Next Article in Journal
Co-Combustion Behavior of Paper Sludge Hydrochar and Pulverized Coal: Low Rank Coal and Its Product by Hydrothermal Carbonization
Previous Article in Journal
Quantitative Seismic Interpretation of Reservoir Parameters and Elastic Anisotropy Based on Rock Physics Model and Neural Network Framework in the Shale Oil Reservoir of the Qianjiang Formation, Jianghan Basin, China
 
 
Font Type:
Arial Georgia Verdana
Font Size:
Aa Aa Aa
Line Spacing:
Column Width:
Background:
Article

Analysis of Wide-Frequency Dense Signals Based on Fast Minimization Algorithm

1
The School of Electrical Engineering, Sichuan University, Chengdu 610065, China
2
Electric Power Research Institute of State Grid Hubei Electric Power Co., Ltd., Wuhan 430000, China
*
Author to whom correspondence should be addressed.
Energies 2022, 15(15), 5618; https://doi.org/10.3390/en15155618
Submission received: 30 June 2022 / Revised: 26 July 2022 / Accepted: 27 July 2022 / Published: 2 August 2022
(This article belongs to the Section F: Electrical Engineering)

Abstract

:
To improve the detection speed for wide-frequency dense signals (WFDSs), a fast minimization algorithm (FMA) was proposed in this study. Firstly, this study modeled the WFDSs and performed a Taylor-series expansion of the sampled model. Secondly, we simplified the sampling model based on the augmented Lagrange multiplier (ALM) method and then calculated the augmented Lagrange function of the sampling model. Finally, according to the alternating minimization strategy, the Lagrange multiplier vector and the sparse block phasor in the function were iterated individually to realize the measurement of the original signal components. The results show that the algorithm improved the analysis accuracy of the WFDS by 35% to 46% on the IEEE C37.118.1a-2014 standard for the wide-frequency noise test, harmonic modulation test, and step-change test, providing a theoretical basis for the development of the P-class phasor measurement unit (PMU).

1. Introduction

With various types of power electronic devices connected to the power grid, harmonics and interharmonics seriously affect the safe and stable operation of the power system [1,2,3]. Therefore, the fast and accurate analysis of harmonics and interharmonics components’ signals in power systems is of great significance for improving power quality.
Currently, there are two kinds of detection methods for harmonic and interharmonic phasors: discrete Fourier transform (DFT)-based methods and non-DFT methods. The DFT-based methods have low computational complexity, but in the case of asynchronous sampling, spectrum leakage and fence effects will occur, which will reduce the resolution [4]. In order to solve the problem of spectrum leakage, various window function methods were proposed, both traditional window functions, such as the rectangular window and Hanning window [5], and other new window functions, such as the Kaiser–Bessel window, Dolph–Chebyshev window [6], and Rife–Vincent class I window (RV-I) [7]. The antileakage least-squares spectral analysis (ALLSSA) method [8] and the antileakage Fourier transform (ALFT) method [9] solve the problem of regularizing irregularly sampled data and suppressing spectral leakage. On this basis, the multi-channel antileakage least-squares spectral analysis (MALLSSA) method [10] suppresses the spectral leakage during the regularization of irregularly spaced sequences by iteratively solving for the best sine wave, and when the data sequences are slightly mixed, the algorithm still has high accuracy and high robustness. In order to eliminate the fence effect, some improved interpolation methods were proposed. The Sinc interpolation function-based estimator (SIFE) was proposed in [11] and has higher accuracy in the case of varying harmonic bandwidth. However, the selection of the parameters of its model is based on a large number of simulations. Based on the Sinc interpolation function, a method using the harmonic phasor estimator (HPE) for the analysis of signals with different harmonic frequency bandwidths as proposed in [12] improves the drawback that the SIFE cannot obtain zero-error analysis at nominal frequencies and has a higher accuracy under harmonic frequency deviation and harmonic modulation. These improved DFT-based methods can reduce spectrum leakage and fence effects but incur significant errors when dealing with dense frequency signals (DFSs). In addition, the phase-locked loop (PLL) method proposed in [13] and the frequency-locked loop (FLL) method based on the moving-window discrete Fourier transform (MWDFT) proposed in [14] both suppress spectrum leakage. However, since their accuracy for complex DFS analysis is low and their noise resistance ability is weak, they cannot obtain an accurate simultaneous sampling. The symmetrical interpolation of the fast Fourier transform (FFT) method based on the triangular self-convolution window (TSCW) proposed in [15] better suppresses harmonic interference. On this basis, a polynomial window method further suppresses spectral leakage with good side-lobes performance [16]. However, for the dense spectrum, the major-lobe interference of these methods is considerable, making synchronous sampling ineffective, the suppression of spectrum leakage unapparent, and the measurement inaccurate.
Non-DFT methods include spectral estimation, Kalman filtering, neural network methods, etc. Among them, modern spectral estimation methods mainly include the Pisarenko harmonic decomposition method [17], multiple signal classification (MUSIC) method [18], Prony method [19], estimation of signal parameters via rotational invariance techniques (ESPRIT)-based method [20], multi-interharmonic spectrum separation and measurement (MSSM) method [21], etc. Some improved methods were proposed based on the Prony method [22,23], which improved the computational speed and accuracy. Based on the ESPRIT method, an exact model order (EMO) ESPRIT method was proposed in [24], accurately calculating the number, frequency, amplitude, and phase angle of harmonics in the signal. Moreover, its requirements for computational resources and speed are low. The ESPRIT method is more accurate than parametric methods such as the MUSIC method, and there is no pseudo-frequency problem. These spectral estimation methods have high computational accuracy, but the applicable order range and noise immunity are limited. The Kalman filtering technology [25] and its improvement method [26] solve the noise interference problem. The adaptive linear neural network method [27] and Hilbert–Huang transform (HHT) method [28] improve the stability of the computation. However, these methods have some drawbacks in terms of convergence speed, applicability range, and computational error.
The above methods are continuously improved for the detection of harmonic and interharmonic phasors in the low-frequency band. However, when measuring the signal components in the high-frequency band, the calculation time of these methods significantly increases, and the calculation accuracy decreases. Therefore, they are not suitable for the measurement of high-frequency signal components. In this regard, a method was proposed in [29] for high-order harmonic measurement based on the multiple measurement vectors (MMVs) model and orthogonal matching pursuit (OMP), which obtained a high-resolution spectral array of high harmonics by simplifying the MMVs’ compressive sensing (CS) model and using the OMP recovery algorithm. However, its noise-resistance ability for high-frequency signals is not ideal.
To resolve the above problems, this study proposed a WFDS analysis method based on the FMA. Firstly, the algorithm modeled the WFDS according to the Fourier transform and expanded on the sampling model Taylor series. Secondly, using the ALM method to simplify the sampling model, the augmented Lagrange function of the sampling model was obtained. Finally, under the alternate minimization strategy, the Lagrange multiplier vector and the sparse block phasor in the augmented Lagrange function were iteratively calculated to measure the original signal components. The simulation results show that the algorithm could ensure measurement accuracy in the case of unknown noise interference and that the convergence speed of the algorithm was fast. When the signal sample entropy was in the general range, the convergence speed of the algorithm was fast, which met the detection standard of the P-class PMU.

