Optimal Operation of Microgrids Comprising Large Building Prosumers and Plug-in Electric Vehicles Integrated into Active Distribution Networks
Abstract
:1. Introduction
- –
- The innovative edge of the method is that it requires very short computation times (of the order of a few minutes) for extremely complex systems consisting of very large-scale building complexes with a number of decision variables that can reach a few thousand and operational constraints of a multiple of this number. In order to achieve this, a simple way to dispatch the total needs, in terms of thermal power, of a building to its thermal zones is used. The thermal power that is required to be provided to each thermal zone is a function of the total thermal power that is required by the building, its thermal zone volume and its estimated internal temperature together with its upper and lower limits. As a result, the required computation time is kept very low, since the total required thermal power of the building is optimized and then dispatched to the thermal zones. Moreover, an effective aggregation technique is applied to the plug-in electric vehicles that are hosted by the microgrid.
- –
- To the best of the authors’ knowledge, there are very few works studying the coordinated optimal operation of active distribution networks and microgrids (and especially microgrids comprising large building prosumers).
- –
- The electrical and thermal power systems of complex large building prosumers, the equivalent battery of the hosted electric vehicles and the auxiliary diesel generators were modelled in detail and jointly optimized in both an active distribution network-connected scenario and that of the autonomous operation of the microgrid.
- –
- Another advantage of the algorithm is that, during time periods of the day when the electric grid is not available, the microgrid is able to meet the electricity demand of the building itself with the interconnected electric vehicles and the integrated RES and this same provision of electricity may also be called upon if there is a need or it is economically optimal by the use of the building’s auxiliary generators.
- –
- The operation of the active distribution network comprising RES, flexible loads and a hosted microgrid is optimally jointly scheduled without requiring the microgrid and the active distribution network to disclose to each other their respective internal technical characteristics and information.
- –
- The proposed algorithm fully satisfies the active distribution network’s operational constraints regarding power flows, voltage amplitudes and angles in both microgrid-connected and islanded operation.
2. Brief Description of the Proposed Energy Management System
2.1. Optimization Level 1
2.2. Optimization Level 2
2.3. Optimization Level 3
2.4. Optimization Level 4
2.5. Optimization Level 5
3. Microgrid Components’ Models
3.1. Building Thermal Model
3.2. Building Electrical Loads
3.3. Parking Dynamic Aggregate Battery Model
3.4. Operation Scheduling of the Diesel Generator Set
4. Optimization Concept
4.1. First Stage of Optimization
- The total HVAC power consumption of each building at every timeslot of the optimization period, .
- The adjustment coefficient of the non-critical electrical loads of each building at each time interval, .
- The state of operation of the gth diesel generator, .
- The active power that is exchanged by each PEV parking lot and the microgrid, .
- The active power that is exchanged by the microgrid and the electric grid, .
- Power Balance Constraintswith
- Building Thermal Load Constraintswith
- Building Electrical Load Constraints
