Ice Melting Performance of Solar-Assisted Cold Water Phase-Change Energy Heat Pump System
Abstract
:1. Introduction
2. Description and Control of the system
2.1. System Description
2.2. Operation Mode and Control Strategy
3. Construction and Simulation
3.1. Architectural Overview
3.2. Overview of TRNSYS Simulations
3.3. Thermal and Economic Calculations
3.3.1. Cold Water Phase-Change Machine
3.3.2. Solar Collector
3.3.3. Water Tank
3.3.4. Heat Pump
3.3.5. Water Pump
3.3.6. Total Annual Costs
4. Results and Discussion
4.1. Ice Melting Performance Analysis
4.2. Economic Analysis of Ice Melting
4.3. Effect of Ice Thickness on the Melting Performance of the System
5. Conclusions
- (1)
- The building heat load is simulated according to TRNSYS software, and the three ice melting operation modes are constructed. The performance of the three serial ice melting operation modes of the SAPCHPs are simulated under the premise of meeting the heating demand. During the period when the system is melting ice and supplying heat, the heat comes mainly from solar energy. The heat production of the heat pump unit and the heat consumption of the ice melting are relatively low.
- (2)
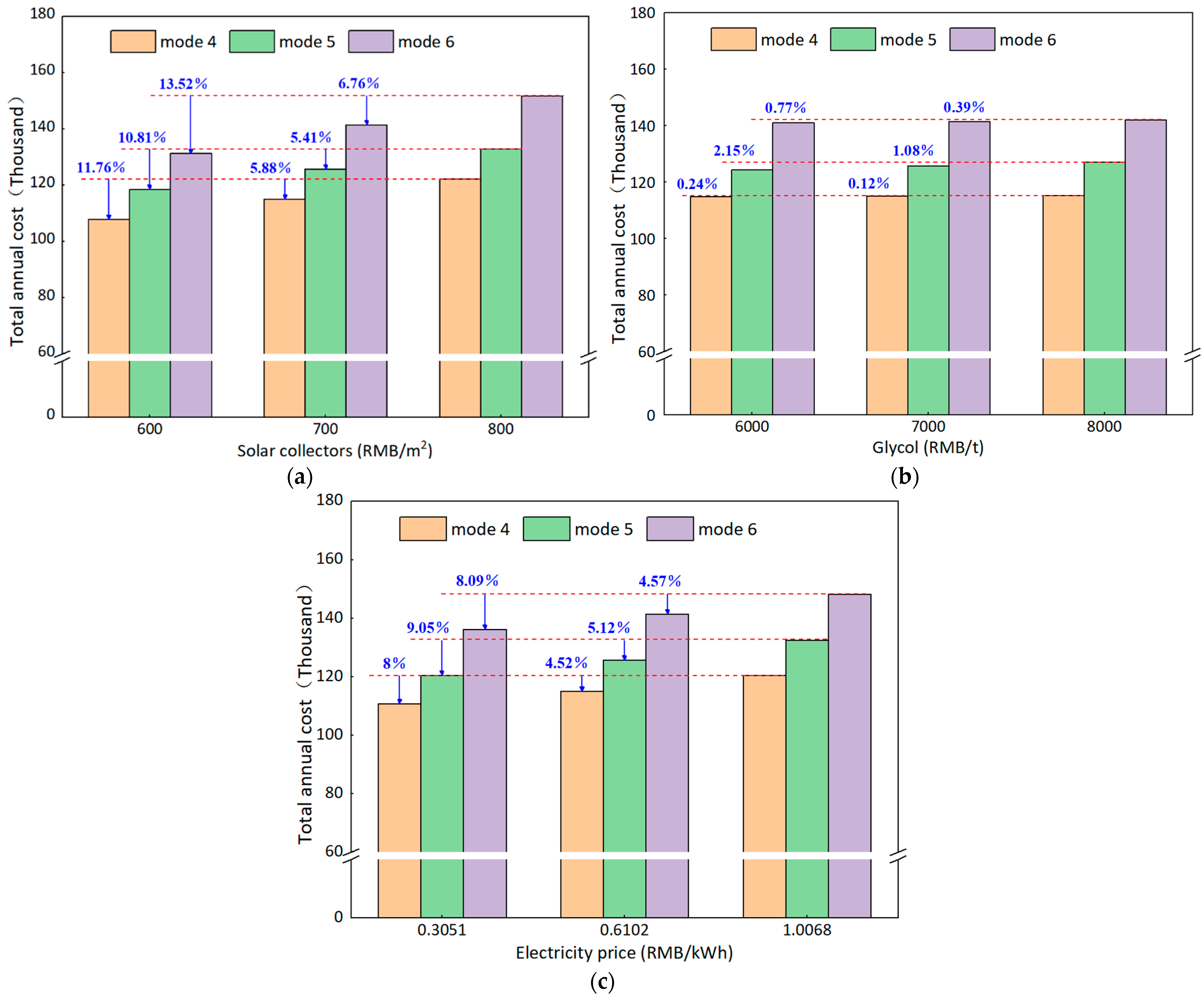
- In an economic analysis of solar collector price, ethylene glycol price, and electricity price for ice melting in the SAPCHPs. The change in the price of solar collectors has the greatest impact on the total annual cost, and the change in the price of ethylene glycol has the least impact on the total annual cost. When the price of solar collectors increases by one thousand RMB per square meter, the total annual cost of mode 4, mode 5 and mode 6 increases by about 5.88%, 5.41% and 6.76%, respectively. When the price of ethylene glycol increases by one thousand RMB per ton, the annual total cost of mode 4, mode 5 and mode 6 increases by about 0.12%, 1.08% and 0.39%, respectively.
- (3)
- When considering the effect of ice thickness on the system ice melting performance, the increase in space heating of the SAPCHPs becomes smaller and the increase in ice melting heat consumption becomes larger when the ice thickness exceeds 8 mm. Therefore, when the ice thickness is 8 mm, the system COP of the three serial ice melting modes of the SAPCHPs reaches the maximum. The affected serial dual-source heat pump mode has the largest system COP compared to the pure serial dual-source heat pump mode and the ice melting serial dual-source mode.
- (4)
- In this paper, the three serial ice melting modes of the SAPCHPs are investigated, their ice melting performances are simulated, their economics are calculated, and the effect of icing thickness on system operation is analyzed. However, the heating performance of SAPCHPs has not been studied. It is hoped that this paper will be useful in regards to future research.
Author Contributions
Funding
Institutional Review Board Statement
Informed Consent Statement
Data Availability Statement
Acknowledgments