2. Signal Model Analysis

2.1. WFDS Model

The single-frequency signal is disturbed by harmonics and interharmonics and becomes a DFS that is the sum of multiple sinusoidal components [30]. According to Fourier analysis, the time-domain model of a DFS containing high-frequency harmonics can be expressed as:
x ( t ) = l = 1 L A l cos ( 2 π f l t + φ l ) + h = 1 H A h cos ( 2 π f h t + φ h )   = k = 1 K A k cos ( 2 π f k t + φ k ) ,
where L is the number of signal components in the low-frequency band; A l , f l , and φ l represent the amplitude, frequency, and phase of the lth sine component, respectively; H represents the number of signal components in the high-frequency band; A h , f h , and φ h represent the amplitude, frequency, and phase of the hth sine component, respectively; K is the total number of sinusoidal components of the signal; A k , f k , and φ k represent the amplitude, frequency, and phase of the kth sinusoidal component, respectively.
According to Euler’s formula, the power signal waveform of Equation (1) is rewritten as:
x ( t ) = 1 2 k = 1 K ( A k e j ( 2 π f k t + φ k ) + A k e j ( 2 π f k t + φ k ) )
For ease of analysis, let P k = A k e j φ k . P k can reflect the changes in the amplitude and phase of each component of the signal x ( t ) . Next, sample signal x ( t ) with period T s :
x [ n ] = 1 2 k = 1 K ( P k e j 2 π f k n T s + P k * e j 2 π f k n T s ) ,
where “*” represents the conjugate value, n = 0 , 1 , 2 , , N 1 , T s = 1 / f s , f s is the sampling frequency, and N is the total number of sampling points. At this point, an N × 1-order sample phasor x = [ x [ 0 ] , x [ 1 ] , , x [ N 1 ] ] T is obtained.
According to the Taylor series expansion, Equation (3) can be approximately written as Equation (4) in the form of effective values:
x [ n ] = 1 2 2 k = 1 K m = 0 M k [ ( n T s ) m m ! ( P k ( m ) e j 2 π f k n T s + P k * ( m ) e j 2 π f k n T s ) ] ,
where P k ( m ) represents the m-order derivative of the average harmonic or interharmonic phasor when the harmonic or interharmonic signal frequency is f k .
To define a 2 ( M k + 1 ) × 1 -order phasor, p k = [ P k ( 0 ) , P k * ( 0 ) , P k ( 1 ) , P k * ( 1 ) , , P k ( M k ) , P k * ( M k ) ] T , k = 1 , 2 , 3 , , K , and p k represents the concatenation of P k ( m ) , including all possible frequencies. When f k is given, the harmonic or interharmonic phasors at that frequency can be calculated according to Equation (4).
In Equation (4), the frequency f k can be represented in the linear discrete frequency grid as f k l k Δ f , Δ f is the frequency step after each iteration, and l k is the corresponding integer. When the step size of the frequency grid is 1 / ( N T s ) , P k ( 0 ) is the complex discrete Fourier transform coefficient of x [ n ] . When l k > 1 and satisfies Δ f = 1 / ( N T s l k ) , the total number of points of the frequency grid becomes N = N l k .
At the nominal frequency, the total vector error of the smaller phasors has little effect on the signal analysis process of the TFM model. When analyzing WFDS, there is large interference between phasors, and the generated frequency grid is not fine enough. Therefore, based on the ALM method, the FMA is used to analyze WFDS. When only the interharmonics and low-order harmonics near the fundamental frequency are considered, it has the complexity of the first-order method and the accuracy of the second-order methods.

2.2. Measurement Matrix

Equation (4) can be converted into matrix form:
x = b p ,
where the 2 ( M k + 1 ) K × 1 -order matrix p is the concatenation of K phasors p k , namely, p = [ p 1 T , p 2 T , , p k T , , p K T ] T . Matrix b of order N × 2 ( M k + 1 ) K is a low-rank matrix, a measurement matrix that maps 2 ( M k + 1 ) K to N , namely, b = [ b 1 , b 2 , , b k , , b K ] . b k can be written as:
b k = 1 2 2 × [ 1 1 0 0 0 ( 1 × T s ) 0 0 ! e f k × 1 ( 1 × T s ) 0 0 ! e f k × 1 ( 1 × T s ) M k M k ! e f k × 1 ( 1 × T s ) M k M k ! e f k × 1 [ ( N 1 ) T s ] 0 0 ! e f k ( N 1 ) [ ( N 1 ) T s ] 0 0 ! e f k ( N 1 ) [ ( N 1 ) T s ] M k M k ! e f k ( N 1 ) [ ( N 1 ) T s ] M k M k ! e f k ( N 1 ) ] ,
where e = e j 2 π T s .
The sample entropy can quantify the complexity of time series by measuring the probability of generating new patterns in the signal, and this study used the sample entropy of the power system signal as one of the parameters to test the performance of the proposed algorithm. Referring to [31], the sample entropy of the power system signal is defined as follows:
To define K : { 0 , 1 , , K 1 } , we used real vectors α : = { α l : l l } and β : = { β l : l l } , and to show the distance between two real vectors, we used ρ ( α , β ) . For a time series x : = ( x [ i ] , i N ) of length N, V : = N w 1 , w , we showed that C : = { c i : i V } was formed by V vectors c i : = [ x [ i + l 1 ] : l w ] of length w, and D : = { d i : i V } was formed by V vectors d i : = [ x [ i + l 1 ] : l w + 1 ] of length w + 1. Where both vectors were templates of x, we defined the cardinality as A i : = # { c C \ { c i } : ρ ( c i , c ) r } for the set consisting of the template c, and the cardinality as B i : = # { d D \ { d i } : ρ ( d i , d ) r } for the set consisting of the template d. Thus, A : = 1 2 i V A i , B : = 1 2 i V B i . The sample entropy of the signal then is:
S a m p e n ( x , w , r ) = { log ( B A ) ,                               if   A > 0 , B > 0 log ( 2 V ( V 1 ) )
The phasor p k in the matrix p is mostly zero, i.e., p is a sparse block phasor.
arg min b p x 2 ,
where 2 is the Euclidean norm of the vector. The traditional approach to solving Equation (8) is to use linear least-squares, but when p is sufficiently sparse and differs from the unit matrix of the regular coordinates of b, the 1 -norm minimization method is required.
In the analysis of wide-frequency DFS, b is not a full-rank matrix. To clarify, the number of measurements in x is smaller than the number of unknowns in p. At this point, an x can correspond to multiple different p. When b satisfies Equation (9), the signal components can be accurately analyzed as:
( 1 δ k ) p 2 2 b p 2 2 ( 1 + δ k ) p 2 2 ,
where the constant δ k ( 0 , 1 ) .
x is usually disturbed by noise, such as unknown disturbances in the signal acquisition process or the influence of different models on the signal analysis, as well as errors arising from the data processing performed by the equipment. In those cases, Equation (6) can be modified as:
x = b p + e ,
where e = [ e 1 , e 2 , , e K ] T is the noise phase volume.