- Constraints of the Dynamic Aggregate Battery
- Diesel Generator Set Constraints
4.2. Second Stage of Optimization
- Flexible Electrical Load Constraints
- Power Balance Constraintswith
4.3. Third Stage of Optimization
4.4. Fourth Stage of Optimization
- Active Distribution Network Constraints
4.5. Fifth Stage of Optimization
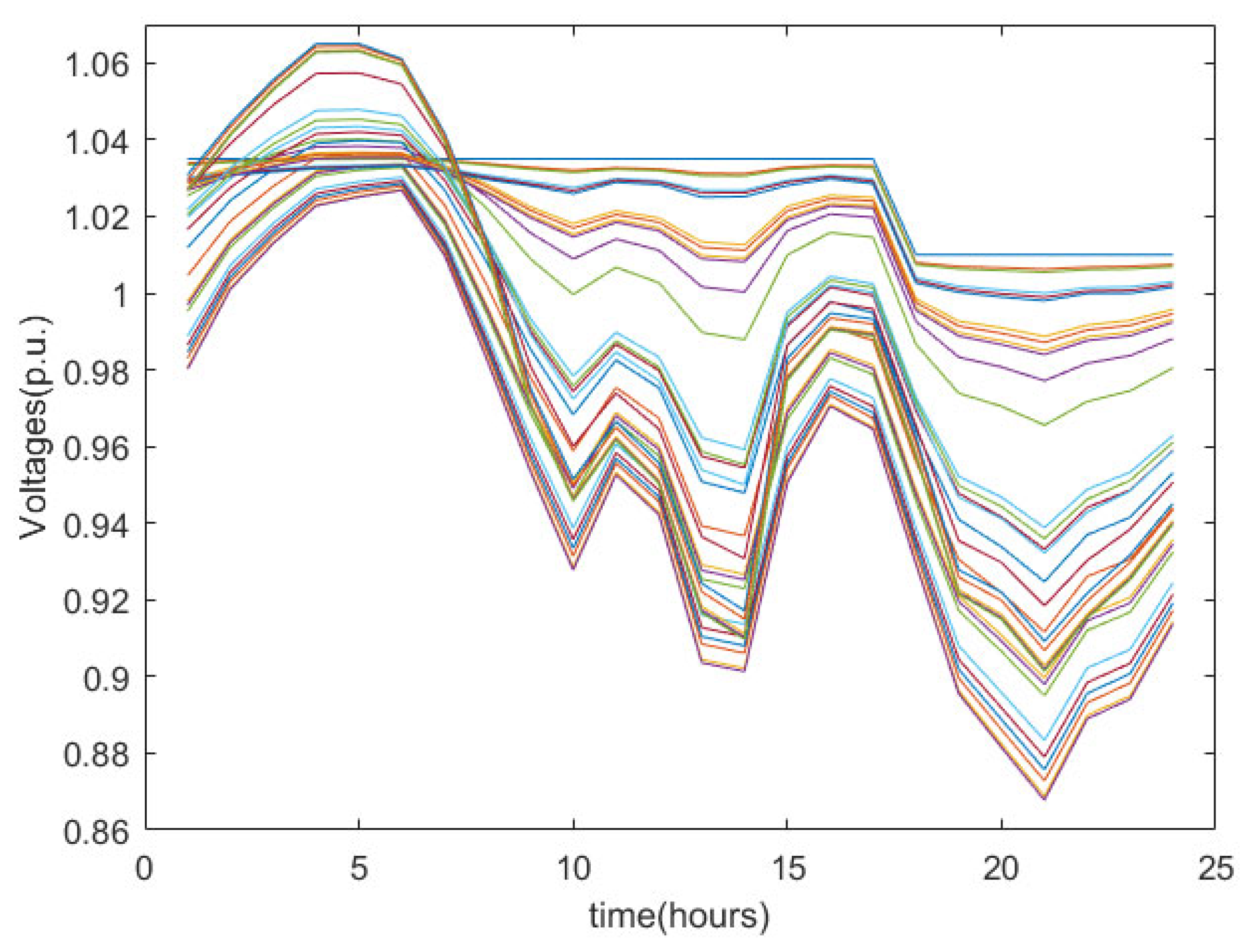
5. Case Study
6. Discussion
Author Contributions
Funding
Institutional Review Board Statement
Informed Consent Statement
Data Availability Statement
Conflicts of Interest
Nomenclature
| Abbreviations | |
| EC | electric chiller |
| HVAC | heating, ventilation and air conditioning |
| m.u. | monetary unit |
| PB | parking-equivalent battery |
| PEV | plug-in electric vehicle |
| RES | renewable energy sources |
| V2G | vehicle to grid |
| Sets and indices | |
| a vector comprising the upper(lower) bounds of voltage angles | |
| , b | set of the buildings of the microgrid, index indicating the number of the building |
| ℇ | set of the external walls of each thermal zone |
| , g | set of the generators of the microgrid, index indicating the number of the diesel generator |
| k | index indicating the type of electrical device |
| set of the internal walls of each thermal zone | |
| set of the neighboring thermal zones | |
| x | index indicating the xth internal wall orientation |
| y | index indicating the yth external wall/window orientation |
| z | denotes the zth thermal zone of the building |
| Parameters, constants and variables | |
| the glass transmission coefficient of the windows | |
| coefficients of the gth generator fuel cost function | |
| absorbance coefficient of the external surface of the wall | |
| state of operation (if , the EV charges; else if , EV discharges) | |
| the specific heat capacity of the zth thermal zone | |
| COP | HVAC performance coefficient |
| stored energy of the equivalent battery (kWh) of the EV parking lot | |
| max/min stored energy (kWh) of the equivalent battery of the EV parking lot | |
| initial stored energy (kWh) of the equivalent battery of the EV parking lot | |
| target energy (kWh) of the equivalent battery of the EV parking lot | |
| the area of the total wall/window surface | |
| fuel cost function | |
| the total solar radiation of the zth thermal zone | |
| charging (discharging) efficiency coefficients of the PEV battery | |
| coefficient estimated by the distribution network optimal load shifting algorithm | |
| coefficient estimated by the optimal load shifting algorithm | |
| number of the diesel generators of the microgrid | |
| total number of the thermal zones of a building | |
| the density of the zth thermal zone | |
| the optimal electric power consumed by the flexible loads of the distribution network | |
| total distribution network load | |
| electric power consumed by the EC (kW) | |
| lower and upper limits of the electric power consumed by the EC (kW) | |
| power produced by the gth generator | |
| minimum and maximum loading constraints of the gth diesel generator, respectively | |
| the optimal electric power consumed by the non-critical loads of a building | |
| maximum/minimum power transfer rate of the equivalent battery of the EV parking lot | |
| cooling power generated by the EC of the zth thermal zone (kW) | |
| heat transfer through the external walls of the zth thermal zone (kW) | |
| heat transfer through the internal walls of the zth thermal zone (kW) | |
| internal heat gains from people, appliances and lighting of the zth thermal zone (kW) | |
| the whole solar radiation transmitted across the windows of the zth thermal zone (kW) | |