Conflicts of Interest
Nomenclature
| Nomenclature | Nomenclature | ||
| A0 | maximum of the solar collector effificiency | Tout | outlet temperature (°C) |
| A1 | negative of the first-order coeffificient (W m−2 °C−2) | ΔT | the temperature difference between the supply and return water of the system (°C) |
| A2 | negative of the second-order coeffificient (W m−2 °C−2) | W | power consumption of the system (W) |
| Ag | solar collector area (m2) | the amount of electricity consumed by the heat pump (W) | |
| AC | operating cost | (A/P·i·n)c | recovery factor |
| b1 | safety factor 1 | (P/F·i·n)c | discount factor |
| b2 | safety factor 2 | Greek symbols | |
| Cp | specific heat capacity (J kg−1 °C−1) | η | efficiency (%) |
| flow rate (m3 h−1) | s | solar collector thermal effificiency (%) | |
| H | head (m) | ρ | density (kg m−3) |
| ΔHg | system resistance loss along the way (m) | Subscripts | |
| ΔHb | loss of local resistance of the system (m) | c | working medium in cold water phase-change machine |
| II | initial investment | fj | auxiliary heater |
| Ip | global radiation incident on solar collector (W m−2) | i | ith node |
| LR | calculate period-end recovery of liquidity | j | jth node |
| mass flow (kg m−1) | l | flluid | |
| power (W) | q | water pump | |
| heat exchange (W) | s | working medium in solar collector | |
| u | heat exchange before the heat pump (W) | Acronym | |
| m | the thermal load of the system (W) | BT | buffer tank |
| R | calculate the salvage value of the fixed asset recovered at the end of the period | HP | heat pump |
| t | time (s) | PCM | cold water phase-change machine |
| T | temperature (°C) | SAPCHPs | solar-assisted cold water phase-change energy heat pump system |
| TAC | total annual cost | TRNSYS | transient system simulation program |
| Ta | outdoor temperature (°C) | WPCHPs | cold water phase-change energy heat pump system |
| Tin | inlet temperature (°C) |
References
- Guo, Y.; Yu, B. Academician Jin Yong: Green and low-carbon transformation is the core of future economic activities. Environ. Prot. 2022, 50, 33–34. [Google Scholar]
- Luo, R.; Zhang, A.; Li, C. Waste heat recovery system of waste bath hot water based on water source heat pump. Int. Core J. Eng. 2021, 7, 586–589. [Google Scholar]
- Zhang, L.; Zhou, M.; Yang, C.; Li, Y.; Fu, Z.; Wang, J.; Jin, L. Evaluation and optimization of water source heat pump for district heating: A case study in steel plant. Int. J. Energy Res. 2019, 44, 9399–9413. [Google Scholar] [CrossRef]
- Jung, Y.; Kim, J.; Kim, H.; Nam, Y.; Cho, H.; Lee, H. Comprehensive multi-criteria evaluation of water source heat pump systems in terms of building type, water source, and water intake distance. Energy Build. 2021, 236, 110765. [Google Scholar] [CrossRef]
- Wu, R.; Zhang, C.; Sun, D.; Ren, N. Energy saving and environmental assessment of heat pump systems for surface water sources in rivers and lakes. J. Harbin Inst. Technol. 2008, 2, 226–229. [Google Scholar]