3. Fast Minimization Algorithm

3.1. ALM Method

Considering the error, when p is sufficiently sparse and b is different from the unit matrix of p in standard coordinates, Equation (11) constitutes the constrained basis pursuit denoising problem:
p ^ = arg min p p 1   subj .   to   x b p 2 2 e .
The solution method can also be written as an unconstrained basis pursuit denoising problem:
F ( p ^ ) arg min x 1 2 x b p 2 2 + λ x ,
where F ( p ^ ) is the objective function and λ is the Lagrange multiplier.
Theoretically, p cannot be calculated exactly in the case of interference by random noise. However, by Equations (11) and (12), a more accurate p can be obtained. Functions p 1 and x b p are continuous convex functions with respect to p. This problem then has a unique minimal value in its definition domain to get a cost function containing a smoother quadratic penalty term.
arg min p p 1 + μ 2 x b p 2 2   subj .   to   x b p = 0 ,
where for any μ > 0 , there exists an optimal solution p .
According to Equation (13), the augmented Lagrange function μ ( p , υ ) of this problem can be obtained as:
μ ( p , υ ) = p 1 + υ , x b p + μ 2 x b p 2 2   subj .   to   x b p = 0 ,
where v is the Lagrange multiplier vector and , is the inner product of the matrix. In [32], it was shown that there exists an optimal solution v N for v as well as an optimal solution μ for μ that satisfies x = arg min x μ ( p , υ ) ,     μ > μ . The optimal solution of Equation (11) can be found according to the multiplicative method in [32]. For p and e, the augmented Lagrange function is convex. Therefore, iteration using the ALM method leads to the optimal solution at the kth iteration step.
{ p k + 1 = arg min p μ k ( p , ν k ) , ν k + 1 = ν k + μ k ( x b p k + 1 ) ,
where, for any μ > 0 , there exists an optimal solution p . Where { μ k } is a monotonically increasing positive sequence, μ k has a large impact on the iterative results [32]. In the ALM method, it was shown that when μ k = 2 N / x 1 was taken, this part of the algorithm could obtain faster convergence speed with guaranteed computational accuracy [33]. Therefore, we refer to that conclusion in terms of the value of μ k . Influenced by the improved algorithm part of this study, the test is conducted within a reasonable range around this value, and the specific test results are shown in Section 4.1.
In this study, the ALM method was improved on the basis of the alternating direction method (ADM), and the optimal solution of Equation (18) is solved with the iteration of Equations (16) and (17). Since the first step of this iteration is an unconstrained convex set procedure, { p k } converges to p ^ , and { ν k } converges to ν ^ after the iteration. Shrink is the one-dimensional shrinkage or soft-thresholding when the quantities involved are all real numbers. Before iterating, we took the initial values p 1 = 0 , e 1 = x , ν 1 = 0 , and k to denote the number of iterations, first minimizing for e:
e k + 1 = shrink ( x b p k + 1 μ k ν k , 1 μ k ) .
We then let t 1 = 1 , p 1 = p k . Finally, we used the minimization iteration method to calculate p:
{ p j + 1 = shrink ( p j + 1 γ b T ( x b ν j e k + 1 + 1 μ k ν k ) , 1 μ k γ ) , t j + 1 = 1 + 4 t j 2 + 1 2 , p j + 1 = p j + 1 + t j 1 t j + 1 ( p j + 1 p j ) ,
where j is the number of iterations. After calculating Equation (17), the Lagrange multiplier vector can be obtained by iterating Equation (18).
ν k + 1 = ν k + μ k ( x b p k + 1 e k + 1 ) .
The columns of b are highly correlated and occupy only an extremely tiny portion of the space. At this point, e, p, and ν can converge on a definite value as long as the phase space occupied by b is sufficiently dense and there are enough observations of x and p.

3.2. Dynamic Change of the Amplitude and Frequenvy

The above algorithm is the basic framework of this study. Based on this, considering the dynamic change of the amplitude and frequency of the actual signal due to the influence of sampling errors, etc., the interference operator τ is introduced. At this point, Equation (10) can be rewritten as:
x τ = b p + e ,
where is the composite mapping. Therefore, the signal after considering the dynamic changes of the actual signal amplitude and frequency can be written as x = x 0 τ 1 , and x 0 is the original signal.
The simultaneous estimation of p, e, and τ is a very difficult non-linear optimization problem. Therefore, we separately linearized the estimates of x corresponding to each sampling point k by computing for Equation (20).
min p , e , Δ τ i e 1   subj .   to   p τ i + τ i ( x τ i ) Δ τ i = b i p + e ,
where i is the number of iterations, τ i is the ith iteration of the interference operator τ taken, τ i ( x τ i ) is the Jacobian determinant of x τ i with respect to τ i , and Δ τ i is the update of τ i in one iteration. Equation (20) can be viewed as a generalized Gauss–Newton method to minimize the non-smooth objective function. Additionally, it converges quadratically in the neighborhood of the local optimum of the 1 -norm.
If no normalization was performed during the computation, the algorithm may obtain a degenerate global minimum. At this point, x ( τ i ) can be obtained by calculating p τ i p τ i 2 , and τ i ( x τ i ) can be obtained by calculating τ i x ˜ ( τ i ) | τ i . Equation (20) can then be transformed into:
Δ τ i = arg min e 1   subj .   to   x ˜ ( τ i ) + τ i ( x τ i ) Δ τ i = b i p + e .
Finally, the same inverse transformation τ i 1 of τ i is applied to b i .
b = [ b 1 τ 1 1 | b 2 τ 2 1 | | b p τ p 1 ] .
At this point, the two correspond one-to-one, and a global sparse representation p ^ of the interference operator corresponding to x can be found by solving the minimization problem of Equation (23).
p ^ = arg min p , e p 1 + e 1   subj .   to   x = b p + e .
According to the above calculation, the harmonic and interharmonic phase quantities x k and their frequencies f k are shown in Equations (24) and (25):
x ^ k = 2 p ^ k ( 0 ) .
f k ^ = l k ^ Δ f + 1 2 π Im { p k ( 1 ) p ^ k ( 0 ) } | p ^ k ( 0 ) | 2 .
The rate of change of frequency R O C O F ^ then is:
R O C O F ^ = 1 2 π Im { p ^ k ( 2 ) p ^ k ( 0 ) ( p ^ k ( 1 ) ) 2 ( p ^ k ( 0 ) ) 2 } .
The FMA proposed in this study is shown in Figure 1.

