Ultra-Lean Premixed Turbulent Combustion: Challenges of RANS Modelling
Abstract
:1. Introduction
2. Approaches for Premixed Turbulent Combustion Modelling
2.1. The Coherent Flame Model
- Laminar stage
- Turbulent stage
2.2. The Flame Area Model
3. Experimental Configuration and Numerical Setup
3.1. The Darmstadt Stratified Burner: Features and Investigated Cases
3.2. Numerical Setup
4. Results and Discussions
4.1. Non-Reacting Case A-i2
4.2. Reacting Case A-r
4.2.1. Flame Regimes
4.2.2. Numerical–Experimental Comparison
4.2.3. The Combustion Effects: Case A-i2 vs. Case A-r
5. Conclusions
Author Contributions
Funding
Institutional Review Board Statement
Informed Consent Statement
Data Availability Statement
Acknowledgments
Conflicts of Interest
Nomenclature
| tensor describing flame orientation factors | |
| b | regress variable (unburned mass fraction) | 
| c | normalised progress variable (burned mass fraction) | 
| C | CFM model constant for destruction term | 
| ignition strength parameter | |
| ignition diameter | |
| D | flame surface density destruction term | 
| flame surface density destruction term for laminar-only regime | |
| flame surface density destruction term for fully-turbulent regime | |
| f | parameter for laminar-to-turbulent flame transition (laminar: ; turbulent: ) | 
| G | coefficient of flame wrinkling generation term | 
| k | turbulent kinetic energy | 
| integral length scale | |
| length scale (introduced for dimensional reasons and set according to [22]) | |
| flame inner layer thickness | |
| flame surface normal direction towards fresh mixture | |
| p | pressure | 
| reference pressure | |
| ignition radius | |
| early flame kernel radius | |
| R | coefficient of flame wrinkling reduction term | 
| Kolmogorov Reynolds number | |
| S | flame surface density production term | 
| kernel flame surface imposed by the ignition process | |
| flame surface density production term for laminar-only regime | |
| flame surface density production term for fully-turbulent regime | |
| unstrained laminar flame speed | |
| unstrained laminar flame speed at reference conditions (,) | |
| coefficient for flame wrinkling distribution across the flame | |
| t | time | 
| T | temperature | 
| reference temperature | |
| turbulence intensity | |
| flow velocity vector | |
| flow velocity component | |
| surface-filtered flame velocity | |
| volume of the cell including the ignition position | |
| W | coefficient for reference unstrained laminar flame speed computation | 
