Research on the Novel Flexible On-Load Voltage Regulator Transformer and Voltage Stability Analysis
Abstract
:1. Introduction
2. Structure of Flexible On-Load Voltage Regulator Transformer
3. Principle of Step-Less Voltage Regulation
- Before the step-adjusted tap switches SW action, the PEC outputs continuously varying voltage, and when the voltage amplitude of the PEC reaches the maximum limit, the step-adjusted tap switches SW will start to operate;
- When the step voltage regulation is carried out, the voltage amplitude of the PEC becomes zero. Adjust the tap winding to ensure that the load voltage is consistent before and after the tap switches SW action, so as to realize the cooperation of step and step-less voltage regulation.
4. The Voltage Stability Model Considering Flexible OLVR Transformer
4.1. Modeling and Analysis of Voltage Stability in Power System
4.2. Influence of Deviation from Critical Stability Point of OLTC Transformer
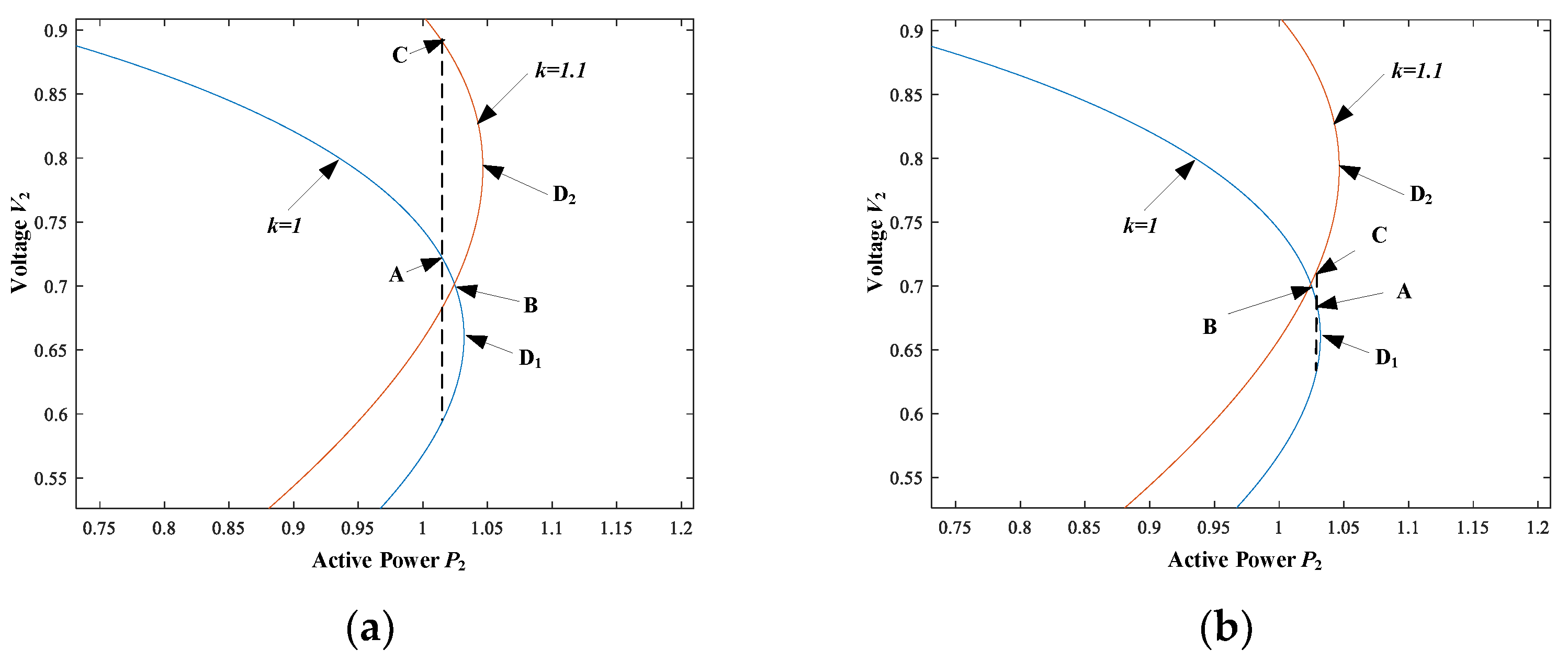
- The larger the value between voltage regulating tap, in other words, the larger the difference between k1 and k2, the bigger the deviation of negative adjustment effect above the critical voltage stability point. It means the voltage stability zone of the power system become smaller, and the system is to generate voltage instability easily in the process of voltage regulating.