4. Simulation Analysis

In order to discuss the operation results of the algorithm proposed in this study, four comparison algorithms were selected: Sinc [11], HPE [12], MSSM [21], MCS-OMP [29], and standard basis pursuit denoising (BPDN) homotopy algorithm [34]. They were tested and compared from three aspects: basic performance, harmonic modulation, and wide-frequency noise. In this study, the total vector error (TVE), frequency error (FE), and absolute rate of change of frequency error (RFE) were used to evaluate the calculation results according to the measurement requirements of the P-class PMU in the IEEE Std C37.118.1a-2014 standard [35].

4.1. Basic Performance Test

In order to verify the accuracy of the proposed algorithm, we assumed that the WFDS model containing wide-frequency harmonic components was:
x ( t ) = k = 1 K A k cos ( 2 π f k t + φ k ) ,
where k = 1 represents the fundamental component; k = 2 and k = 3 represent the second harmonic and third harmonic components, respectively; k = 4–6 represent the interharmonic component; and the others represent the high-frequency band 71, 74, 77, 81, 83, and 86 harmonics. The specific parameters of the WFDS are shown in Table 1. We set the sampling frequency to 10 kHz and the sampling window length to 10 power frequency cycles.
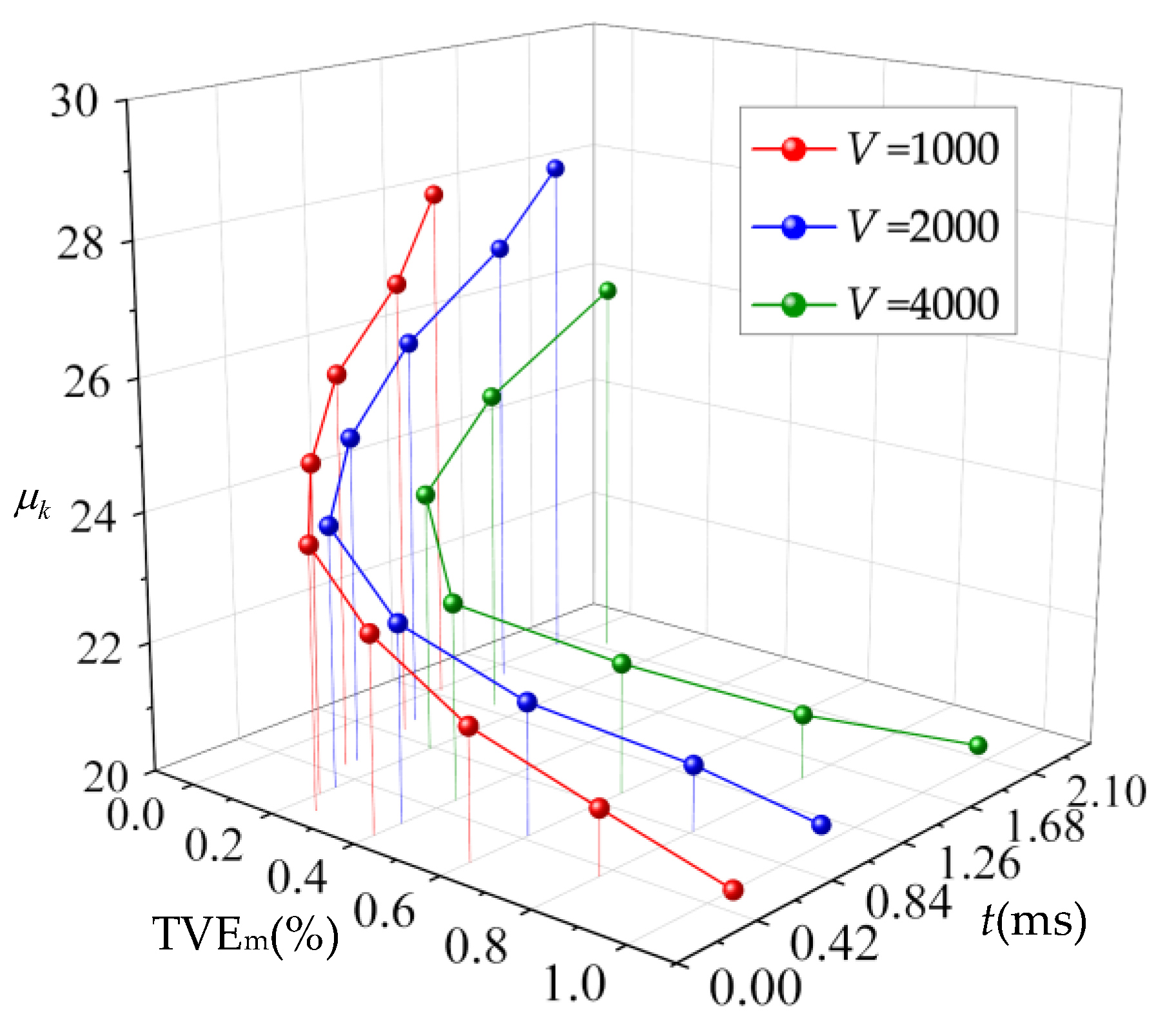
In order to analyze the operation effect of the algorithm proposed in this study, the maximum value TVEm of the comprehensive vector error and the CPU time t of the algorithm were used to characterize the calculation accuracy and speed. In the iterative calculation of Equation (15), the value of μ k has a great influence on TVEm and t. When μ k < μ ^ , the iteration does not converge, TVEm tends to infinity, and the running result is unreliable. Only when μ k > μ ^ can the Lagrange multiplier vector converge linearly, but when μ k is small, the result error is large. When μ k , the Lagrange multiplier vector converges super-linearly, but it significantly increases the difficulty of minimizing Equation (14), adding unnecessary runtime when analyzing high-frequency harmonic signals. Since the parameter V can positively characterize the magnitude of the signal ample entropy, the algorithm characteristics are observed by varying the magnitude of V. The values of TVEm and t for different values of V and μ k are shown in Figure 2.
In Figure 2, the magnitude of TVEm and runtime t are affected by the value of μ k taken, but within a certain range, TVEm and t are small at the same time. Therefore, the algorithm is tested after taking the value of μ k in that range. For the algorithm in this study, we used μ k = 24. In addition, when not considering synchronous and sub-synchronous oscillations, the number of loop iterations determines the approximate running time of FMA. Although there are nested loops in the process of alternating minimization, the inner loop can quickly converge in the actual calculation. To clarify, the increase in the number of p iterations does not significantly affect the running time t. As can be seen from Figure 2, the CPU time t of the FMA is affected by both the signal dimension increases linearly, and t increases almost linearly as well. When the actual signal is analyzed, t is small.
The running results are shown in Figure 3.
In Figure 3, the TVEm and the maximum values of FE and RFE of the algorithm proposed in this study are 0.64%, 0.024 Hz, and 0.0741 Hz/s, respectively, which all meet the IEEE standards of 1%, 0.025 Hz, and 0.1 Hz/s, respectively, as shown by the horizontal dashed line in Figure 3. Through the fast minimization of the high-order measurement matrix and the frequency component characteristic matrix, the algorithm in this study still had high precision and fast running speed for the analysis of DFS, including high-frequency harmonic signals.
