Abstract
The ultrasound method is a low-cost, environmentally safe technology that may be utilized in the petroleum industry to boost oil recovery from the underground reservoir via enhanced oil recovery or well stimulation campaigns. The method uses a downhole instrument to propagate waves into the formation, enhancing oil recovery and/or removing formation damage around the wellbore that has caused oil flow constraints. Ultrasonic technology has piqued the interest of the petroleum industry, and as a result, research efforts are ongoing to fill up the gaps in its application. This paper discusses the most recent research on the investigation of ultrasound’s applicability in underground petroleum reservoirs for improved oil recovery and formation damage remediation. New study areas and scopes were identified, and future investigations were proposed.
1. Introduction
Because the energy sector accounts for almost two-thirds of all human greenhouse-gas emissions, it must play a prominent part in measures to curb greenhouse-gas emissions in all its operations. The development of ultrasonic technology is part of these efforts in the petroleum industry. Chemicals have been used to treat formation damage and improve oil recovery, but they are toxic and provide a significant risk of environmental pollution, whereas ultrasonic technology is generally safe [].
The ultrasound method is a low-cost, environmentally safe technology that may be utilized in the petroleum sector to boost oil recovery from the underground reservoir via enhanced oil recovery or well stimulation campaigns. Ultrasonic transducers positioned opposite the production intervals emit ultrasonic waves into the formation, which eliminates near-wellbore damages and enhances oil flow into the wellbore. In most situations, the ultrasonic approach efficiently removes impediments to oil flow, and the benefit of oil recovery can endure for a long period. Amongst other benefits, this approach includes low energy consumption, avoidance of rock–fluid or fluid–fluid interactions, zonal selectivity, real-time monitoring, and its applicability to complex/horizontal and deviated wells [,,,,].
Several explanations have been proposed for the interaction of ultrasonic waves with petroleum reservoirs: (1) Decrease in hydrocarbon viscosity. Ultrasonic waves induce rock vibrations, causing a periodic change in shear stress and the viscosity of the heavy oil is lowered as shear stress increases. Furthermore, heat generated by ultrasonic vibration may result in a viscosity decrease. (2) Decoagulation of heavy oils: Vibrations, bubble cavitation, and friction produced by ultrasound can prevent the coagulation of heavy oils. The vibrations cause distinct molecules to move relative to one another owing to differences in acceleration, culminating in the breakdown of heavier molecules. This impact, combined with the shock produced from bubble cavitation, increases oil movability. (3) Change of wettability: Rocks and fluids are subjected to vibrations as a result of the impact of ultrasonic waves. Because the vibration speed of the rock and fluid will differ due to density variations, the fluid–rock contact can move relative to each other. This process can cause a mangling effect, which weakens the attraction force between the rock and the fluid, causing fluid to be removed from the rock walls. (4) Demulsification: heat created by prolonged sonication might decrease emulsion viscosities and aid the breakdown of the emulsions. (5) Emulsification induced by much-prolonged sonication. (6) Increased porosity and permeability as a consequence of pore deformation, and damage removal. (7) Oil droplet coalescence by Bjerknes forces can produce steady flow of oil. (8) Decrease in surface tension due to the heating action of ultrasound. (9) Ultrasonic vibrations can distort pore walls, causing fluids to be pushed into surrounding pores and triggering peristaltic transport []. In this paper, research conducted in the last two years on the use of ultrasonic waves in petroleum reservoirs for improved oil recovery and remediating formation damage are reviewed. Our goal is to highlight the most current research efforts in this field as well as to identify areas that need further exploration for future research. It is envisaged that this review study will save research time by serving as part of a starting point for future research on the application of ultrasonic waves for improved oil recovery and the minimization of formation damage in petroleum reservoirs.
2. The Use of Ultrasonic Waves in Petroleum Reservoirs to Improve Oil Recovery and Reduce Formation Damage
Some of the trapped oil within the underground reservoir will require more than the natural reservoir energy to recover them. To assist oil recovery from reservoirs, a variety of approaches and technologies have been established []. Chemical methods, thermal approaches, miscible techniques, and electromagnetic processes have all been applied with considerable impact on hydrocarbon recovery []. The petroleum industry will gain greatly from the development of more feasible and eco-friendly strategies for recovering the residual oil. Several laboratory and mathematical reports have demonstrated that ultrasound can recover residual oil, and decrease oil viscosity and interfacial tension, indicating that it has promise for improving oil recovery from hydrocarbon reservoirs.
Li et al. [] investigated how ultrasonic waves can be used to help water flooding in low-permeability reservoirs and how their frequency can be optimized. They found that the main way ultrasonic waves help EOR is by reducing the oil viscosity (especially in conventional reservoirs) and lowering the interfacial tension between the oil and water. Ultrasonic waves, on the other hand, could change the shape of low-permeability cores and make it easier for pores to connect. A study of how different ultrasonic wave frequencies (15 to 28 kHz) affect the viscosity of crude oil in reservoirs of low permeability, found that oil viscosity decreases at higher ultrasound frequency, and the rate of oil viscosity decrease at 28 kHz was identical to the rate at 25 kHz, as shown in Figure 1.

Figure 1.
How different frequencies of ultrasonic waves affect the lowering of viscosity (Reprinted from Li et al. [] Copyright 2020, under the CC BY-NC-ND license, http://creativecommons.org/licenses/by-nc-nd/4.0/, (accessed on 9 June 2022).
Again, ultrasonic waves of varied frequencies were used to investigate brine–oil interfacial tension (IFT), and Figure 2 depicts the variation in IFT produced by the ultrasonic treatment. In terms of lowering the interfacial tension, ultrasonic waves with frequencies of 25 and 28 kHz were more effective than frequencies of 15 and 18 kHz.

Figure 2.
How different frequencies of ultrasonic waves affect the lowering of interfacial tension (Reprinted from Li et al. [] Copyright 2020, under the CC BY-NC-ND license, http://creativecommons.org/licenses/by-nc-nd/4.0/, (accessed on 9 June 2022).