- The greater the capacity, the greater the influence of the switch adjustment on the voltage stability. Thus the “negative adjustment effect” is less likely to occur in the small capacity on-load voltage regulation.
- Under the condition of short-distance transmission, the process of voltage regulating can make the intersection point of P-V curve under the static critical point, and increase the static stable zone. Even if the operating point falls below the critical voltage stable point, it can still be restored to the stable state if the variable ratio can be adjusted quickly.
5. Study on the Voltage Stability of Flexible OLVR Transformer
5.1. Voltage Stability Model of Flexible OLVR Transformer Based on Controllable Voltage Source Equivalent
5.2. Voltage Stability Model of Flexible OLVR Transformer Based on Controllable Impedance Equivalent
6. Simulation Results
7. Experiment Results
8. Conclusions
Author Contributions
Funding
Conflicts of Interest
Nomenclature
| Symbol and Constant | |
| L0 | Main Winding of the OLVR Transformers |
| Lpo | Power winding at the primary side of the OLVR transformer |
| Lx | Regulating tap windings of the OLVR transformer |
| Kx | On-load tap-chargers of Flexible OLVR |
| L1 | Filter inductor of parallel converter of PEC |
| L2 | Filter inductor of series converter of PEC |
| C0 | Filter capacitor of series converter of PEC |
| CDC | DC bus capacitor of PEC |
| T0 | Isolation transformer of PEC |
| Variable and Function | |
| us | Voltage of the power grid |
| uwi | Voltage at the primary side of the OLVR transformer |
| uc | Compensation voltage of the PEC |
| uL | Load voltage at the secondary side of the OLVR transformer |
| K | OLVR transformation ratio |
| Grid voltage vector | |
| Grid voltage vector of Thevenin equivalent | |
| Load voltage vector | |
| Load current vector | |
| Compensation voltage vector | |
| S2 | Apparent power of the load |
| P2 | Load active power |
| Q2 | Load reactive power |
| Zs | Equivalent impedance of the transmission line |
| Rs | Equivalent resistance of the transmission line |
| Xs | Equivalent reactance of the transmission line |
| XT | Equivalent reactance of the transformer |
| Grid voltage amplitude | |
| Load voltage amplitude | |
| Angle between the vector and the load voltage vector | |
| Θ | Power factor angle of the resistive-inductive load |
| Zc | Complex equivalent controllable impedance of PEC |
| Rc | Active equivalent controllable impedance of PEC |
| Xc | Reactive equivalent controllable impedance of PEC |
| OLTC | On-Load Tap-Charger |
| OLVR | On-Load Voltage Regulation |
| PEC | Power Electronic Converter |
| VSC | Voltage Source Converter |
| IGBT | Insulated Gate Bipolar Transistors |
References
- Sun, H.; Guo, Q.; Qi, J.; Ajjarapu, V.; Bravo, R.; Chow, J.; Li, Z.; Moghe, R.; Nasr-Azadani, E.; Tamrakar, U.; et al. Review of Challenges and Research Opportunities for Voltage Control in Smart Grids. IEEE Trans. Power Syst. 2019, 34, 2790–2801. [Google Scholar] [CrossRef]
- Wang, G.L. A survey on effect of on-load tap changer on the voltage stability. Relay 2008, 36, 79–84. (In Chinese) [Google Scholar]
- Singh, P.; Bishnoi, S.K.; Meena, N.K. Moth Search Optimization for Optimal DERs Integration in Conjunction to OLTC Tap Operations in Distribution Systems. IEEE Syst. J. 2019, 14, 880–888. [Google Scholar] [CrossRef]
- Nouri, A.; Soroudi, A.; Keane, A. Strategic Scheduling of Discrete Control Devices in Active Distribution Systems. IEEE Trans. Power Deliv. 2020, 35, 2285–2299. [Google Scholar] [CrossRef]
- Pouladi, A.; Zadeh, A.K.; Nouri, A. Control of Parallel ULTC Transformers in Active Distribution Systems. IEEE Syst. J. 2019, 14, 960–970. [Google Scholar] [CrossRef]