The results of the five comparison algorithms are shown in Figure 3. The TVEm and the maximum values of FE and RFE of the HPE are 2.58%, 0.1842 Hz, and 0.0516 Hz/s, respectively. The TVEm and the maximum values of FE and RFE of the Sinc method are 2.67%, 0.2085 Hz, and 0.851 Hz/s, respectively. The TVEm and the maximum values of FE and RFE of the BPDN method are 1.49%, 0.042 Hz, and 0.24 Hz/s, respectively. The TVEm and the maximum values of FE and RFE of the MCS-OMP method are 0.95%, 0.03 Hz, and 0.196 Hz/s, respectively.
The above results show that the Sinc method and the HPE method are more accurate in analyzing harmonics in the low frequency band. However, the analysis errors for DFS and wide-frequency signals are enormous. In addition, the Sinc method cannot obtain zero-error results in the nominal frequency, while the HPE method has more satisfactory measurement results in this area. We showed that the interpolation method has some improvement for spectral interference and fence effect but has a large error in dealing with DFS. The MSSM algorithm obtains more accurate measurement results by predicting the number of frequency components in DFS, but when high-frequency signals are considered, its computational efficiency is low, and the error of the operating results is large. The standard BPDN homotopy algorithm also has high accuracy, but the overall operation is unstable. In Figure 3, the measurement results of the MCS-OMP algorithm and the algorithm in this study are relatively close. Facing the problems of high-frequency signal measurement efficiency and accuracy, the basic performance of both can meet the requirements. Therefore, the performance of the two algorithms was further compared by performing a wide-frequency noise test on the two algorithms.
When the signal is in a noisy environment, the measured dense frequency and ultra-high sub-frequency will be interfered with not only by the non-concerned frequency components but also by noise. To verify the algorithm’s effectiveness in the case of noise, we added Gaussian white noise with a signal-to-noise ratio varying from 70 dB to 190 dB to the signal of Equation (28). Ten random white Gaussian noise groups were used for each noise level to obtain the signal parameters’ TVE, FE, and RFE values. The specific test signals were as follows:
x ( t ) = l = 1 L A l cos ( 2 π f l t + φ l ) + h = 1 H A h cos ( 2 π f h t + φ h ) + noise .
We assumed that the sampling frequency was 10 kHz and set the sampling window length to 5 power frequency cycles. Still, the above harmonic measurement method was used to analyze the signal. Figure 4 shows the estimation results generated by the method in this study and by the MCS-OMP method under different noise conditions.
It can be seen from Figure 4 that the TVEm and the maximum values of FE and RFE of the algorithm proposed in this study are 0.93%, 0.0087 Hz, and 0.54 Hz/s, respectively, under the condition of noise interference, which all meet the IEEE standards of 1.20%, 0.01 Hz, and 0.6 Hz/s, respectively. The TVEm and the maximum values of FE and RFE of the MCS-OMP algorithm are 1.542%, 0.0312 Hz, and 1.376 Hz/s, respectively, which do not meet the standard. It can be seen that the algorithm in this study quickly obtains the convergence value of the current noise phasor by alternately minimizing Equations (16) and (17), better eliminating the influence of noise interference and obtaining a more accurate signal-estimation value. The MCS-OMP algorithm’s resolution in high-frequency bands is limited because it uses interpolation to analyze the signal. Therefore, this method cannot accurately analyze the signal components when disturbed by noise.