Ultrasonic waves were shown to boost oil recovery from water flooding, particularly in cores that have low permeability and oil-wet conditions. They also found that an ultrasonic wave with a medium frequency of 20 kHz works best in cores of low permeability and strong water-wet conditions, whereas ultrasonic waves of higher frequencies will perform well in cores that are of low permeability and weak oil-wet conditions. The authors did not include information on the ultrasonic power level applied in the study and there was no remark or assumption to support the missing data. Lv et al. [] examined the impact of ultrasound on the viscosity and pour point of crude. The viscosity of the heavy crude was monitored using a rotating viscometer at various temperatures and settings, and viscosity–temperature curves of crude were produced before and after sonication. Figure 3 shows that ultrasonic waves could successfully lower the viscosity of crude, with the greatest viscosity reduction of 87.2%. Additionally, 4.8 °C was reached as the highest pour point reduction depression. The viscosity reduction resulting from the action of ultrasonic waves is beneficial to physicochemical processes. This is according to a paraffin crystal morphology investigation performed on the crude to understand how the viscosity and pour point can be lowered [].

Figure 3.
Changes in the viscosity of heavy crude from the Jinghe oilfield after ultrasound treatment [].
Hua [] also examined how ultrasound could be used to lower heavy oil viscosity. His results were similar to those of []. Ultrasonic irradiation can help in the reduction of oil viscosity by up to 86%, according to their measurements. The factors that influenced viscosity reduction include the degree of ultrasonic power, the length of treatment, the amount of water cut, and the temperature condition. Additionally, the amount, magnitude, and dispersion of paraffin crystals are all affected by the ultrasonic waves.
In another study, ultrasonic waves were used to make multi-walled carbon nanotubes (MWCNT) that were hydroxylated to spread out more in the SDBS solution []. The cavitation and chip effects of ultrasound can disentangle the MWCNT, and the SDBS molecules that stick to the MWCNT can strengthen the electrostatic repulsion between the nanotubes. This leads to a reasonable spread of the MWCNT and a greater potential for improved oil recovery. Figure 4 depicts the ultraviolet–visible absorbance of MWCNT scattered in SDBS solution after being sonicated at 25 kHz for different lengths of time. Figure 4a shows that the highest absorbance values of MWCNT in SDBS solution occurred at a wavelength of 254.8 nm, which is connected to MWCNT dispersity. Figure 4b demonstrates the plot of absorbance at 254.8 nm against time, where absorbance rises before 240 min and subsequently steadily drops. The cavitation action of ultrasonic waves helps to spread out MWCNT in an aqueous system. Sonication causes low pressure waves and high-pressure waves swap in a liquid. This causes tiny vacuum bubbles to grow and erupt in a dramatic way, as well as significant shear stresses [,]. The significance of this study is that an adequate SDBS/MWCNT solution could offer good foam-stabilizing performance during enhanced oil recovery.

Figure 4.
Ultraviolet-visible absorbance of MWCNT dispersed in SDBS solution under ultrasound at 25 kHz, (a) effect of different treatment and wavelengths, (b) effect of wavelength at 254.8 nm (reprinted from Li et al. [] Copyright 2022, LN 5324970158358, with permission from Elsevier).
Taherynia et al. [] conducted imbibition studies on limestone samples extracted from the Asmari deposit, one of Iran’s key oil reservoirs, with and without the influence of ultrasound. The results of the studies demonstrated a significant improvement in oil recovery when exposed to ultrasound treatment. They envisaged that lowering the interfacial tension (IFT) and, by extension, the capillary holding force of oil, could help extract more oil out of the oil-wet rock. A capillary pressure curve showed the oil recovery from the samples increasing significantly when the IFT declines, and gravity becomes the dominating force.
Crystalline starch nanofluid (CSNF) is seen to be a viable product for EOR campaigns since it might be used as a substitute to standard approaches for recovering oil from extreme reservoir conditions. In a novel experiment, ascorbic acid was employed to make crystalline starch nanoparticles []. They found that the approach for synthesizing crystalline starch nanoparticles (CSNP) was hugely successful because ultrasound improved the nanoparticles made during hydrolysis and precipitation. This created nanocrystals with a wider range of sizes and a greater volume. Ultrasound also made the procedure easier, more cost effective, and used less energy, making it more cost effective than traditional approaches.
Wang et al. [] investigated the use of ultrasonics to aid oil–gas miscibility during CO2 flooding, which helps to extract additional tight oils. The physical characteristics of crude oil with and without ultrasound interventions were investigated using different analytical techniques. The slim-tube test was utilized to estimate the oil–gas minimum miscibility pressures (MMPs), and a mixing-cell technique was used to evaluate miscibility variations with and without ultrasound. Finally, core flood experiments supported by nuclear magnetic resonance (NMR) were utilized to simulate oil recovery and estimate the recovery factor directly. The oil’s viscosity at 60 °C declined by about 32%, while resin and asphaltene levels were reduced by 49% and 37%, respectively, after applying ultrasound for 8 h at a frequency and power of 40 kHz and 200 W, respectively. According to the FTIR spectrum, the macromolecules disintegrated into reduced carbon-number molecules. The results also show that the MMP was reduced from 15.8 to 14.9 MPa, and the oil recovery factor increased by 11.7%.
Li et al. [] presented a technique for improving shale gas flow characteristics by employing ultrasound to boost the production of gas from shale rock. The method was tested in the laboratory to see how well it worked. The geometry and morphological characteristics of the shale samples were examined, followed by the investigation of the attenuation properties of the ultrasonic waves travelling through the shale. Finally, the ultrasonic waves’ impact on adsorption, desorption, and seepage of shale gas were investigated. According to their findings, the Langmuir adsorption isotherm may be utilized in characterizing the adsorption properties of shale gas during ultrasound application. By increasing ultrasonic power, the gas adsorption constant drops. Ultrasonic waves speed up gas desorption, increase the volume of desorption dramatically, and make it take longer for desorption equilibrium to be attained. They also make it easier for shale gas to flow through, which is proportional to the ultrasonic power. According to these findings, the ability of shale gas to flow is related to the effective stress under ultrasonication in a power–law way.
Tahmasebi Boldaji et al. [] looked at how ultrasound affects the viscosity of crude oil. ANFIS, inverse square root, natural log, and square root were models utilized for predicting crude oil viscosity. ow p-values, R-squared, and high F distribution values were used to verify the models’ applicability. The ANFIS model and the inverse square root transmission function were shown to be more accurate than the natural log and square root models in terms of matching experimental observations. The length of sonication had the strongest influence on crude oil viscosity, with the viscosity decreasing as the sonication time increases. The frequency and power of the ultrasonic waves have little influence on crude oil viscosity.