- Ahmadinia, M.; Ghazi, R. Coordinated Control of STATCOM and ULTC to Reduce Capacity of STATCOM. In Proceedings of the Electrical Engineering (ICEE), Iranian Conference, Mashhad, Iran, 8–10 May 2018; pp. 1062–1066. [Google Scholar] [CrossRef]
- Cai, X.; Huang, Q.; Zhou, X.; Zhu, Y.; Sun, S.; Zhu, J. Multi-objective Dynamic Reactive Power Optimization Based on OLTC and Reactive Power Compensation. In Proceedings of the 2022 4th Asia Energy and Electrical Engineering Symposium (AEEES), Chengdu, China, 25–28 March 2022; pp. 825–831. [Google Scholar] [CrossRef]
- Huber, J.E.; Kolar, J.W. Applicability of Solid-State Transformers in Today’s and Future Distribution Grids. IEEE Trans. Smart Grid 2017, 10, 317–326. [Google Scholar] [CrossRef]
- Bhatt, P.K.; Kaushik, R. Intelligent Transformer Tap Controller for Harmonic Elimination in Hybrid Distribution Network. In Proceedings of the 2021 5th International Conference on Electronics, Communication and Aerospace Technology, Coimbatore, India, 2–4 December 2021; pp. 219–225. [Google Scholar] [CrossRef]
- Power, R.; Mithani, A.; Madawala, U.; Baguley, C. A Hybrid Transformer Topology for Distribution Network Voltage Regulation. In Proceedings of the 2021 IEEE Southern Power Electronics Conference (SPEC), Kigali, Rwanda, 6–9 December 2021; pp. 1–6. [Google Scholar] [CrossRef]
- Khokhlov, Y.I.; Safonov, V.I.; Lonzinger, P.V. Electromagnetic processes in power transformers with vector control. Russ. Electr. Eng. 2016, 87, 145–149. [Google Scholar] [CrossRef]
- Burkard, J.; Biela, J. Protection of hybrid transformers in the distribution grid. In Proceedings of the 2016 18th European Conference on Power Electronics and Applications (EPE’16 ECCE Europe), Karlsruhe, Germany, 5–9 September 2016; pp. 1–10. [Google Scholar]
- Kawabe, K.; Tanaka, K. Analytical Method for Short-Term Voltage Stability Using the Stability Boundary in the P-V Plane. IEEE Trans. Power Syst. 2014, 29, 3041–3047. [Google Scholar] [CrossRef]
- Dong, Y.; Xie, X.; Zhou, B.; Shi, W.; Jiang, Q. An Integrated High Side Var-Voltage Control Strategy to Improve Short-Term Voltage Stability of Receiving-End Power Systems. IEEE Trans. Power Syst. 2015, 31, 2105–2115. [Google Scholar] [CrossRef]
- Luo, J.; Teng, F.; Bu, S. Stability-Constrained Power System Scheduling: A Review. IEEE Access 2020, 8, 219331–219343. [Google Scholar] [CrossRef]
- Liang, X.; Shabbir, N.S.K.; Khan, N.; Yan, X. Measurement-Based Characteristic Curves for Voltage Stability and Control at the Point of Interconnection of Wind Power Plants. Can. J. Electr. Comput. Eng. 2019, 42, 163–172. [Google Scholar] [CrossRef]
- Hala, T.; Drapela, J. On Stabilization of Voltage in LV Distribution System Employing MV/LV OL TC Transformer with Control Based on Smart Metering. In Proceedings of the 2019 20th International Scientific Conference on Electric Power Engineering (EPE), Kouty nad Desnou, Czech Republic, 15–17 May 2019; pp. 1–6. [Google Scholar] [CrossRef]
- Zhu, Y.; Liu, G. Fast Calculation Method for Saddle Node Bifurcation Point of Voltage Stability of Power System. Proc. CSU-EPSA 2017, 29, 86–92. (In Chinese) [Google Scholar]
- Liu, X.; Niu, X.; Zhu, Y.; Zhu, C. Influence of regulation of OLTC transformation ratio on voltage stability. In Proceedings of the 2013 Fourth International Conference on Digital Manufacturing & Automation, Shinan, China, 29–30 June 2013; pp. 696–700. [Google Scholar]
- Dallmer-Zerbe, K.; Berardo, D.; Salman, A.; Wille-Haussmann, B. Small-disturbance voltage stability of OLTC & decentralized reactive power droop control. In Proceedings of the 2016 IEEE International Energy Conference (ENERGYCON), Leuven, Belgium, 4–8 April 2016. [Google Scholar] [CrossRef]
