al. [9] | Endplate | Aspect ratio and endplate shape | Single-bladed lift-type VAWT | Lower AR blades suffer larger tip losses. Endplates reduce the blade tip effect, but overly sized endplates decrease the turbine performance. |
| Nathan and Thanigaiarasu [22] | Endplate | Endplate Shape | Three-bladed lift-type VAWT | The aerofoil-shaped and rectangular endplates elevated the CP by up to 3%, while the full circular endplate, which covers the entire rotor, showed negative results. |
| Mishra et al. [23] | Endplate | Endplate offset | Three-bladed lift-type VAWT | Endplates levitated the CP and RPM of the turbine. |
| Mesh | Blade Mesh Size (mm) | Rotor Mesh Elements (Million) | Computational Time Per Cycle (hrs) | CP,ave | Percentage Error with Consecutive Cycle (%) |
|---|---|---|---|---|---|
| A | 5.0 | 1.85 | 6 | 0.1622 | 9.23 |
| B | 3.0 | 3.14 | 8 | 0.1787 | 3.30 |
| C | 2.0 | 5.60 | 10 | 0.1848 | 1.44 |
| D | 1.5 | 8.30 | 12 | 0.1875 | 0.95 |
| E | 1.2 | 12.80 | 19 | 0.1893 | - |
| VAWT Configuration | TSR 1 | TSR 2 | ||
|---|---|---|---|---|
| CP,ave | Percentage Improvement (%) | CP,ave | Percentage Improvement (%) | |
| Baseline | 0.0805 | - | 0.1875 | - |
| Offset | 0.0626 | −22.24 | 0.1863 | −0.64 |
| Symmetric V | 0.0815 | 1.31 | 0.1908 | 1.73 |
| Asymmetric | 0.0820 | 1.88 | 0.1902 | 1.42 |
| Triangular | 0.0807 | 0.27 | 0.1907 | 1.68 |
| VAWT Configuration | TSR 1 | TSR 2 | ||
|---|---|---|---|---|
| CP,ave | Percentage Improvement (%) | CP,ave | Percentage Improvement (%) | |
| Baseline | 0.0020 | - | −0.1409 | - |
| Offset | 0.0304 | 1410.53 | 0.0897 | 163.68 |
| Symmetric V | 0.0331 | 1542.47 | −0.0027 | 98.10 |
| Asymmetric | 0.0331 | 1542.64 | 0.0036 | 102.54 |
| Triangular | 0.0353 | 1650.82 | 0.0077 | 105.50 |
| VAWT Configuration | CP,ave on Effective Blade Surface | Net Blade 1 CP,ave | Percentage Reduction (%) | Improvement on Effective Blade Surface (%) | Net Percentage Improvement (%) |
|---|---|---|---|---|---|
| Baseline | 0.0403 | 0.0403 | 0 | - | - |
| Offset | 0.0364 | 0.0311 | 14.56 | −9.58 | −22.74 |
| Symmetric V | 0.0421 | 0.0409 | 2.87 | 4.42 | 1.43 |
| Asymmetric | 0.0425 | 0.0411 | 3.22 | 5.38 | 1.98 |
| Triangular | 0.0415 | 0.0401 | 3.43 | 2.97 | −0.56 |
| VAWT Configuration | CP,ave on Effective Blade Surface | Net Blade 1 CP,ave | Percentage Reduction (%) | Improvement on Effective Blade Surface (%) | Net Percentage Improvement (%) |
|---|---|---|---|---|---|
| Baseline | 0.0939 | 0.0939 | 0 | - | - |
| Offset | 0.1164 | 0.0925 | 20.54 | 23.97 | −1.49 |
| Symmetric V | 0.1062 | 0.0954 | 10.16 | 13.13 | 1.64 |
| Asymmetric | 0.1062 | 0.0950 | 10.54 | 13.13 | 1.21 |
| Triangular | 0.1066 | 0.0949 | 10.97 | 13.55 | 1.09 |
Publisher’s Note: MDPI stays neutral with regard to jurisdictional claims in published maps and institutional affiliations. |
© 2022 by the authors. Licensee MDPI, Basel, Switzerland. This article is an open access article distributed under the terms and conditions of the Creative Commons Attribution (CC BY) license (https://creativecommons.org/licenses/by/4.0/).
Share and Cite
Ung, S.-K.; Chong, W.-T.; Mat, S.; Ng, J.-H.; Kok, Y.-H.; Wong, K.-H. Investigation into the Aerodynamic Performance of a Vertical Axis Wind Turbine with Endplate Design. Energies 2022, 15, 6925. https://doi.org/10.3390/en15196925
Ung S-K, Chong W-T, Mat S, Ng J-H, Kok Y-H, Wong K-H. Investigation into the Aerodynamic Performance of a Vertical Axis Wind Turbine with Endplate Design. Energies. 2022; 15(19):6925. https://doi.org/10.3390/en15196925
Chicago/Turabian StyleUng, Shern-Khai, Wen-Tong Chong, Shabudin Mat, Jo-Han Ng, Yin-Hui Kok, and Kok-Hoe Wong. 2022. "Investigation into the Aerodynamic Performance of a Vertical Axis Wind Turbine with Endplate Design" Energies 15, no. 19: 6925. https://doi.org/10.3390/en15196925
APA StyleUng, S.-K., Chong, W.-T., Mat, S., Ng, J.-H., Kok, Y.-H., & Wong, K.-H. (2022). Investigation into the Aerodynamic Performance of a Vertical Axis Wind Turbine with Endplate Design. Energies, 15(19), 6925. https://doi.org/10.3390/en15196925