- Xu, H.; Zhou, B.; Li, G.; Hua, G.; Kong, X. Research on low-carbon operation optimization of regional integrated energy system with water source heat pump. Integr. Smart Energy 2022, 44, 39–48. [Google Scholar]
- Hu, W. Applicability of source water source heat pump system in hot summer and warm winter area. Int. J. Mech. Eng. Appl. 2019, 7, 123–130. [Google Scholar] [CrossRef]
- Guo, L.; Shan, W. Water source heat pump’s stuck problems and solutions. J. Phys. Conf. Ser. 2022, 2174, 012084. [Google Scholar] [CrossRef]
- Qian, J.; Sun, D.; Zhang, J. Comprehensive heating performance analysis of new collection and solidification heat pump technology and system. J. Dalian Univ. Technol. 2011, 51, 244–249. [Google Scholar]
- Yue, Y.; Wu, R.; Zhu, H. Cold water phase change energy heat pump system and energy consumption characteristics. Therm. Power Eng. 2020, 35, 259–264, 274. [Google Scholar]
- Zheng, J.; Wu, R. Technical solution of heat pump system for extracting cold water solidification heat. HVAC 2016, 46, 140–142. [Google Scholar]
- Wu, X. Simulation and Experimental Study of Cold Water Phase Change Energy Heat Pump System. Master’s Thesis, Qingdao University, Qingdao, China, 2019. [Google Scholar]
- Yue, Y. Operation Characteristics and Engineering Experimental Study of Cold Water Phase Change Energy Heat Pump System. Master’s Thesis, Qingdao University, Qingdao, China, 2020. [Google Scholar]
- Liu, Z.; Yue, Y.; Wu, R. Cold water phase change energy heat pump system and its heat transfer performance. HVAC 2020, 50, 94–98. [Google Scholar]
- Wu, X.; Wu, R.; Wu, H. Experimental analysis of the performance of cold water phase change energy heat pump system. J. Qingdao Univ. 2019, 34, 105–110. [Google Scholar]
- Cheng, Y.; Wu, R.; Yu, H. Yue, Y. Analysis of the best working conditions and energy consumption of the coupling system between the cold water phase change machine and the air source heat pump. Therm. Power Eng. 2022, 37, 168–175. [Google Scholar]
- Xu, Y.; Meng, X.; Han, X. Numerical simulation of the icing condition in an ice storage heat exchanger under steady-state conditions. Refrig. Technol. 2021, 44, 51–58. [Google Scholar]
- Wu, X.; Wu, R.; Wu, H. Analysis of the economy and energy consumption of cold water phase change energy heat pump systems. J. Qingdao Univ. 2018, 31, 138–142. [Google Scholar]
- Abdulrahman, D.; Fabian, O.; Michele, B.J.; Wolfgang, S. Advances in seasonal thermal energy storage for solar district heating applications: A critical review on large scale hot-water tank and pit thermal energy storage systems. Appl. Energy 2019, 239, 296–315. [Google Scholar]
- Liu, Z.; Wu, R.; Yu, H. Water phase change energy heat pump heating system operation test. HVAC 2019, 49, 96–100. [Google Scholar]
- Zhan, H.; Wu, R.; Yu, H. Load analysis and area optimization of day heating solar heat pump system. Therm. Power Eng. 2022, 37, 124–130. [Google Scholar]