| heat contribution due to the solar radiation on the surface of the external walls of the zth thermal zone (kW) | |
| heat transfer across the windows of the zth thermal zone (kW) | |
| the external surface heat resistance for convection and radiation of the external wall | |
| denotes if the distribution network is connected to the main electric grid ( if it is connected(disconnected)) | |
| denotes the operation state of the gth diesel generator ( if it is on(off)) | |
| the shading coefficient of the windows | |
| the beginning and the end of the time period where the distribution network flexible loads can be shifted in time | |
| indoor temperature of the neighbor thermal zone | |
| indoor temperature (°C) of the zth thermal zone | |
| the maximum and minimum values of the indoor temperature of the zth thermal zone (°C) | |
| time points that gth diesel generator starts/stops operating, respectively | |
| minimum allowable operation/nonoperation time of the gth diesel generator | |
| outdoor temperature (°C) | |
| the beginning and the end of the time period where the buildings’ non-critical loads can be shifted in time | |
| heat transfer coefficient of the external wall/window of the thermal zone | |
| a vector comprising the upper (lower) bounds of the amplitude of node voltages | |
| volume of the air of the zth thermal zone | |
References
- Thomas, D.; Deblecker, O.; Ioakimidis, C.S. Optimal operation of an energy management system for a grid-connected smart building considering photovoltaics’ uncertainty and stochastic electric vehicles’ driving schedule. Appl. Energy 2018, 210, 1188–1206. [Google Scholar] [CrossRef]
- Sturzenegger, D.; Gyalistras, D.; Morari, M.; Smith, R.S. Model Predictive Climate Control of a Swiss Office Building: Implementation, Results, and Cost-Benefit Analysis. IEEE Trans. Control. Syst. Technol. 2016, 24, 1–12. [Google Scholar] [CrossRef]
- Carli, R.; Dotoli, M. Decentralized control for residential energy management of a smart users’ microgrid with renewable energy exchange. IEEE/CAA J. Autom. Sin. 2019, 6, 641–656. [Google Scholar] [CrossRef]
- Alibabaei, N.; Fung, A.S.; Raahemifar, K.; Moghimi, A. Effects of intelligent strategy planning models on residential HVAC system energy demand and cost during the heating and cooling seasons. Appl. Energy 2017, 185, 29–43. [Google Scholar] [CrossRef]
- Akter, M.N.; Mahmud, M.A.; Oo, A.M.T. A hierarchical transactive energy management system for energy sharing in residential microgrids. Energies 2017, 10, 2098. [Google Scholar] [CrossRef]
- Jiang, Q.; Xue, M.; Geng, G. Energy management of microgrid in grid-connected and stand-alone modes. IEEE Trans. Power Syst. 2013, 28, 3380–3389. [Google Scholar] [CrossRef]
- Li, Z.; Xu, Y. Optimal coordinated energy dispatch of a multi-energy microgrid in grid-connected and islanded modes. Appl. Energy 2018, 210, 974–986. [Google Scholar] [CrossRef]
- Worku, M.Y.; Hassan, M.A.; Abido, M.A. Real time energy management and control of renewable energy based microgrid in grid connected and Island modes. Energies 2019, 12, 276. [Google Scholar] [CrossRef]
- Zheng, Y.; Li, S.; Tan, R. Distributed Model Predictive Control for On-Connected Microgrid Power Management. IEEE Trans. Control. Syst. Technol. 2018, 26, 1028–1039. [Google Scholar] [CrossRef]
- Zhang, Y.; Gatsis, N.; Giannakis, G.B. Robust energy management for microgrids with high-penetration renewables. IEEE Trans. Sustain. Energy 2013, 4, 944–953. [Google Scholar] [CrossRef] [Green Version]
- Pinzon, J.A.; Vergara, P.P.; da Silva, L.C.P.; Rider, M.J. Optimal Management of Energy Consumption and Comfort for Smart Buildings Operating in a Microgrid. IEEE Trans. Smart Grid 2019, 10, 3236–3247. [Google Scholar] [CrossRef]