The synergic influence of ultrasound on carbonate rock wettability change was examined, employing distilled water, saltwater, sodium dodecyl sulfate, silica nanomaterials, and SDS surfactant–silica nanomaterials mixtures []. The results of variance analysis showed that the wettability change was impacted by a variety of factors under the influence of ultrasound, such as the type of water used, nanomaterials, surfactant solution, length of sonication, and temperature. Raising the temperature and ultrasound treatment duration significantly reduced the contact angle. According to the authors, carbonate rocks showed greater contact angle decreases under ultrasound, even though they were soaked for longer than the rock samples without ultrasound. The sample that was subjected to ultrasound for 30 min at 60 °C had the greatest contact angle decrease in distilled water and seawater. In addition, the contact angle was lowered by extending the ultrasonic treatment time. The contact angle is reduced even further as the temperature is raised. Cavitation, capillary pressure, and interfacial tension reductions were reported to be possible mechanisms of wettability change of the rock under ultrasonic irradiation [].
In an experiment to see how the viscosity of crude with a high asphaltene concentration is affected by ultrasound, a reservoir oil sample was exposed to ultrasound at power (35 and 50 W) and frequency (42 and 46 kHz) []. It was observed that ultrasound decreased the oil viscosity, and this reduction was greater when the power and frequency were increased. Forty percent of the oil viscosity was lowered by the influence of ultrasound at 46 kHz frequency and 50 W power after 40 min of sonication. The optimal sonication period was also shortened by increasing the power or frequency of the irradiation. The viscosity decrease under ultrasound was attributed to heat production, cavitation, and a breakdown of asphaltene caused by ultrasound. These findings point to the viability of employing ultrasound at the near-wellbore region as an alternative or in conjunction with in situ combustion processes to increase oil recovery.
Oil recovery efficiency from oily sludge may be affected by acoustic properties, as shown in experiments carried out by Luo, Gong, He et al. []. Figure 5 illustrates that oil recovery efficiency declines with higher frequency, and as acoustic intensity is raised, oil recovery increases. According to the authors, a possible explanation is that cavitation bubble energy rises with decreasing frequency, making it easier to disintegrate oily sludge, and increasing acoustic intensity may cause greater cavitation that results in enhanced oil recovery efficiency. However, extreme acoustic intensity inhibits the development of cavitation bubbles, which prevents the continued desorption of oil from the solid particles. Oil recovery from sludge may also be enhanced by increasing the acoustic exposure time, but when the adsorption–desorption equilibrium is achieved, the oil recovery stays constant throughout the exposure time. It was suggested that mechanical forces, such as shock waves and micro-jets created by the acoustic cavitation, may have disrupted the hydrogen bonds between asphaltenes and the solid particles, which increased oil recovery from oily sludge.

Figure 5.
How acoustic properties (intensity and frequency) affect the recovery of oil (reprinted from Luo, Gong, He et al. [] Copyright 2020, LN 5341880505665, with permission from Elsevier).
The emulsion’s behavior during oil flow is complicated, yet it may be beneficial to oil recovery. The movement of stable oil-in-water and water-in-oil emulsions might improve oil recovery by increasing sweep efficiency and increasing displacement efficiency via entrapment and transportation, respectively []. The capacity of emulsions to remain stable is critical to their effectiveness for enhanced oil recovery purposes. An investigation of the effects of biosurfactant-producing microorganisms and ultrasound waves on water-in-oil emulsion stability was carried out by Vahdanikia et al. []. They reported that low ultrasonic frequencies of 20 kHz had a greater influence on emulsion stability than higher frequencies of 40 kHz. When compared to the microorganisms alone, the influence of ultrasound on emulsion stability was not entirely evident, and it is recommended that additional research studies be conducted in this area [].
For the generation of particularly tailored colloids that help in the recovery of oil from a petroleum reservoir, colloidal particle diffusion in the porous media is essential. With the use of a micromodel, Yeh and Juárez [] studied the effects of ultrasound on the diffusion and transportation of colloidal particles. Without the introduction of ultrasound, visual observations revealed that the micromodel walls impeded particle diffusion. Mean sac diameter measurements were used to determine the diffusion coefficient and average particle velocity for each input voltage and ultrasound frequency when the particles were exposed to ultrasound. It was shown that ultrasound accelerated the diffusion of colloidal particles, and the diffusion coefficient scaled practically linearly with the input voltage. The greatest effective diffusion at ultrasound frequency 40 kHz was about 0.4 m2/s, which is over five times larger than in the absence of ultrasound. Diffusion remains intensified outside the 40 kHz resonance peak, with a measured coefficient of 0.15 m2/s, which is also two times greater than in the absence of ultrasound.
In the last 10 years, several laboratory investigations have been employed to investigate the application of ultrasonic waves in the reservoir for improved oil recovery. This technology has been field tested, and results indicate that it is suited for EOR and formation damage remediation [].
Another consideration is formation damage, which is one of the most difficult issues that a reservoir faces over its existence []. Pressure fluctuations, pore blockages and reduced production rates may be caused by the phenomena, leading to a decline in oil recovery []. The use of ultrasound to eliminate formation damage, which is a significant barrier to oil recovery, is still being investigated by researchers. One of the most difficulties impacting gas reservoir production is the generation of condensate near the wellbore. In a test, ultrasound was demonstrated to be capable of removing the condensate blockage and improving permeability []. A gas well in Southern Iran provided the condensate fluid, and two core plugs with varying electrical and mechanical parameters were filled with it and subjected to ultrasound at different powers and sonication times. In the studies, it was found that the removal rate of condensate from the two plugs under the influence of ultrasound differed from each other. Due to variations in their acoustic impedance, the plug (2) had a better condensate removal effectiveness than the plug (1). Greater acoustic impedance creates increased local pressure perturbation, providing greater external strength to withstand the fluid’s surface tension, and as illustrated in Figure 6, the measured acoustic impedance of plug (2) was 2.6 times that of plug (1).

Figure 6.
Measured acoustic impedance of plugs (reprinted from Karami et al. [] Copyright 2020, LN 5341881023037, with permission from Elsevier).
Using ultrasonic frequencies of 37 kHz and 80 kHz, the percentage of the final condensate removed from the plug (2) was 7% and 31%, respectively. Plug (1)’s condensate removal was 2.4% and 16.9% at 37 kHz and 80 kHz, respectively. According to the authors, ultrasonic waves were believed to have removed the condensate fluids by causing an artificial pressure perturbation [].