- Zhang, C.; Sun, D. Thermal analysis of plane freeze solidification phase transformation under convective conditions on both sides. J. Sol. Energy Eng. 2009, 30, 75–80. [Google Scholar]











| Operating Manner | Mode | Turn on the Pump | Turn off the Pump | Start the Valve | Stop the Valve |
|---|---|---|---|---|---|
| single cold water phase-change heat pump | 1 | 1, 2, 4, 6 | 3, 5 | 4, 5 | 1, 2, 3, 6, IMV1, IMV2 |
| solar heat pump | 2 | 2, 3, 6 | 1, 4, 5 | 1, 3 | 2, 4, 5, 6, IMV1, IMV2 |
| parallel dual-source heat pump | 3 | 1, 2, 3, 4, 6 | 5 | 1, 3, 4, 5 | 2, 6, IMV1, IMV2 |
| pure serial dual-source heat pump | 4 | 2, 3, 4, 6 | 1, 5 | 2, 3, 5 | 1, 4, 6, IMV1, IMV2 |
| ice melting serial dual-source heat pump | 5 | 2, 3, 4, 6 | 1, 5 | 1, 2, 3, 6 | 4, 5, IMV1, IMV2 |
| affected serial dual-source heat pump | 6 | 2, 3, 4, 6 | 1, 5 | 2, 4, 5, 6 | 1, 3, IMV1, IMV2 |
| solar ice melting | 7 | 2, 3, 4 | 1, 5, 6 | 2, 6 | 1, 3, 4, 5, IMV1, IMV2 |
| heat melting of the heat exchanger | 8 | 5, 6 | 1, 2, 3, 4 | IMV1, IMV2 | 1, 2, 3, 4, 5, 6 |
| Type | Parameter | Value |
|---|---|---|
| 5b | Hot working fluid | Ethylene glycol water solution (40.5% by volume) |
| Specific heat of hot side fluid | 3.401 kJ kg−1 °C−1 | |
| Cold working fluid | Ethylene glycol water solution (40.5% by volume) | |
| Specific heat of cold side fluid | 3.401 kJ kg−1 °C−1 | |
| 73 | Working fluid | Ethylene glycol water solution (40.5% by volume) |
| Fluid specific heat capacity | 3.401 kJ kg−1 °C−1 | |
| Inlet flowrate | 1.57 kg s−1 | |
| Total collector array area | 210 m2 (mode 6: 315 m2) | |
| Incidence angle | 45° | |
| Collector slope | 40° | |
| 668 | Source specific heat | 3.401 kJ kg−1 °C−1 |
| Load specific heat | 4.19 kJ kg−1 °C−1 | |
| Inlet source temperature | 1 °C | |
| Source flow rate | 1.57 kg s−1 | |
| Inlet load temperature | 45 °C | |
| Load flow rate | 0.51 kg s−1 |
Publisher’s Note: MDPI stays neutral with regard to jurisdictional claims in published maps and institutional affiliations. |
© 2022 by the authors. Licensee MDPI, Basel, Switzerland. This article is an open access article distributed under the terms and conditions of the Creative Commons Attribution (CC BY) license (https://creativecommons.org/licenses/by/4.0/).
Share and Cite
Yang, Y.; Wu, R.; Yue, Y. Ice Melting Performance of Solar-Assisted Cold Water Phase-Change Energy Heat Pump System. Energies 2022, 15, 5905. https://doi.org/10.3390/en15165905
Yang Y, Wu R, Yue Y. Ice Melting Performance of Solar-Assisted Cold Water Phase-Change Energy Heat Pump System. Energies. 2022; 15(16):5905. https://doi.org/10.3390/en15165905
Chicago/Turabian StyleYang, Yujuan, Ronghua Wu, and Yuanbo Yue. 2022. "Ice Melting Performance of Solar-Assisted Cold Water Phase-Change Energy Heat Pump System" Energies 15, no. 16: 5905. https://doi.org/10.3390/en15165905
APA StyleYang, Y., Wu, R., & Yue, Y. (2022). Ice Melting Performance of Solar-Assisted Cold Water Phase-Change Energy Heat Pump System. Energies, 15(16), 5905. https://doi.org/10.3390/en15165905