| Cartesian coordinate | |
| chemical species mass fraction in burned mixture | |
| not normalised progress variable | |
| chemical species mass fraction | |
| chemical species mass fraction in unburned mixture | |
| Z | mixture mass fraction | 
| coefficient of CFM model production term S; | |
| temperature ratio exponent for unstrained laminar flame speed computation; | |
| alignment angle between progress variable (or ) and mixture fraction gradients | |
| coefficient of CFM model destruction term D; | |
| pressure ratio exponent for unstrained laminar flame speed computation | |
| ITNFS (Intermittent Turbulent Flame Stretch) model function, according to [18,30] | |
| laminar flame thickness | |
| ignition duration | |
| turbulent kinetic energy dissipation rate | |
| Kolmogorov length scale; | |
| Equivalence ratio exponent for reference unstrained laminar flame speed computation | |
| turbulent dynamic viscosity | |
| dynamic viscosity of unburned mixture | |
| exponent for reference unstrained laminar flame speed computation | |
| flame wrinkling | |
| algebraic model of flame wrinkling distribution | |
| algebraic model of flame wrinkling distribution at equilibrium conditions | |
| calibration coefficient of algebraic flame wrinkling | |
| algebraic model of flame wrinkling distribution at fully turbulent equilibrium conditions | |
| mixture density | |
| unburned mixture density | |
| flame surface density | |
| flame surface density of the mesh cell including the ignition position | |
| Kolmogorov time scale | |
| equivalence ratio | |
| ignition source term | |
| ∂ | partial derivative | 
| ∇ | nabla operator | 
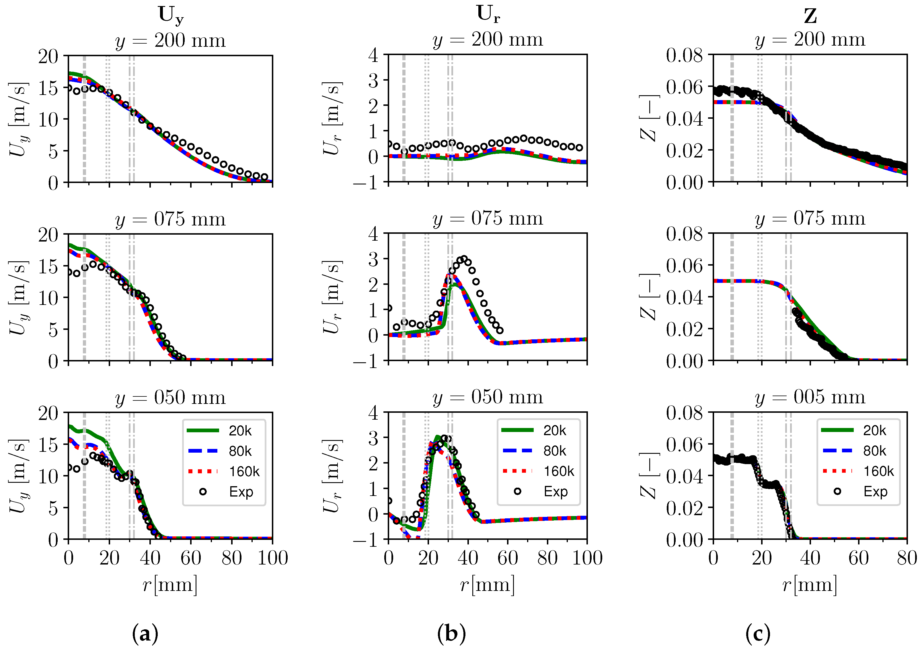
Appendix A. Mesh Sensitivity Analysis


References
- The European Commission. The European Green Deal; The European Commission: Brussels, Belgium, 2019.
- The European Commission. ’Fit for 55’: Delivering the EU’s 2030 Climate Target on the Way to Climate Neutrality; The European Commission: Brussels, Belgium, 2021.
- The European Commission. Regulation of the European Parliament and of the Council amending Regulation (EU) 2019/631 as Regards Strengthening the CO2 Emission Performance Standards for New Passenger Cars and New LIGHT commercial Vehicles in Line with the Union’s Increased Climate Ambition; The European Commission: Brussels, Belgium, 2021.
- US Department of Energy. The United States’ Nationally Determined Contribution; US Department of Energy: Washington, DC, USA, 2021.