In a similar consideration, a pressure depletion falling below the dew point pressure causes liquid drop out to be generated in gas condensate reservoirs. Condensate banking occurs when condensate accumulates at the near-wellbore area of the formations over time because of this occurrence. Gas mobility is reduced when this condensate saturation rises, resulting in a decrease in recoverable hydrocarbons. Aieshah et al. [] studied the influence of different ultrasound amplitudes on the removal of condensate in heterogeneous glass packs under dynamic settings and different sonication times. To mimic condensate banking in the near-wellbore region, a test was carried out with n-Decane and the glass pack. After ultrasound exposure of 10%, 50%, and 100% amplitudes, carbon dioxide was circulated through the pack to imitate the flow of gas from the formation. A reduction in viscosity was observed, resulting in a recovery of up to 17.36% and a 24.33% improvement in areal sweep efficiency after 120 min of sonication at 100% amplitude. This suggests that n-Decane mobility improves following sonication, allowing for more hydrocarbon liquid formation. As a result, the use of ultrasound in gas condensate wells has shown to be not only effective in raising production, but also eco-friendly and inexpensive.
Colloidal precipitates from petroleum can clog reservoir pores and impede oil recovery due to equilibrium disturbances. Colloidal precipitation around the wellbore was studied by Mo et al. [] using a high-power ultrasound. Six PZT transducers were used in the investigation, each with a different setting, and the cores were damaged by precipitates. According to the research, ultrasound frequency was shown to be a crucial parameter in the removal of colloidal precipitation from damaged cores, and it cannot be set too low or too high. An ultrasound frequency of 25 kHz was observed to be ideal for an optimum operation; moreover, applying high ultrasound power could be a good strategy to further increase the efficiency of precipitate removal. As the sonication time is increased, the damaged core permeability improves due to the removal of precipitate clogging, as seen in Figure 7; 1000 W and 120 min were determined to be the optimal ultrasonic power and sonication time, respectively.

Figure 7.
How ultrasound affect the removal of colloidal precipitates in core (reprinted from Mo et al. [] Copyright 2020, LN 5341881386348, with permission from Elsevier).
Results also showed that a combined ultrasound and chemical technique is superior to chemical injection or ultrasound treatment alone. The authors speculated that the ultrasonic deplugging technique’s mechanism may be cavitation, mechanical vibration, or ultrasound-generated heat.
Ultrasound was employed in another investigation to remove a paraffin wax build-up in a plug []. Their outcome agreed with the works of [], demonstrating that ultrasonic frequency is the most essential factor in eliminating paraffin wax deposition plugs and that chemical agents and ultrasonic treatment methods for paraffin wax removal can have synergetic effects. The result of using an ultrasonic–chemical approach to remove paraffin wax deposition is superior to using a single chemical or ultrasonic method.
A study by Zhang et al. [] evaluated the impact of ultrasonic waves on the removal of calcium carbonate clogs in three core samples of varying permeability. Scale removal by ultrasound technique had a significant impact on cores depending on the ultrasound power, frequency, treatment period, and core permeability. When the ultrasound treatment period surpasses 60 min, the influence of the ultrasound parameters and core permeabilities diminishes. While chemical treatment of calcium carbonate clogs was shown to be more successful due to the hardness of the scale, the financial and environmental advantages of the ultrasound method surpass the chemical option.
The creation of emulsions during crude oil production is unavoidable []. Underground formation water may exceed 90% in oil reservoirs [], and the presence of turbulence during the flow of the water/oil mixture may generate crude oil emulsion. Asphaltenes, which are abundant in heavy oil reservoirs, may act as a natural surfactant leading to the formation of emulsions. Both water-in-oil emulsions and oil-in-water emulsions may be created by these surface-acting forces []. Other activities that create the environment for the formation of emulsion include EOR processes, gas lifting, waterflooding for pressure maintenance, and changes in reservoir temperature []. In any given scenario, emulsions may pose a difficulty during the production of oil. In situ formation of emulsions can inflict substantial restrictions on the flow of fluid in the reservoir because of an increase in fluid viscosity, and the emulsions themselves can plug the pores of the reservoirs, causing formation damage. These processes result in inconsistency in production performance, which will have a direct impact on profitability. Chemicals that have been used in the past to breakdown emulsions and remedy the problems can be toxic and environmentally unfriendly []. Although experimental studies on this subject are limited, some research works have been carried out as an indication that ultrasound may become an alternative to remedy emulsion problems during oil recovery. Dehydration tests, which take into account ultrasonic parameters and emulsion characteristics in their whole, were used to examine how to improve the ultrasonic separation of emulsions []. The findings indicated that the emulsion’s physical characteristics play an important role in the optimization of ultrasonic parameters during the separation of emulsions. More ultrasonic energy is needed to break a stable oil/water contact in emulsions with low interfacial tension at low frequencies (25.8 kHz), but at high frequencies (126.4 kHz), the interfacial characteristics do not influence the attenuation of ultrasonic energy. As a result, low frequency ultrasound was recommended for the separation of emulsions with high viscosity and high interfacial tension. The mechanism for ultrasonic separation of emulsions at low frequency was reported to be mechanical vibrations. The ultrasound-produced vibrations caused the droplets to collide and coalesce rapidly and also promoted the spread of surfactant on the oil/water contact to reduce interfacial tension. In addition, emulsion separation was caused by droplet aggregation and bandings in high frequency ultrasound treatment, and hence low dispersed phase content emulsions and tiny droplet sizes were suggested to be best separated using high frequency ultrasound.
Another study [] reported a unique technique for removing oil from oily water through the assistance of ultrasound at low frequency and without demulsifiers. Laboratory tests were carried out using glass Raschig rings and ultrasound containers with frequencies of 35, 45, and 130 kHz and at a temperature of 60 °C. An oil-in-water emulsion sample with an oil concentration of roughly 495 mg·dm−3 was successfully coalesced by ultrasonic treatment at 20 min of the treatment period, in the presence of glass Raschig rings, leading to 76.4%, 75.4%, and 63.2% reductions in oil concentration for ultrasonic frequencies of 35, 45 and 130 kHz, respectively. Even though it was discovered that extending the treatment period from 5 to 20 min decreased the oil concentration, the match between the findings at 15, 20 min and 35 and 45 kHz showed that the technique may be maximized by limiting the treatment period to 15 min to save time. A higher concentration of oil altered the action of the ultrasound since the emulsion sample with an oil concentration of 687 mg·dm3 reduced oil removal efficiency by 43.4%, 32.3%, and 50.1% at 35, 45, and 130 kHz, respectively. The findings implied that using ultrasound at a low frequency to separate oil-in-water emulsions in the presence of suitable rings is a viable approach.