- Pinzon, J.A.; Vergara, P.P.; da Silva, L.C.P.; Rider, M.J. A MILP model for optimal management of energy consumption and comfort in smart buildings. In Proceedings of the 2017 IEEE Power and Energy Society Innovative Smart Grid Technologies Conference, ISGT, Arlington, VA, USA, 23–26 April 2017. [Google Scholar]
- Hao, H.; Corbin, C.D.; Kalsi, K.; Pratt, R.G. Transactive Control of Commercial Buildings for Demand Response. IEEE Trans. Power Syst. 2017, 32, 774–783. [Google Scholar] [CrossRef]
- Bharati, G.R.; Razmara, M.; Paudyal, S.; Shahbakhti, M.; Robinett, R.D. Hierarchical optimization framework for demand dispatch in building-grid systems. In Proceedings of the IEEE Power and Energy Society General Meeting, Boston, MA, USA, 17–21 July 2016. [Google Scholar]
- Tavakoli, M.; Shokridehaki, F.; Marzband, M.; Godina, R.; Pouresmaeil, E. A two stage hierarchical control approach for the optimal energy management in commercial building microgrids based on local wind power and PEVs. Sustain. Cities Soc. 2018, 41, 332–340. [Google Scholar] [CrossRef]
- Sehar, F.; Pipattanasomporn, M.; Rahman, S. Coordinated control of building loads, PVs and ice storage to absorb PEV penetrations. Int. J. Electr. Power Energy Syst. 2018, 95, 394–404. [Google Scholar] [CrossRef]
- Liang, Z.; Bian, D.; Zhang, X.; Shi, D.; Diao, R.; Wang, Z. Optimal energy management for commercial buildings considering comprehensive comfort levels in a retail electricity market. Appl. Energy 2019, 236, 916–926. [Google Scholar] [CrossRef]
- Dakanalis, M.; Kanellos, F.D. Efficient model for accurate assessment of frequency support by large populations of plug-in electric vehicles. Inventions 2021, 6, 89. [Google Scholar] [CrossRef]
- Liu, Z.; Chen, Y.; Zhuo, R.; Jia, H. Energy storage capacity optimization for autonomy microgrid considering CHP and EV scheduling. Appl. Energy 2018, 210, 1113–1125. [Google Scholar] [CrossRef]
- Lan, T.; Jermsittiparsert, K.; Alrashood STRezaei MAl-Ghussain, L.; Mohamed, M.A. An advanced machine learning based energy management of renewable microgrids considering hybrid electric vehicles’ charging demand. Energies 2021, 14, 569. [Google Scholar] [CrossRef]
- Han, Y.; Chen, W.; Li, Q. Energy management strategy based on multiple operating states for a photovoltaic/fuel cell/energy storage DC microgrid. Energies 2017, 10, 136. [Google Scholar] [CrossRef]
- Eseye, A.T.; Lehtonen, M.; Tukia, T.; Uimonen, S.; Millar, R.J. Optimal Energy Trading for Renewable Energy Integrated Building Microgrids Containing Electric Vehicles and Energy Storage Batteries. IEEE Access 2019, 7, 106092–106101. [Google Scholar] [CrossRef]
- Anvari-Moghaddam, A.; Rahimi-Kian, A.; Mirian, M.S.; Guerrero, J.M. A multi-agent based energy management solution for integrated buildings and microgrid system. Appl. Energy 2017, 203, 41–56. [Google Scholar] [CrossRef]
- Li, Y.; Feng, B.; Li, G.; Qi, J.; Zhao, D.; Mu, Y. Optimal distributed generation planning in active distribution networks considering integration of energy storage. Appl. Energy 2018, 210, 1073–1081. [Google Scholar] [CrossRef]
- Nick, M.; Cherkaoui, R.; Paolone, M. Optimal Planning of Distributed Energy Storage Systems in Active Distribution Networks Embedding Grid Reconfiguration. IEEE Trans. Power Syst. 2018, 33, 1577–1590. [Google Scholar] [CrossRef]
- Nuchkrua, T.; Leephakpreeda, T. Novel Compliant Control of a Pneumatic Artificial Muscle Driven by Hydrogen Pressure Under a Varying Environment. IEEE Trans. Ind. Electron. 2022, 69, 7120–7129. [Google Scholar] [CrossRef]