- Guido, C.; Napolitano, P.; Alfuso, S.; Corsetti, C.; Beatrice, C. How engine design improvement impacts on particle emissions from an HD SI natural gas engine. Energy 2021, 231, 120748. [Google Scholar] [CrossRef]
- Liu, Z.; Sun, P.; Du, Y.; Yu, X.; Dong, W.; Zhou, J. Improvement of combustion and emission by combined combustion of ethanol premix and gasoline direct injection in SI engine. Fuel 2021, 292, 120403. [Google Scholar] [CrossRef]
- Solomon, A.; Battiston, P.; Sczomak, D. Lean-Stratified Combustion System with Miller Cycle for Downsized Boosted Application—Part I. In Proceedings of the SAE WCX Digital Summit, Virtual, 12–15 April 2021. [Google Scholar] [CrossRef]
- Attard, W.; Parsons, P. A normally aspirated spark initiated combustion system capable of high load, high efficiency and near Zero NOx emissions in a modern vehicle powertrain. SAE Int. J. Engines 2010, 3, 269–287. [Google Scholar] [CrossRef]
- Toulson, E.; Watson, H.; Attard, W. Gas Assisted Jet Ignition of Ultra-Lean LPG in a Spark Ignition Engine; SAE Technical Papers; SAE International: Warrendale, PA, USA, 2009. [Google Scholar]
- Shah, A.; Tunestal, P.; Johansson, B. Effect of Pre-Chamber Volume and Nozzle Diameter on Pre-Chamber Ignition in Heavy Duty Natural Gas Engines; SAE Technical Papers; SAE International: Warrendale, PA, USA, 2009. [Google Scholar]
- Toulson, E.; Huisjen, A.; Chen, X.; Squibb, C.; Zhu, G.; Schock, H.; Attard, W. Visualization of Propane and Natural Gas Spark Ignition and Turbulent Jet Ignition Combustion. SAE Int. J. Engines 2012, 5, 1821–1835. [Google Scholar] [CrossRef]
- Zhu, S.; Akehurst, S.; Lewis, A.; Yuan, H. A review of the pre-chamber ignition system applied on future low-carbon spark ignition engines. Renew. Sustain. Energy Rev. 2022, 154, 111872. [Google Scholar] [CrossRef]
- Zhou, L.; Liu, P.; Zhong, L.; Feng, Z.; Wei, H. Experimental observation of lean flammability limits using turbulent jet ignition with auxiliary hydrogen and methane in pre-chamber. Fuel 2021, 305, 121570. [Google Scholar] [CrossRef]
- Kim, J.; Scarcelli, R.; Som, S.; Shah, A.; Biruduganti, M.; Longman, D. Numerical investigation of a fueled pre-chamber spark-ignition natural gas engine. Int. J. Engine Res. 2021. [Google Scholar] [CrossRef]
- Kim, J.; Scarcelli, R.; Som, S.; Shah, A.; Biruduganti, M.; Longman, D. Assessment of turbulent combustion models for simulating prechamber ignition in a natural gas engine. J. Eng. Gas Turbines Power 2021, 143, 091004. [Google Scholar] [CrossRef]
- Marble, F.E.; Broadwell, J.E. The Coherent Flame Model for Turbulent Chemical Reactions; Technical Report; TRW Defense and Space Systems Group: New York, NY, USA, 1977.
- Boudier, P.; Henriot, S.; Poinsot, T.; Baritaud, T. A model for turbulent flame ignition and propagation in spark ignition engines. Symp. Int. Combust. 1992, 24, 503–510. [Google Scholar] [CrossRef]
- Duclos, J.; Veynante, D.; Poinsot, T. A comparison of flamelet models for premixed turbulent combustion. Combust. Flame 1993, 95, 101–117. [Google Scholar] [CrossRef]
- Weller, H.G.; Tabor, G.; Gosman, A.D.; Fureby, C. Application of a Flame Wrinkling LES Combustion Model to a Turbulent Mixing Layer. In Proceedings of the Twenty-Seventh Symposium on Combustion, Boulder, CO, USA, 2–7 August 1998; pp. 899–907. [Google Scholar]
- Peters, N. Turbulent Combustion; Cambridge University Press: Cambridge, UK, 2000. [Google Scholar]
- Herrmann, M. Refined Level Set Grid Method for Tracking Interfaces. In Annual Research Briefs 2005; Center for Turbulence Research: Stanford, CA, USA, 2005; pp. 3–18. [Google Scholar]