Fabricated pipes incorporating ultrasound (frequency 20 kHz, power 80–1000 W) were used to test the demulsifying capability of ultrasonic fields in crude emulsions []. The effects of ultrasound intensities, ultrasound treatment duration, and crude oil–water concentration were studied to determine the percentage of water separation from prepared emulsion samples. Ultrasound intensities of 0.25, 0.5, 0.75 and 1 W/cm3 were applied to prepared crude emulsions containing 10, 15, 20 and 25% of water. All samples examined showed crude oil demulsification for all ultrasound intensities. Ultrasound water separation worked well and was quick, without the use of demulsifiers. The quantity of water that was separated from crude oil improved as the intensity of the ultrasound was raised. Long sonication intervals of roughly 5 min, however, resulted in a decrease in water separation, compared to experiments lasting for a duration of 2 min sonication in samples with a water concentration greater than 20%.
Lim et al. [] examined how the amplitude of ultrasonic waves affected the demulsification of crude emulsions at various temperatures. Water formation in crude oil emulsion is greatly influenced by amplitude change, whereas oil layer formation is influenced by crude oil temperature change, according to their experimental results and expert optimization. The best conditions for water and oil separation are a temperature of 60 °C, ultrasound amplitude of 40 µm, and ultrasound frequency of 20 kHz. A 73.3% water separation rate and a 20% oil layer volume fraction were achieved at 8 h of bottle testing under these conditions. After 8 h of bottle testing with ultrasonic irradiation, the crude oil emulsion did not separate.
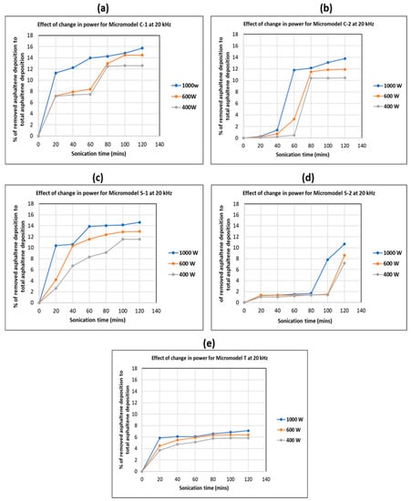
While ultrasound treatment of formation damage may be productive, some factors may deter or enhance the expected outcome. In a recent study, five 2D glass micromodels with varying pore shapes and sizes were used by Otumudia et al. [] to examine the effect of a change in pore shapes and sizes on the elimination of asphaltene deposition by ultrasonic waves. In their experiment, an acrylic glass container was filled with water to provide a favorable environment for the ultrasound to propagate at a frequency of 20 kHz and with variable power levels (from 100 to 1000 W). The influence of a change in pore shapes and sizes, as well as a change in the applied ultrasound power on the elimination of the asphaltene deposition in the micromodels, were assessed by a direct visualization process before, during, and after applying the ultrasound. It was found that the shapes and sizes of the pores in each micromodel affected how well ultrasonic treatment worked at different sonication times. They reported that increasing the ultrasonic power results in a larger percentage of removed asphaltene deposition for all five micromodels investigated, with the largest percentage of asphaltene deposition removal attained at a power of 1000 W. This is illustrated in Figure 8.

Figure 8.
Influence of ultrasonic power variation on the removal of asphaltene deposition under ultrasound in, (a) micromodel C-1, (b) micromodel C-2, (c) micromodel S-1, (d) micromodel S-2, and (e) micromodel T (reprinted from Otumudia et al. [] Copyright 2022, LN 5341891002605, with permission from Elsevier).
Ultrasound has often been used in combination with other technology to eliminate formation damage and augment oil recovery. To extract base oil from waste lubricant oil, ultrasound (24 kHz, 400 W) was combined with mechanical stirring. The synergy of this combination accelerated the extraction process, with yields of base oil recovery for ethanol (3.1%), propan-2-ol (25.6%), 2-methylpropan-1-ol (71.6%), and butan-1-ol (85.5%). Recoveries achieved solely from mechanical stirring were only 8.8, 28.9, 58.9 and 76.1% [].
Another study looked at whether ultrasonic and solid particles may work together to lower the viscosity of a crude oil sample []. The findings showed that the inclusion of metallic nickel particles increased the cavitation effect of ultrasound. While ultrasound treatment alone generated cavitation which reduced the viscosity of oil samples by 37.78%, the inclusion of the solid particles caused the viscosity of the oil sample to drop dramatically, with a reduction rate of up to 62.23%. Because of the synergistic cavitation impact of the metallic nickel solid particles, the asphaltene molecules in the oil experienced a cracking process and disintegrated into tiny molecular hydrocarbon compounds, causing further viscosity reduction.
A sonochemical approach for eliminating asphaltene deposits from a near wellbore was investigated by Xu and Bao []. According to the findings of their laboratory experiment, the impact of ultrasound on eliminating asphaltene deposition diminishes as the permeability of the core increases, as illustrated in Figure 9 Chemical treatment had a similar effect to ultrasound treatment, but the ultrasound solution offers the advantages of cheap cost and zero pollution. Due to the synergistic impact caused by ultrasound and chemical solution, the combined treatment effects of the ultrasound and chemical solution were substantially greater than the standalone treatment effects. The authors also reported that raising the ultrasonic power improves the deposit removal efficiency, while increasing the ultrasonic frequency reduces the ultrasound energy, making the treatment worse.

Figure 9.
Differences between using an ultrasound, chemical, or a combination of ultrasound and chemical removal technology to treat asphaltene deposition in cores (reprinted from Xu and Bao [] Copyright 2020, LN 5341900339555, with permission from Elsevier).
3. Observations
The research efforts presented in this work were conducted over the previous two years and used a range of ultrasonic frequency (from 15 to 150 kHz), an ultrasonic power range of 20 to 1000 W, and the length of ultrasound application was up to 330 min, among other parameters. According to the conclusions of the studies, the use of ultrasound reduces oil viscosity, alters wettability, increases the ability of oil to flow, and in turn improves oil recovery. Changes in ultrasonic amplitude have a substantial influence on the creation of water in a crude oil emulsion, and the improvement in permeability is related to the ultrasonic amplitude of the waves. Ultrasound treatment for better oil recovery is a technology that does not generate secondary pollution or affect casing integrity, all of which are advantages for continued production and environmental protection. According to the findings in the studies, the ultrasound method may also be used in conjunction with standard reservoir stimulation methods, such as chemical injection, to increase the rate of oil recovery. The authors postulated several ultrasonic mechanisms for improved oil recovery, such as cavitation, heat production, capillary pressure, and interfacial tension reduction. Low equipment costs, a prolonged effect on oil recovery, and good safety are additional benefits of the ultrasonic approach [,,]. A summary of the studies reviewed in this paper is shown in Table 1.