4.2. Harmonic Modulation Test

The amplitude and phase of each wide-frequency component have a common periodic fluctuation characteristic due to load changes or sub-synchronous oscillations. Therefore, by constructing an amplitude and phase modulation model to characterize the wide-frequency signal from the device, the simulation results can reflect the amplitude and phase fluctuation characteristics of the measured object. The detailed parameters of high-frequency components and dense frequency components in specific wide-frequency signals are shown in Table 1. In addition, the amplitude modulation factor and modulation frequency are added to the amplitude and phase. The modulation model of the final wide-frequency signal is:
x ( t ) = k = 1 K A k [ 1 + k t cos ( 2 π f t t ) ] cos ( 2 π f k t + k t cos ( 2 π f t t ) + φ k ) + sh A sh [ 1 + k m cos ( 2 π f m t ) ] cos ( 2 π f sh t + k m cos ( 2 π f m t ) + φ sh )
where A sh , f sh , and φ sh are the amplitude, frequency, and phase of the ultra-high harmonic frequencies, respectively. k m and f m are the modulation amplitude and modulation frequency of the high-frequency components, respectively, and use the values of 0.1 and 300, respectively. k t and f t are the modulation amplitude and modulation frequency of the dense component, respectively, and use the values 0.2 and 10, respectively. We assumed that the sampling frequency was 10 kHz and set the sampling window length to 5 power frequency cycles. The test results of the low-frequency harmonics are shown in Figure 5.
In Figure 5, the TVEm and the maximum values of FE and RFE of the algorithm proposed in this study for the low-frequency harmonic modulation test are 2.12%, 0.29 Hz, and 12.78 Hz/s, respectively. The TVEm and the maximum values of FE and RFE of each comparison algorithm are: MCS-OMP: 2.46%, 0.547 Hz, and 15.37 Hz/s, respectively; MSSM: 2.97%, 0.86 Hz, and 15.98 Hz/s, respectively; Sinc: 2.89%, 0.62 Hz, and 38.56 Hz/s, respectively; HPE: 2.89%, 0.44 Hz, and 37.09 Hz/s, respectively. From the above results, it can be seen that the TVE and FE values of the HPE method are the closest to the proposed FMA in the harmonic modulation test in the low-frequency band and can meet the requirements of both TVE and FE. Since the RFE values of the Sinc method and HPE method are larger than other algorithms and do not meet the requirements, only the MCS-OMP method and MSSM are closer to the proposed FMA in terms of RFE values.
The test results of high-frequency harmonics are shown in Figure 6.
In Figure 6, the TVEm and the maximum values of FE and RFE of the FMA in the high-frequency harmonic modulation test are 2.94%, 0.371 Hz, and 13.67 Hz/s, respectively, all of which meet the IEEE standards of 3.4%, 0.5 Hz, and 15.2 Hz/s, respectively. The TVEm and the maximum values of FE and RFE of each comparison algorithm are: MCS-OMP: 3.45%, 1.578 Hz, and 17.15 Hz/s, respectively; MSSM: 4.17%, 1.549 Hz, and 18.8 Hz/s, respectively; Sinc: 5.08%, 1.711 Hz, and 18.69 Hz/s, respectively; HPE: 4.58%, 1.464 Hz, and 17.46 Hz/s, respectively.
It can be seen that in the case of the harmonic modulation, the algorithm proposed in this study is better than the other algorithms with regard to high-frequency harmonic test results. By introducing the interference operator τ , the algorithm in this study solves the sparse phasor of its corresponding signal components. Before the FMA calculation, the interference of the dynamic changes of the signal amplitude and phase on the test results was removed, thus suppressing the influence of the power grid’s frequency fluctuations on the calculation results. In the harmonic modulation test for the high-frequency band, the HPE method had higher accuracy than that of the Sinc method, probably because the HPE method has higher stopband attenuation. In addition, the TVE and FE values of the Sinc and HPE methods were closer to those of the MSSM. The MSSM algorithm had high test accuracy for low-frequency DFS; however, the spectral separation algorithm it uses may only be suitable for a search domain in the low-frequency range, and the measurement results of the wide-frequency signals were inaccurate. The resolution affected the MCS-OMP algorithm, and the values of FE and RFE were large.

4.3. Step Change Test

In the event of a fault, the amplitude and phase of the voltage/current signal change suddenly. A test signal (30) is used to simulate this fault condition and perform a simulation analysis to evaluate the response time of the algorithm. In the experiment, at t = 2 s, the amplitude and phase of each frequency component change to 110% and π / 18 of the original amplitude and phase, respectively.
x ( t ) = l = 1 L A l cos ( 2 π f l t ) + h = 1 H A h cos ( 2 π f h t ) .
In the IEEE standard, the response time is used to evaluate the estimator’s performance under step-change conditions. Under the test conditions in this section, the IEEE threshold standards for TVE, FE, and RFE of P-class PMU are 2%, 0.14 Hz, and 1.6 Hz/s, respectively. The specific response test time of each algorithm is shown in Figure 7.
Figure 7 shows that in the step-change test, the maximum time for the TVE of the proposed algorithm to reach the threshold standard was 19.8 ms, which satisfied the response time standard of the P-class PMU of 40 ms.
In Figure 1, k mainly determined the iterative calculation time of the algorithm in this study. When the number of signal components was constant, the change in the convergence time of the augmented Lagrange vector was slight. In general, the convergence speed met the requirements. In addition, the response time of the MCS-OMP algorithm and the MSSM algorithm was less than 40ms only in the low-frequency band. Due to the limited resolution, the response time to the step change was too long when measuring the wide-frequency signal. The response times of the Sinc and HPE methods were longer due to the presence of the spectral leakage phenomenon, and the response time of the Sinc method was the longest due to its lower efficiency in performing parameter selection. Since the standard BPDN homotopy algorithm is strongly influenced by the initial value selection, its running time is unstable. Therefore, when testing the step change signal, the algorithm proposed in this study has a fast response speed and a solid ability to adapt to system faults.

5. Conclusions

The FMA was proposed in this study to address the problem of spectral leakage and long computation time in the analysis of WFDSs. The algorithm uses the idea of alternating minimization to iteratively solve the signal components and noise interference of WFDS, significantly shortening the calculation time. After considering the influence of the actual signal amplitude and phases of dynamic changes, this method introduced the interference operator to obtain more accurate calculation results. The simulation results show that in the wide-frequency noise test, harmonic modulation test, and step-change test, the method in this study improved the analytical accuracy of the WFDS by 35% to 46% compared with the IEEE C37.118.1a-2014 standard. In addition, the measurements were improved by about 22% when Gaussian white noise with signal-to-noise ratios from 70 dB to 190 dB was added to the signal. The measurement results meet the performance requirements of P-class PMU. In addition, when the noise interference of the signal increased, the algorithm still maintained a high calculation speed. However, the CPU time of the FMA was influenced by the dimensionality of the signal components, and the method had a large error in the analysis of dynamic WFDS. Therefore, further improvement of the computational efficiency of the algorithm under different measurement conditions and the analysis of dynamic WFDS are future research directions.

Author Contributions

Data curation, Z.L.; Methodology, H.T.; Project administration, H.T.; Validation, Y.T.; Visualization, W.L.; Writing—original draft, Z.Y.; Writing—review & editing, Y.T. All authors have read and agreed to the published version of the manuscript.

Funding

This research received no external funding.

Institutional Review Board Statement

Not applicable.

Informed Consent Statement

Not applicable.

Conflicts of Interest

The authors declare no conflict of interest.

Abbreviations

WFDSsWide-frequency dense signals
FMAFast minimization algorithm
ALMAugmented Lagrange multiplier
PMUPhasor measurement unit
DFTDiscrete Fourier transform
RV-IRife–Vincent class I
ALLSSAAntileakage least-squares spectral analysis
ALFTAntileakage Fourier transform
MALLSSAMulti-channel antileakage least-squares spectral analysis
SIFESinc interpolation function-based estimator
HPEHarmonic phasor estimator
DFSsDense frequency signals
PLLPhase-locked loop
FLLFrequency-locked loop
MWDFTMoving-window discrete Fourier transform
FFTFast Fourier transform
TSCWTriangular self-convolution window
MUSICMultiple signal classification
ESPRITEstimation of signal parameters via rotational invariance technique
MSSMMulti-interharmonic spectrum separation and measurement
EMOExact model order
HHTHilbert–Huang transform
MMVsMultiple measurement vectors
OMPOrthogonal matching pursuit
CSCompressive sensing
ADMAlternation direction method
ROCOFRate of change of frequency
BPDNBasis pursuit denoising
TVETotal vector error
FEFrequency error
RFERate of change of frequency error