- Mahendar, G.; Yesuratnam, G. An approach to identify critical on load tap changing (OLTC) transformers under network contingencies. In Proceedings of the 2016 IEEE 7th Power India International Conference (PIICON), Bikaner, India, 25–27 November 2016; pp. 1–6. [Google Scholar] [CrossRef]
- Li, G.; Liu, G.; Hou, L. Quantitative evaluation method of voltage stability affected by multi-OLTC coordination. Electr. Power Autom. Equip. 2019, 39, 154–160. (In Chinese) [Google Scholar]
- Wang, H.; Luan, J. Summary of power electronic evolution of transformer and its influence on voltage stability. Power Syst. Prot. Control. 2020, 48, 171–192. (In Chinese) [Google Scholar]
- Zou, Z.; Zhao, J.; Chang, H.; Wang, C.; Liu, F.; Li, W.; Fang, B. Short-Term Voltage Stability Constrained Two-Stage Dynamic Optimal Reactive Power Flow. In Proceedings of the 4th Conference on Energy Internet and Energy System Integration, Wuhan, China, 15 February 2021; pp. 2219–2223. [Google Scholar] [CrossRef]
- Nassaj, A.; Shahrtash, S.M. Prevention of voltage instability by adaptive determination of tap position in OLTCs. In Proceedings of the 2017 Iranian Conference on Electrical Engineering, Tehran, Iran, 2–4 May 2017; pp. 980–985. [Google Scholar] [CrossRef]
- Cai, H.; Guo, Y.; Chen, W. Design of a Soft-Switching System Based on Single-Phase Grid-Connected Inverter. Trans. China Electrotech. Soc. 2016, 31, 63–69. (In Chinese) [Google Scholar]















| Topology | Voltage Regulation | Cost | Control Strategy | Response Time | Loss | Reactive Compensation |
|---|---|---|---|---|---|---|
| OLTC Transformer | Step | Low | Simple | Slow | Low | Incapacity |
| Solid State Transformer | Step-less | Highest | Complex | Fast | Highest | Full Capacity |
| Hybrid Transformer | Step-less | Higher | Complex | Medium | Higher | Part of Capacity |
| Flexible OLVR | Step-less | Medium | Medium | Medium | Medium | Part of Capacity |
| Parameters | Parameters | Value |
|---|---|---|
| Primary Voltage | us | 1 kV |
| Secondary Voltage | uL | 0.4 kV |
| Rated transformer ratio | k0 | 0.4 |
| Step Voltage Regulation tap | Lx | 5% |
| Deviation Scale Factor | μ | 80–120% |
| Maximum output voltage of PEC | uc | 100 V |
| Switching Frequency | fpwm | 10 kHz |
| Load parameter | Zload | 10 Ω + 10 mH |
Publisher’s Note: MDPI stays neutral with regard to jurisdictional claims in published maps and institutional affiliations. |
© 2022 by the authors. Licensee MDPI, Basel, Switzerland. This article is an open access article distributed under the terms and conditions of the Creative Commons Attribution (CC BY) license (https://creativecommons.org/licenses/by/4.0/).
Share and Cite
Han, L.; Yin, J.; Wu, L.; Sun, L.; Wei, T. Research on the Novel Flexible On-Load Voltage Regulator Transformer and Voltage Stability Analysis. Energies 2022, 15, 6189. https://doi.org/10.3390/en15176189
Han L, Yin J, Wu L, Sun L, Wei T. Research on the Novel Flexible On-Load Voltage Regulator Transformer and Voltage Stability Analysis. Energies. 2022; 15(17):6189. https://doi.org/10.3390/en15176189
Chicago/Turabian StyleHan, Libo, Jingyuan Yin, Lixin Wu, Longfei Sun, and Tongzhen Wei. 2022. "Research on the Novel Flexible On-Load Voltage Regulator Transformer and Voltage Stability Analysis" Energies 15, no. 17: 6189. https://doi.org/10.3390/en15176189
APA StyleHan, L., Yin, J., Wu, L., Sun, L., & Wei, T. (2022). Research on the Novel Flexible On-Load Voltage Regulator Transformer and Voltage Stability Analysis. Energies, 15(17), 6189. https://doi.org/10.3390/en15176189