Table 1.
Summary of current investigations of ultrasonic waves in petroleum reservoirs.
Ultrasonic technologies for the remediation of reservoir formation damage and oil recovery improvement have some limitations. The consensus from the literature is that higher frequencies have shorter wavelengths, which limits how far the wave may penetrate the formation. However, no systematic experiment exists to determine the travel distance of ultrasonic waves into the formation at specific frequencies. While the application of waves may be beneficial to the elimination of near-wellbore damages, it is recommended that the attenuation of the waves as they travel into the formation, and therefore their impact on areas farther away from the near-wellbore region, be investigated before field deployment. In addition, ultrasonic power also has a considerable impact on the removal of formation damage, because increasing ultrasonic power improves the removal effect. Excessive power, on the other hand, might lead to sand production or formation fracture (particularly in unconsolidated reservoirs). As a result, a detailed assessment of the influence of ultrasonic power on the integrity of a formation is required to assess the danger of formation fracture when using excessive power.
High pressure and high temperatures are unmistakable characteristics of reservoir formations. Unlike the reviewed studies, it is suggested that laboratory experiments be enhanced to account for the behavior of ultrasonic waves under reservoir pressures and temperatures. Core-flood tests, which are typically safe, are often used to examine fluid flow in porous rocks. Hassler-type core holders may be built to provide radial pressure to core samples for core flooding tests in ultrasonic studies under realistic reservoir conditions. Additional ports may be added to the core holder design to accommodate ultrasonic horn-type transducers of different frequencies. Figure 10 shows a basic design of a hassler-type core holder incorporated with ultrasound. The device was designed for the authors by DCI Test Systems, based on the description of the authors. The ultrasonic horn will be connected to an ultrasonic generator, allowing core samples to be subjected to ultrasound at predetermined intervals. The confining pressure, core sizes, and type of fluid to be injected will all influence the design and material to be used.

Figure 10.
Hassler-type core holder with ultrasound (designed for the authors by DCI Test Systems).
Glass micromodel experiments, on the other hand, will allow for continuous real-time visualization of fluid flow processes throughout the experiment [,,], but an investigation under reservoir conditions will require glass that can withstand high temperatures. Because glass may not be able to resist excessive pressure, a confining cell for the glass may be required for safety purposes [] but adapted with ultrasound.
4. Conclusions
In this paper, we presented the most current laboratory experiments on improved oil recovery and formation damage remediation using ultrasonic waves. According to the reports, ultrasonic technology might be used to treat formation damage and increase oil recovery in subsurface oil reservoirs. Vibrations, bubble cavitation, and friction produced by ultrasound can prevent coagulation of heavy oils, and measurements revealed that ultrasonic irradiation can reduce the viscosity of heavy oil by up to 86%. The heat created by prolonged sonication might also reduce the viscosities of emulsion and aid emulsion rupture. Pore deformation created by ultrasound can lead to an increase in oil recovery and the restoration of damaged formations. This review study is intended to serve as part of a starting point for future research on the utilization of ultrasound for oil recovery purposes and the treatment of formation damage in petroleum reservoirs.
Author Contributions
E.O. Conceptualization, Methodology, Validation, Formal Analysis, Investigation, Resources, Writing—Original Draft Preparation, Writing—Review and Editing, Visualization, Supervision, Project Administration. H.H. Conceptualization, Methodology, Validation, Formal Analysis, Investigation, Resources, Writing—Review and Editing, Visualization, Supervision, Project Administration. P.J. Conceptualization, Writing—Review and Editing, Supervision. K.W. Conceptualization, Writing—Review and Editing, Supervision. All authors have read and agreed to the published version of the manuscript.
Funding
This work was funded by Tertiary Education Trust Fund–TETFund of Nigeria (grant number RG14381-10) through the award of a PhD scholarship to E.O.
Institutional Review Board Statement
Not applicable.
Informed Consent Statement
Not applicable.
Data Availability Statement
Not applicable.
Acknowledgments
E.O. gratefully acknowledges the financial support of the Tertiary Education Trust Fund–TETFund through the award of a PhD scholarship. The University of Aberdeen UK provided the necessary tools for this research, which the authors are thankful for. DCI Test Systems assisted the authors in the design of the Hassler type core holder, and the same can be fabricated by the company.
Conflicts of Interest
The authors declare no conflict of interest. The funders had no role in the design of the study; in the collection, analyses, or interpretation of data; in the writing of the manuscript, or in the decision to publish the results.