References

  1. Ma, X.; Luo, H.; Yang, H. The Measurement and Analysis of Dense Frequency Signals Considering New Energy Integration. IEEE Trans. Power Deliv. 2021, 37, 3062–3070. [Google Scholar] [CrossRef]
  2. Kaczmarek, M.; Szczęsny, A.; Stano, E. Operation of the Electronic Current Transformer for Transformation of Distorted Current Higher Harmonics. Energies 2022, 15, 4368. [Google Scholar] [CrossRef]
  3. Chen, J.-H.; Tan, K.-H.; Lee, Y.-D. Intelligent Controlled DSTATCOM for Power Quality Enhancement. Energies 2022, 15, 4017. [Google Scholar] [CrossRef]
  4. Jafarpisheh, B.; Madani, S.M.; Jafarpisheh, S. Improved DFT-Based Phasor Estimation Algorithm Using Down-Sampling. IEEE Trans. Power Deliv. 2018, 33, 3242–3245. [Google Scholar] [CrossRef]
  5. Wang, K.; Wen, H.; Li, G. Accurate Frequency Estimation by Using Three-Point Interpolated Discrete Fourier Transform Based on Rectangular Window. IEEE Trans. Industr. Inform. 2021, 17, 73–81. [Google Scholar] [CrossRef]
  6. Lim, Y.C.; Saramäki, T.; Diniz, P.S.R.; Liu, Q. Fast Convergence Method for Scaling Window Sidelobe Magnitude. IEEE Signal Process. Lett. 2021, 28, 2078–2081. [Google Scholar] [CrossRef]
  7. Štremfelj, J.; Agrež, D. Nonparametric Estimation of Power Quantities in the Frequency Domain Using Rife-Vincent Windows. IEEE Trans. Instrum. Meas. 2013, 62, 2171–2184. [Google Scholar] [CrossRef]
  8. Ghaderpour, E.; Liao, W.; Lamoureux, M.P. Antileakage least-squares spectral analysis for seismic data regularization and random noise attenuation. Geophysics 2018, 3, V157–V170. [Google Scholar] [CrossRef]
  9. Xu, S.; Zhang, Y.; Pham, D.; Lambaré, G. Antileakage Fourier transform for seismic data regularization. Geophysics 2005, 70, V87–V95. [Google Scholar] [CrossRef]
  10. Ghaderpour, E. Multichannel antileakage least-squares spectral analysis for seismic data regularization beyond aliasing. Acta Geophys. 2019, 67, 1349–1363. [Google Scholar] [CrossRef]
  11. Chen, L.; Zhao, W.; Wang, Q.; Wang, F.; Huang, S. Dynamic Harmonic Synchrophasor Estimator Based on Sinc Interpolation Functions. IEEE Trans. Instrum. Meas. 2019, 68, 3054–3065. [Google Scholar] [CrossRef]
  12. Chen, L.; Zhao, W.; Xie, X.; Zhao, D.; Huang, S. Harmonic Phasor Estimation Based on Frequency-Domain Sampling Theorem. IEEE Trans. Instrum. Meas. 2021, 70, 1–10. [Google Scholar] [CrossRef]
  13. Golestan, S.; Guerrero, J.M.; Vasquez, J.C. Three-Phase PLLs: A Review of Recent Advances. IEEE Trans. Power Electron. 2017, 32, 1894–1907. [Google Scholar] [CrossRef] [Green Version]
  14. Singh, K.M.; Sumathi, P. Moving-Window DFT Based Frequency-Locked Loop for FM Demodulation. IEEE Commun. Lett. 2016, 20, 898–901. [Google Scholar] [CrossRef]
  15. Wen, H.; Zhang, J.; Meng, Z.; Guo, S.; Li, F.; Yang, Y. Harmonic Estimation Using Symmetrical Interpolation FFT Based on Triangular Self-Convolution Window. IEEE Trans. Ind. Inf. 2015, 11, 16–26. [Google Scholar] [CrossRef]
  16. Xu, S.; Liu, H.; Bi, T. A Novel Frequency Estimation Method Based on Complex Bandpass Filters for P-Class PMUs with Short Reporting Latency. IEEE Trans. Power Deliv. 2021, 36, 3318–3328. [Google Scholar] [CrossRef]
  17. Prasad, A.; Kundu, D.; Mitra, A. Sequential Estimation of the Sum of Sinusoidal Model Parameters. J. Stat. Plann. Inference 2008, 138, 1297–1313. [Google Scholar] [CrossRef] [Green Version]
  18. Jafarpisheh, B.; Madani, S.M.; Parvaresh, F.; Shahrtash, S.M. Power System Frequency Estimation Using Adaptive Accelerated MUSIC. IEEE Trans. Instrum. Meas. 2018, 67, 2592–2602. [Google Scholar] [CrossRef]
  19. Lewandowski, M.; Walczak, J. Current Spectrum Estimation Using Prony’s Estimator and Coherent Resampling. COMPEL Int. J. Comput. Math. Electr. Electron. Eng. 2014, 33, 989–997. [Google Scholar] [CrossRef]
  20. Drummond, Z.D.; Claytor, K.E.; Allee, D.R.; Hull, D.M. An Optimized Subspace-Based Approach to Synchrophasor Estimation. IEEE Trans. Instrum. Meas. 2021, 70, 1–13. [Google Scholar] [CrossRef]
  21. Sun, Z.; He, Z.; Zang, T.; Liu, Y. Multi-Interharmonic Spectrum Separation and Measurement Under Asynchronous Sampling Condition. IEEE Trans. Instrum. Meas. 2016, 65, 1902–1912. [Google Scholar] [CrossRef]
  22. Yalcin, N.A.; Vatansever, F. A New Hybrid Method for Signal Estimation Based on Haar Transform and Prony Analysis. IEEE Trans. Instrum. Meas. 2021, 70, 1–9. [Google Scholar] [CrossRef]
  23. Chang, G.W.; Chen, C.I. An Accurate Time-Domain Procedure for Harmonics and Interharmonics Detection. IEEE Trans. Power Delivery 2010, 25, 1787–1795. [Google Scholar] [CrossRef]
  24. Jain, S.K.; Singh, S.N. Exact Model Order ESPRIT Technique for Harmonics and Interharmonics Estimation. IEEE Trans. Instrum. Meas. 2012, 61, 1915–1923. [Google Scholar] [CrossRef]
  25. Sadinezhad, I.; Agelidis, V.G. Frequency Adaptive Least-Squares-Kalman Technique for Real-Time Voltage Envelope and Flicker Estimation. IEEE Trans. Ind. Electron. 2012, 59, 3330–3341. [Google Scholar] [CrossRef]
  26. Chen, C.I.; Chang, G.W.; Hong, R.C.; Li, H.M. Extended Real Model of Kalman Filter for Time-Varying Harmonics Estimation. IEEE Trans. Power Deliv. 2010, 25, 17–26. [Google Scholar] [CrossRef]
  27. Lin, H.C. Intelligent Neural Network-Based Fast Power System Harmonic Detection. IEEE Trans. Ind. Electron. 2007, 54, 43–52. [Google Scholar] [CrossRef]