- Jin, X.; Wu, J.; Mu, Y.; Wang, M.; Xu, X.; Jia, H. Hierarchical microgrid energy management in an office building. Appl. Energy 2017, 208, 480–494. [Google Scholar] [CrossRef]
- Farinis, G.Κ.; Kanellos, F.D. Integrated energy management system for Microgrids of building prosumers. Electr. Power Syst. Res. 2021, 198, 107357. [Google Scholar] [CrossRef]
- Kanellos, F.D. Optimal Scheduling and Real-Time Operation of Distribution Networks with High Penetration of Plug-In Electric Vehicles. IEEE Syst. J. 2021, 15, 3938–3947. [Google Scholar] [CrossRef]
- Kanellos, F.D. Optimal power management with GHG emissions limitation in all-electric ship power systems comprising energy storage systems. IEEE Trans. Power Syst. 2014, 29, 330–339. [Google Scholar] [CrossRef]
- Zimmerman, R.D.; Murillo-Sanchez, C.E.; Thomas, R.J. MATPOWER: Steady-State Operations, Planning, and Analysis Tools for Power Systems Research and Education. IEEE Trans. Power Syst. 2011, 26, 12–19. [Google Scholar] [CrossRef] [Green Version]
- Santos, A.; McGuckin, N.; Nakamoto, H.Y.; Gray, D.; Liss, S. Summary of Travel Trends: 2009 National Household Travel Survey; U.S. Department Of Transportation, Federal Highway Administration: Washington, DC, USA, 2011. Available online: http://nhts.ornl.gov/2009/pub/stt.pdf (accessed on 24 August 2022).





















| Building 1 | Building 2 | Building 3 | |
|---|---|---|---|
| Side_1 (m) | 10 | 12 | 10 |
| Side_2 (m) | 20 | 20 | 20 |
| Height (m) | 3 | 3 | 3 |
| Tmin/Tmax (°C) | 19/27.5 | 19/27.5 | 19/27.5 |
| Building 1 | Building 2 | Building 3 | |
|---|---|---|---|
| Number of floors | 15 | 25 | 35 |
| Total number of thermal zones | 90 | 225 | 385 |
| Building 1 | Building 2 | Building 3 | |
|---|---|---|---|
| 0.25 | 0.25 | 0.25 | |
| 0.70 | 0.75 | 0.65 | |
| 1.3 | 1.25 | 1.35 | |
| 07:00 | 07:00 | 07:00 | |
| 17:00 | 17:00 | 17:00 |
| PEV Type | ||||
|---|---|---|---|---|
| 1 | 2 | 3 | 4 | |
| 77 | 45 | 26.8 | 66.5 | |
| 69.3/7.7 | 40.5/4.5 | 24.12/2.7 | 60/6.65 | |
| 11/−11 | 7.2/−7.2 | 6.6/−6.6 | 11/−11 | |
| GEN1 | GEN2 | |
|---|---|---|
| Technical minimum (kW) | 285 | 600 |
| Technical maximum (kW) | 1000 | 2100 |
| Minimum hours for generator being in operation/out of operation (h) | 1/1 | 1/1 |
| Cost of consumed fuel (m.u./h) |
Publisher’s Note: MDPI stays neutral with regard to jurisdictional claims in published maps and institutional affiliations. |
© 2022 by the authors. Licensee MDPI, Basel, Switzerland. This article is an open access article distributed under the terms and conditions of the Creative Commons Attribution (CC BY) license (https://creativecommons.org/licenses/by/4.0/).
Share and Cite
Kyriakou, D.G.; Kanellos, F.D. Optimal Operation of Microgrids Comprising Large Building Prosumers and Plug-in Electric Vehicles Integrated into Active Distribution Networks. Energies 2022, 15, 6182. https://doi.org/10.3390/en15176182
Kyriakou DG, Kanellos FD. Optimal Operation of Microgrids Comprising Large Building Prosumers and Plug-in Electric Vehicles Integrated into Active Distribution Networks. Energies. 2022; 15(17):6182. https://doi.org/10.3390/en15176182
Chicago/Turabian StyleKyriakou, Dimitra G., and Fotios D. Kanellos. 2022. "Optimal Operation of Microgrids Comprising Large Building Prosumers and Plug-in Electric Vehicles Integrated into Active Distribution Networks" Energies 15, no. 17: 6182. https://doi.org/10.3390/en15176182
APA StyleKyriakou, D. G., & Kanellos, F. D. (2022). Optimal Operation of Microgrids Comprising Large Building Prosumers and Plug-in Electric Vehicles Integrated into Active Distribution Networks. Energies, 15(17), 6182. https://doi.org/10.3390/en15176182