References
- Razavifar, M.; Qajar, J.; Riazi, M. Experimental study on pore-scale mechanisms of ultrasonic-assisted heavy oil recovery with solvent effects. J. Pet. Sci. Eng. 2022, 214, 110553. [Google Scholar] [CrossRef]
- Otumudia, E.; Hamidi, H.; Jadhawar, P.; Wu, K. Effects of reservoir rock pore geometries and ultrasonic parameters on the removal of asphaltene deposition under ultrasonic waves. Ultrason. Sonochem. 2022, 83, 105949. [Google Scholar] [CrossRef] [PubMed]
- Hamidi, H.; Sharifi Haddad, A.; Otumudia, E.W.; Rafati, R.; Mohammadian, E.; Azdarpour, A.; Giles Pilcher, W.; Wilhelm Fuehrmann, P.; Ricardo Sosa, L.; Cota, N.; et al. Recent applications of ultrasonic waves in improved oil recovery: A review of techniques and results. Ultrasonics 2021, 110, 106288. [Google Scholar] [CrossRef]
- Wang, Z.; Zeng, J.; Song, H.; Li, F. Research on ultrasonic excitation for the removal of drilling fluid plug, paraffin deposition plug, polymer plug and inorganic scale plug for near-well ultrasonic processing technology. Ultrason. Sonochem. 2017, 36, 162–167. [Google Scholar] [CrossRef]
- Meribout, M. On Using Ultrasonic-assisted Enhanced Oil Recovery (EOR): Recent Practical Achievements and Future Prospects. IEEE Access 2018, 6, 51110–51118. [Google Scholar] [CrossRef]
- Mohsin, M.; Meribout, M. An extended model for ultrasonic-based enhanced oil recovery with experimental validation. Ultrason. Sonochem. 2015, 23, 413–423. [Google Scholar] [CrossRef] [PubMed]
- Sikiru, S.; Rostami, A.; Soleimani, H.; Yahya, N.; Afeez, Y.; Aliu, O.; Yusuf, J.Y.; Oladosu, T.L. Graphene: Outlook in the enhance oil recovery (EOR). J. Mol. Liq. 2021, 321, 114519. [Google Scholar] [CrossRef]
- Sikiru, S.; Yahya, N.; Soleimani, H.; Ali, A.M.; Afeez, Y. Impact of ionic-electromagnetic field interaction on Maxwell-Wagner polarization in porous medium. J. Mol. Liq. 2020, 318, 114039. [Google Scholar] [CrossRef]
- Li, X.; Pu, C.; Chen, X.; Huang, F.; Zheng, H. Study on frequency optimization and mechanism of ultrasonic waves assisting water flooding in low-permeability reservoirs. Ultrason. Sonochem. 2021, 70, 105291. [Google Scholar] [CrossRef]
- Lv, S.; Peng, S.; Zhang, R.; Guo, Z.; Du, W.; Zhang, J.; Chen, G. Viscosity Reduction of Heavy Oil by Ultrasonic. Pet. Chem. 2020, 60, 998–1002. [Google Scholar]
- Hua, Q. Experimental Studies on Viscosity Reduction of Heavy Crude Oil by Ultrasonic Irradiation. Acoust. Phys. 2020, 66, 495–500. [Google Scholar]
- Li, X.; Pu, C.; Chen, X. A novel foam system stabilized by hydroxylated multiwalled carbon nanotubes for enhanced oil recovery: Preparation, characterization and evaluation. Colloids Surf. Physicochem. Eng. Aspects 2022, 632, 127804. [Google Scholar] [CrossRef]
- Taherynia, M.H.; Fatemi Aghda, S.M.; Fahimifar, A. Effects of ultrasonic waves on water imbibition into oil-wet carbonate reservoirs (a case study). Petrol. Sci. Technol. 2022, 1–16. [Google Scholar] [CrossRef]
- Agi, A.; Junin, R.; Arsad, A.; Abbas, A.; Gbadamosi, A.; Azli, N.B.; Oseh, J. Ultrasound-assisted weak-acid hydrolysis of crystalline starch nanoparticles for chemical enhanced oil recovery. Int. J. Biol. Macromol. 2020, 148, 1251–1271. [Google Scholar] [CrossRef] [PubMed]
- Wang, H.; Tian, L.; Zhang, K.; Liu, Z.; Huang, C.; Jiang, L.; Chai, X. How Is Ultrasonic-Assisted CO2 EOR to Unlock Oils from Unconventional Reservoirs? Sustainability 2021, 13, 10010. [Google Scholar] [CrossRef]
- Li, X.; Zhang, J.; Wu, C.; Hong, T.; Zheng, Y.; Li, C.; Li, B.; Li, R.; Wang, Y.; Liu, X.; et al. Experimental Research on the Effect of Ultrasonic Waves on the Adsorption, Desorption, and Seepage Characteristics of Shale Gas. ACS Omega 2021, 6, 17002–17018. [Google Scholar] [CrossRef]
- Tahmasebi Boldaji, R.; Rajabi Kuyakhi, H.; Tahmasebi Boldaji, N.; Rajabzadeh, M.; Rashidi, S.; Torki, M.; Ghazanfari, S. A comparative study of mathematical and ANFIS models to determine the effect of ultrasonic waves on the viscosity of crude oil. Petrol. Sci. Technol. 2022, 40, 150–165. [Google Scholar] [CrossRef]
- Kamkar, A.; Hosseini, H.; Norouzi-Apourvari, S.; Schaffie, M. Insight into the Synergic Effect of Ultrasonic Waves, SDS Surfactant, and Silica Nanoparticles on Wettability Alteration of Carbonate Rocks. Arab. J. Sci. Eng. 2021, in press. [Google Scholar] [CrossRef]
- Razavifar, M.; Qajar, J. Experimental investigation of the ultrasonic wave effects on the viscosity and thermal behaviour of an asphaltenic crude oil. Chem. Eng. Processing-Process Intensif. 2020, 153, 107964. [Google Scholar] [CrossRef]
- Luo, X.; Gong, H.; He, Z.; Zhang, P.; He, L. Research on mechanism and characteristics of oil recovery from oily sludge in ultrasonic fields. J. Hazard. Mater. 2020, 399, 123137. [Google Scholar] [CrossRef]
- Li, Z.; Xu, D.; Yuan, Y.; Wu, H.; Hou, J.; Kang, W.; Bai, B. Advances of spontaneous emulsification and its important applications in enhanced oil recovery process. Adv. Colloid Interface Sci. 2020, 277, 102119. [Google Scholar] [CrossRef] [PubMed]
- Vahdanikia, N.; Divandari, H.; Hemmati-Sarapardeh, A.; Nait Amar, M.; Schaffie, M.; Ranjbar, M. Integrating new emerging technologies for enhanced oil recovery: Ultrasonic, microorganism, and emulsion. J. Pet. Sci. Eng. 2020, 192, 107229. [Google Scholar] [CrossRef]
- Adeyemi, I.; Meribout, M.; Khezzar, L. Recent developments, challenges, and prospects of ultrasound-assisted oil technologies. Ultrason. Sonochem. 2022, 82, 105902. [Google Scholar] [CrossRef]
- Yeh, H.; Juárez, J.J. Ultrasound-enhanced diffusion and streaming of colloids in porous media. Exp. Therm. Fluid Sci. 2021, 121, 110282. [Google Scholar] [CrossRef]