  28. Laila, D.S.; Messina, A.R.; Pal, B.C. A Refined Hilbert-Huang Transform with Applications to Interarea Oscillation Monitoring. IEEE Trans. Power Syst. 2009, 24, 610–620. [Google Scholar] [CrossRef] [Green Version]
  29. Zhuang, S.; Zhao, W.; Wang, R.; Huang, S. New Measurement Algorithm for Supraharmonics Based on Multiple Measurement Vectors Model and Orthogonal Matching Pursuit. IEEE Trans. Instrum. Meas. 2019, 68, 1671–1679. [Google Scholar] [CrossRef]
  30. Frigo, G.; Giorgi, G.; Bertocco, M.; Narduzzi, C. Multifunction phasor analysis for distribution networks. In Proceedings of the 2016 IEEE International Workshop on Applied Measurements for Power Systems (AMPS), Aachen, Germany, 28–30 September 2016. [Google Scholar]
  31. Liu, W.; Jiang, Y.; Xu, Y. A Super Fast Algorithm for Estimating Sample Entropy. Entropy 2022, 24, 524. [Google Scholar] [CrossRef] [PubMed]
  32. Bertsekas, D.P. Nonlinear Programming, 2nd ed.; Athena Scientific: Belmont, MA, USA, 1999; pp. 3–37. [Google Scholar]
  33. Yang, J.; Zhang, Y. Alternation Direction Algorithms for l1-Problems in Compressive Sensing; Methods and Algorithms for Scientific Computing: Berkeley, CA, USA, 2009; pp. 250–278. [Google Scholar]
  34. Asif, M.S.; Romberg, J. Sparse Recovery of Streaming Signals Using l1-Homotopy. IEEE Trans. Signal Process. 2014, 62, 4209–4223. [Google Scholar] [CrossRef]
  35. IEEE Std C37.118.1a-2014 (Amendment to IEEE Std C37.118.1-2011); IEEE Standard for Synchrophasor Measurements for Power Systems—Amendment 1: Modification of Selected Performance Requirements. IEEE Power & Energy Society: New York, NY, USA, 2014; pp. 1–25.
Figure 1. Analysis steps of the FMA for WFDS.
Figure 1. Analysis steps of the FMA for WFDS.
Energies 15 05618 g001
Figure 2. Comparison of operating effects under different conditions.
Figure 2. Comparison of operating effects under different conditions.
Energies 15 05618 g002
Figure 3. Running results of each algorithm: (a) TVE values for each algorithm; (b) FE values for each algorithm; (c) RFE values for each algorithm.
Figure 3. Running results of each algorithm: (a) TVE values for each algorithm; (b) FE values for each algorithm; (c) RFE values for each algorithm.
Energies 15 05618 g003
Figure 4. Wide-frequency noise test results: (a) TVE values for each algorithm; (b) FE values for each algorithm; (c) RFE values for each algorithm.
Figure 4. Wide-frequency noise test results: (a) TVE values for each algorithm; (b) FE values for each algorithm; (c) RFE values for each algorithm.
Energies 15 05618 g004
Figure 5. Low-frequency harmonic modulation test results: (a) TVE values for each algorithm; (b) FE values for each algorithm; (c) RFE values for each algorithm.
Figure 5. Low-frequency harmonic modulation test results: (a) TVE values for each algorithm; (b) FE values for each algorithm; (c) RFE values for each algorithm.
Energies 15 05618 g005
Figure 6. High-frequency harmonic modulation test results: (a) TVE values for each algorithm; (b) FE values for each algorithm; (c) RFE values for each algorithm.
Figure 6. High-frequency harmonic modulation test results: (a) TVE values for each algorithm; (b) FE values for each algorithm; (c) RFE values for each algorithm.
Energies 15 05618 g006aEnergies 15 05618 g006b
Figure 7. Step-change test results: (a) Response time when the TVE of the algorithm analysis result reached 2%; (b) Response time when the FE of the algorithm analysis result reached 0.14 Hz; (c) Response time when the RFE of the algorithm analysis result reached 1.6 Hz/s.
Figure 7. Step-change test results: (a) Response time when the TVE of the algorithm analysis result reached 2%; (b) Response time when the FE of the algorithm analysis result reached 0.14 Hz; (c) Response time when the RFE of the algorithm analysis result reached 1.6 Hz/s.
Energies 15 05618 g007
Table 1. Specific parameters of WFDS.
Table 1. Specific parameters of WFDS.
k1234567891011
f k (Hz)501001505198355037003850405041504300
A k (%)1001.605.003.001.200.200.150.340.120.240.25
φ k (rad)0.320.530.220.340.450.400.230.140.500.340.63
Publisher’s Note: MDPI stays neutral with regard to jurisdictional claims in published maps and institutional affiliations.

Share and Cite

MDPI and ACS Style

Yuan, Z.; Liao, Z.; Tu, H.; Tu, Y.; Li, W. Analysis of Wide-Frequency Dense Signals Based on Fast Minimization Algorithm. Energies 2022, 15, 5618. https://doi.org/10.3390/en15155618

AMA Style

Yuan Z, Liao Z, Tu H, Tu Y, Li W. Analysis of Wide-Frequency Dense Signals Based on Fast Minimization Algorithm. Energies. 2022; 15(15):5618. https://doi.org/10.3390/en15155618

Chicago/Turabian Style

Yuan, Zehui, Zheng Liao, Haiyan Tu, Yuxin Tu, and Wei Li. 2022. "Analysis of Wide-Frequency Dense Signals Based on Fast Minimization Algorithm" Energies 15, no. 15: 5618. https://doi.org/10.3390/en15155618

APA Style

Yuan, Z., Liao, Z., Tu, H., Tu, Y., & Li, W. (2022). Analysis of Wide-Frequency Dense Signals Based on Fast Minimization Algorithm. Energies, 15(15), 5618. https://doi.org/10.3390/en15155618

Note that from the first issue of 2016, this journal uses article numbers instead of page numbers. See further details here.

Article Metrics

Back to TopTop