- Choi, C.R.; Huh, K.Y. Development of a Coherent Flamelet Model for a Spark-Ignited Turbulent Premixed Flame in a Closed Vessel. Combust. Flame 1998, 114, 336–348. [Google Scholar] [CrossRef]
- Weller, H.G. The Development of a New Flame Area Combustion Model Using Conditional Averaging; Thermo-Fluids Section Report TF 9307; Imperial College of Science, Technology and Medicine: London, UK, 1993. [Google Scholar]
- Ewald, J.; Peters, N. A Level Set Based Flamelet Model for the Prediction of Combustion in Spark-Ignition Engines. In Proceedings of the 15th International Multidimensional Engine Modeling User’s Group Meeting, Detroit, MI, USA, 20 April 2005. [Google Scholar]
- Seffrin, F.; Fuest, F.; Geyer, D.; Dreizler, A. Flow field studies of a new series of turbulent premixed stratified flames. Combust. Flame 2010, 157, 384–396. [Google Scholar] [CrossRef]
- Sweeney, M.S.; Hochgreb, S.; Dunn, M.J.; Barlow, R.S. The structure of turbulent stratified and premixed methane/air flames I: Non-swirling flows. Combust. Flame 2012, 159, 2896–2911. [Google Scholar] [CrossRef]
- Sweeney, M.S.; Hochgreb, S.; Dunn, M.J.; Barlow, R.S. The structure of turbulent stratified and premixed methane/air flames II: Swirling flows. Combust. Flame 2012, 159, 2912–2929. [Google Scholar] [CrossRef]
- Lucchini, T.; D’Errico, G.; Paredi, D.; Sforza, L.; Onorati, A. CFD Modeling of Gas Exchange, Fuel-Air Mixing and Combustion in Gasoline Direct-Injection Engines; SAE Technical Papers; SAE International: Warrendale, PA, USA, 2019. [Google Scholar]
- Sforza, L.; Lucchini, T.; Gianetti, G.; D’Errico, G. Development and Validation of SI Combustion Models for Natural-Gas Heavy-Duty Engines; SAE Technical Papers; SAE International: Warrendale, PA, USA, 2019. [Google Scholar] [CrossRef]
- Meneveau, C.; Poinsot, T. Stretching and quenching of flamelets in premixed turbulent combustion. Combust. Flame 1991, 86, 311–332. [Google Scholar] [CrossRef]
- Prasad, R.; Gore, J. An evaluation of flame surface density models for turbulent premixed jet flames. Combust. Flame 1999, 116, 1–14. [Google Scholar] [CrossRef]
- Lucchini, T.; Cornolti, L.; Montenegro, G.; D’Errico, G.; Fiocco, M.; Teraji, A.; Shiraishi, T. A Comprehensive Model to Predict the Initial Stage of Combustion in SI Engines; SAE Paper 2013-01-1087; SAE International: Warrendale, PA, USA, 2013. [Google Scholar]
- Zhu, X.; Sforza, L.; Ranadive, T.; Zhang, A.; Lee, S.Y.; Naber, J.; Lucchini, T.; Onorati, A.; Anbarasu, M.; Zeng, Y. Experimental and Numerical Study of Flame Kernel Formation Processes of Propane-Air Mixture in a Pressurized Combustion Vessel. SAE Int. J. Engines 2016, 9, 1494–1511. [Google Scholar] [CrossRef]
- Sforza, L.; Lucchini, T.; Onorati, A.; Zhu, X.; Lee, S. Modeling Ignition and Premixed Combustion Including Flame Stretch Effects. In Proceedings of the WCX™ 17: SAE World Congress Experience; SAE International: Warrendale, PA, USA, 2017. [Google Scholar] [CrossRef]
- Gulder, O.L. Correlations of Laminar Combustion Data for Alternative S.I. Engine Fuels; SAE Technical Paper; SAE International: Warrendale, PA, USA, 1984. [Google Scholar] [CrossRef]
- Lucchini, T.; D’Errico, G.; Onorati, A.; Frassoldati, A.; Gilles Hardy, A.S. Modeling Non-Premixed Combustion Using Tabulated Kinetics and Different Flame Structure Assumptions. SAE Int. J. Engines 2017, 2, 593–607. [Google Scholar] [CrossRef]
- Smith, G.P.; Golden, D.M.; Frenklach, M.; Moriarty, N.W.; Eiteneer, B.; Goldenberg, M.; Bowman, C.T.; Hanson, R.K.; Song, S.; Gardiner, J.; et al. GRI-Mech 3.0. Available online: http://www.me.berkeley.edu/gri_mech/ (accessed on 25 October 2019).