- Rezaeizadeh, M.; Hajiabadi, S.H.; Aghaei, H.; Blunt, M.J. Pore-scale analysis of formation damage; A review of existing digital and analytical approaches. Adv. Colloid Interface Sci. 2021, 288, 102345. [Google Scholar] [CrossRef]
- Wang, F.; Yang, H.; Jiang, H.; Kang, X.; Hou, X.; Wang, T.; Zhou, B.; Sarsenbekuly, B.; Kang, W. Formation mechanism and location distribution of blockage during polymer flooding. J. Pet. Sci. Eng. 2020, 194, 107503. [Google Scholar] [CrossRef]
- Karami, S.; Saeedi Dehaghani, A.H.; Hossein Seyed Mousavi, S.A. Condensate blockage removal using microwave and ultrasonic waves: Discussion on rock mechanical and electrical properties. J. Pet. Sci. Eng. 2020, 193, 107309. [Google Scholar] [CrossRef]
- Ainuddin, A.; Abdul Aziz, N.A.; Mohamed Soom, N.A.A. Condensate banking removal: Study on ultrasonic amplitude effect. J. Pet. Explor. Prod. Technol. 2021, 11, 3559–3569. [Google Scholar] [CrossRef]
- Mo, L.; Sun, W.; Jiang, S.; Zhao, X.; Ma, H.; Liu, B.; Feng, L. Removal of colloidal precipitation plugging with high-power ultrasound. Ultrason. Sonochem. 2020, 69, 105259. [Google Scholar] [CrossRef]
- Zhou, L.; Wang, Z. A comparison study on the removal of paraffin wax deposition plug by ultrasound treatment, chemical demulsifier and combination of ultrasound and chemical demulsifier. Pet. Sci. Technol. 2020, 38, 690–697. [Google Scholar] [CrossRef]
- Zhang, X.; Zang, C.; Ma, H.; Wang, Z. Study on removing calcium carbonate plug from near wellbore by high-power ultrasonic treatment. Ultrason. Sonochem. 2020, 62, 104515. [Google Scholar] [CrossRef] [PubMed]
- Alshaafi, E.A.; Prakash, A.; Mercer, S.M. Ultrasonic technique for tracking oil-water emulsion layer in separation vessels. J. Pet. Sci. Eng. 2020, 184, 106591. [Google Scholar] [CrossRef]
- Adeyanju, O.A.; Adeosun, A.B. The Effect of Centrifuge on the Demulsification of Water-in-Oil Emulsion. J. Nat. Sci. Sustain. Technol. 2021, 15, 219–236. [Google Scholar]
- Kokal, S.; Wingrove, M. Emulsion Separation Index: From Laboratory to Field Case Studies. In Proceedings of the SPE Annual Technical Conference and Exhibition, Dallas, TX, USA, 1–4 October 2000. [Google Scholar]
- Pal, B.; Kumar, R.; Naiya, T.K. Demulsification of crude oil-water emulsion using naturally formulated demulsifier. Pet. Sci. Technol. 2021, 39, 1027–1042. [Google Scholar] [CrossRef]
- Luo, X.; Gong, H.; Yin, H.; He, Z.; He, L. Optimization of acoustic parameters for ultrasonic separation of emulsions with different physical properties. Ultrason. Sonochem. 2020, 68, 105221. [Google Scholar] [CrossRef]
- Ronchi, R.P.; Negris, L.; Melo, B.N.; Pereira, L.S.F.; Vicente, M.A.; Flores, E.M.M.; Santos, M.d.F.P. Removal of oil from synthetic heavy crude oil-in-water emulsions by the association of glass raschig rings and ultrasound. J. Dispersion Sci. Technol. 2022, 43, 22–32. [Google Scholar] [CrossRef]
- Sadatshojaie, A.; Wood, D.A.; Jokar, S.M.; Rahimpour, M.R. Applying ultrasonic fields to separate water contained in medium-gravity crude oil emulsions and determining crude oil adhesion coefficients. Ultrason. Sonochem. 2021, 70, 105303. [Google Scholar] [CrossRef]
- Lim, C.H.; Sulaiman, S.A.; Japper-Jaafar, A.; Bhaskoro, P.T. Study on the effect of ultrasonic wave amplitude on de-emulsification of crude oil to enhance production process. In IOP Conference Series: Materials Science and Engineering; IOP Publishing: Kuantan, Malaysia, 2020; Volume 863, p. 12004. [Google Scholar]
- Lins, T.S.; Pisoler, G.; Druzian, G.T.; Negris, L.; Decote, P.A.P.; Vicente, M.A.; Flores, E.M.M.; Santos, M.F.P. Base oil recovery from waste lubricant oil by polar solvent extraction intensified by ultrasound. Environ. Sci. Pollut. Res. 2021, 28, 66000–66011. [Google Scholar] [CrossRef]
- Cui, J.; Zhang, Z.; Liu, X.; Liu, L.; Peng, J. Analysis of the viscosity reduction of crude oil with nano-Ni catalyst by acoustic cavitation. Fuel 2020, 275, 117976. [Google Scholar] [CrossRef]
- Xu, X.; Bao, T. Research on the removal of near-well blockage caused by asphaltene deposition using sonochemical method. Ultrason. Sonochem. 2020, 64, 104918. [Google Scholar] [CrossRef]
- Luo, X.; Gong, H.; He, Z.; Zhang, P.; He, L. Recent advances in applications of power ultrasound for petroleum industry. Ultrason. Sonochem. 2021, 70, 105337. [Google Scholar] [CrossRef] [PubMed]
- Zhu, L.; Lyu, W.; Yang, P.; Wang, Z. Effect of ultrasound on the flocculation-sedimentation and thickening of unclassified tailings. Ultrason. Sonochem. 2020, 66, 104984. [Google Scholar] [CrossRef] [PubMed]
- Hematpur, H.; Abdollahi, R.; Safari-Beidokhti, M.; Esfandyari, H. Experimental Microemulsion Flooding Study to Increase Low Viscosity Oil Recovery Using Glass Micromodel. Math. Probl. Eng. 2021, 2021, 5021868. [Google Scholar] [CrossRef]
- Kashiri, R.; Kalantariasl, A.; Parsaei, R.; Zeinijahromi, A. Experimental Study of the Effect of Clay and Oil Polarity on Oil Recovery by Low Salinity Water Flooding Using Glass Micromodel. Nat. Resour. Res. 2021, 30, 3695–3716. [Google Scholar] [CrossRef]
- Liu, Y.; Block, E.; Squier, J.; Oakey, J. Investigating low salinity waterflooding via glass micromodels with triangular pore-throat architectures. Fuel 2021, 283, 119264. [Google Scholar] [CrossRef] [PubMed]
- Robin, M.; Behot, J.; Sygouni, V. CO2 Injection in Porous Media: Observations un Glass Micromodels Under Reservoir Conditions. In Proceedings of the SPE Improved Oil Recovery Symposium, Tulsa, OK, USA, 14–18 April 2012. [Google Scholar]
Publisher’s Note: MDPI stays neutral with regard to jurisdictional claims in published maps and institutional affiliations. |
© 2022 by the authors. Licensee MDPI, Basel, Switzerland. This article is an open access article distributed under the terms and conditions of the Creative Commons Attribution (CC BY) license (https://creativecommons.org/licenses/by/4.0/).