- Gulder, O.L. Turbulent Premixed Flame Propagation Models for Different Combustion Regimes. In Proceedings of the the Twenty-Third Syposium on Combustion (International), Orleans, France, 22–27 July 1990; pp. 743–750. [Google Scholar]
- Kuenne, G.; Euler, M.; Ketelheun, A.; Avdić, A.; Dreizler, A.; Janicka, J. A Numerical Study of the Flame Stabilization Mechanism Being Determined by Chemical Reaction Rates Submitted to Heat Transfer Processes. Z. Phys. Chem. 2015, 229, 643–662. [Google Scholar] [CrossRef]
- Mercier, R.; Auzillon, P.; Moureau, V.; Darabiha, N.; Gicquel, O.; Veynante, D.; Fiorina, B. LES Modeling of the Impact of Heat Losses and Differential Diffusion on Turbulent Stratified Flame Propagation: Application to the TU Darmstadt Stratified Flame. Flow Turbul. Combust. 2014, 93, 349–381. [Google Scholar] [CrossRef]
- Borghi, R. On the Structure and Morphology of Turbulent Premixed Flames. In Recent Advances in the Aerospace Sciences: In Honor of Luigi Crocco on His Seventy-Fifth Birthday; Casci, C., Bruno, C., Eds.; Springer: Boston, MA, USA, 1985; pp. 117–138. [Google Scholar] [CrossRef]
- Kuenne, G.; Seffrin, F.; Fuest, F.; Stahler, T.; Ketelheun, A.; Geyer, D.; Janicka, J.; Dreizler, A. Experimental and numerical analysis of a lean premixed stratified burner using 1D Raman/Rayleigh scattering and large eddy simulation. Combust. Flame 2012, 159, 2669–2689, Special Issue on Turbulent Combustion. [Google Scholar] [CrossRef]
- Sforza, L. Development of a Comprehensive CFD Model for Spark-Ignition Engine Combustion. Ph.D. Thesis, Politecnico di Milano, Milan, Italy, 2018. [Google Scholar]













| Case | ||||||||||
|---|---|---|---|---|---|---|---|---|---|---|
| A-i2 | 0 | 0 | 0 | 10 | 10 | 10 | 9800 | 13,800 | 13,300 | 0.1 | 
| A-r | 0.9 | 0.9 | 0.6 | 1 | 10 | 10 | 980 | 13,800 | 13,300 | 0.1 | 
| Constant | CFM | FAM | 
|---|---|---|
| - | ||
| - | ||
| - | ||
| - | ||
| C | - | |
| - | 
| Publisher’s Note: MDPI stays neutral with regard to jurisdictional claims in published maps and institutional affiliations. | 
© 2022 by the authors. Licensee MDPI, Basel, Switzerland. This article is an open access article distributed under the terms and conditions of the Creative Commons Attribution (CC BY) license (https://creativecommons.org/licenses/by/4.0/).
Share and Cite
Sforza, L.; Abdelwahid, S.; Lucchini, T.; Onorati, A. Ultra-Lean Premixed Turbulent Combustion: Challenges of RANS Modelling. Energies 2022, 15, 5947. https://doi.org/10.3390/en15165947
Sforza L, Abdelwahid S, Lucchini T, Onorati A. Ultra-Lean Premixed Turbulent Combustion: Challenges of RANS Modelling. Energies. 2022; 15(16):5947. https://doi.org/10.3390/en15165947
Chicago/Turabian StyleSforza, Lorenzo, Suliman Abdelwahid, Tommaso Lucchini, and Angelo Onorati. 2022. "Ultra-Lean Premixed Turbulent Combustion: Challenges of RANS Modelling" Energies 15, no. 16: 5947. https://doi.org/10.3390/en15165947
APA StyleSforza, L., Abdelwahid, S., Lucchini, T., & Onorati, A. (2022). Ultra-Lean Premixed Turbulent Combustion: Challenges of RANS Modelling. Energies, 15(16), 5947. https://doi.org/10.3390/en15165947
 
        


 
       