Next Article in Journal
Fast Pyrolysis Oil Upgrading via HDO with Fe-Promoted Nb2O5-Supported Pd-Based Catalysts
Previous Article in Journal
An Accurate Evaluation of Switching Impulse Voltages for High-Voltage Tests
 
 
Font Type:
Arial Georgia Verdana
Font Size:
Aa Aa Aa
Line Spacing:
Column Width:
Background:
Article

Study on Crack Penetration Induced by Fatigue Damage of Low Permeability Coal Seam under Cyclic Loading

1
College of Mining Engineering, Guizhou University, Guiyang 550025, China
2
The National Joint Engineering Laboratory for the Utilization of Dominant Mineral Resources in Karst Mountain Area, Guizhou University, Guiyang 550025, China
*
Author to whom correspondence should be addressed.
Energies 2022, 15(13), 4761; https://doi.org/10.3390/en15134761
Submission received: 30 April 2022 / Revised: 11 June 2022 / Accepted: 20 June 2022 / Published: 29 June 2022

Abstract

:
For low permeability coal seam permeability is weak, low degree of gas migration, prone to gas accidents and other issues. In this paper, a numerical model is established to simulate the process of hydraulic fracturing under monotonic loading and cyclic loading, and a method of increasing permeability of coal seam by cyclic loading hydraulic fracturing technology is proposed. Combined with similar experiments, the influence of cyclic load and cyclic load applied parameters on the fracturing effect of coal and rock mass was analyzed by applying a cyclic load with a pulse pump. The effect of cyclic load pressure technology on coal seam drainage was analyzed by application in 20915 gas control roadways of a coal mine in Guizhou. The results show that after fracturing, the fracture extends along the weak plane of the prefabricated fracture, the pore pressure in the fracture is high pressure, and the pore pressure around the fracture decreases step by step. Due to the compression of the crack, the energy is transferred to the two ends of the crack. The pore pressure has an irregular oval distribution, and there is stress concentration. The pressure value reaches 41.48 MPa. After the cyclic load was applied to the model, the pressure reached the maximum value of 27.64 MPa at 3.37 s. Compared with the monotonic load, the pressure value was reduced by 46.27%. Through pressure and ringing analysis, the fatigue damage of specimens can be realized under cyclic loading. In the experiment, the unconstrained initiation pressure was 2.48 MPa, but after the constraint was applied, the initiation pressure increased to 4.58 MPa, and the pressure increase reached about 55%. After multiple loading and unloading, the peak pressure of the specimen can be reduced and the number of cracks can be increased. In the experiment, the gas extraction rate of ordinary drilling was maintained at about 0.019 m3/min, and the gas extraction rate of ordinary fracturing drilling fluctuated at 0.025 m3/min after 21 days of gas extraction. The pumping capacity of 15 Hz and 20 Hz cyclic loading fracturing boreholes tended to be stable after 15 days, which were about 0.041 m3/min and 0.062 m3/min, respectively. Cyclic loading hydraulic fracturing is better than monotonic loading hydraulic fracturing, and the lower the cyclic loading frequency, the better the fracturing effect.

1. Introduction

More than 70% of coal-bearing strata in China are low-permeability coal seams, and their gas permeability is generally 0.1~10 md (2–3 orders of magnitude different from that of the Black Warriors Basin in the United States) [1,2,3,4,5]. In addition, gas is free in the coal seam fracture system, and exists in the adsorption state on the pore and fracture surface. More than 90% of the gas is adsorbed in the coal matrix block. The adsorbed methane reduces the channel of gas migration and reduces the permeability of methane in the coal seam [6,7,8,9,10,11,12]. Therefore, it is of great significance for the prevention and control of coal mine gas accidents in China to realize the efficient extraction of low-permeability coal seam gas.
At present, in increasing the permeability of coal seam, there are usually two categories: extra-layer measures and in-layer measures. Out-of-layer measures are regional measures, generally using the method of mining protective layer pressure relief and permeability enhancement [13,14,15,16]. In the case of being unable to carry out measures outside the layer, measures inside the layer are the inevitable choice. Hydraulic fracturing involves injecting high-pressure liquid into coal and rock mass, destroying the internal structure of coal and rock mass, forming a fracture network, and thereby accelerating the flow of gas. It is an effective coal seam permeability enhancement technology [17,18,19,20,21,22,23,24].
Some scholars use the finite element method [25], boundary element method [26], extended finite element method [27], and other numerical analysis methods to establish a plane model to imitate the development of coal and rock fractures in the process of hydraulic fracturing, which has been widely used.
Li [28] found that increasing the injection rate has a great influence on the vertical fracture shape of coal and rock by simulating the hydraulic fracturing process of a naturally fractured reservoir. Bi [29] used a GPD model to simulate the initiation, propagation, and combination of the fracturing process, but ignored the influence of anisotropy coefficient caused by surrounding rock stress. Liu et al. [30] found that the expansion of hydraulic fracture changes with the previous cracks, and that the effective stress is the main factor affecting the expansion of hydraulic fracturing. Zheng et al. [31] used the block discrete element method to study the viscosity and injection rate of different fracturing fluids, and found that high viscosity and high injection rate were conducive to the generation of hydraulic slotting in the penetrating layer. Yu et al. [32] studied the anisotropic angle of shale and injection rate on the fracture propagation without confining pressure, and found that the anisotropic angle was nonlinearly correlated with the breakdown pressure of shale. Patel et al. [33] proposed a new method of pre-breakdown cyclic jet hydraulic fracturing, which can increase the damage area around the hydraulic fracturing. Jia et al. [34] found that the hydraulic fractures generated by cyclic injection have high fracture curvature, which is helpful for the fatigue mechanism of rock decomposition. Liu et al. [35] also conducted triaxial hydraulic fracturing tests under different cycle durations and injection rates, determined the influence of key cycle hydraulic fracturing parameters on hydraulic fracturing causes and fracture propagation, and proposed a multistage alternate injection fracturing method for HDR.
Previous studies on hydraulic fracturing mostly consider the factors of coal and rock mass itself. Under cyclic loading, coal and rock mass not only exhibit elastic and plastic deformation, but also rheology. The damage process is extremely complex, and the damage mechanism needs to be further explored.
This paper intends to further determine the effect of anti-reflection in the process of fatigue damage by applying a cyclic load on the rock specimen and analyzing the change of frequency and amplitude. Herein, the feasibility of increasing permeability of low-permeability coal seam under a cyclic load is verified by experiments.

2. Coal Rock Fracturing Theory

2.1. Fracture Mechanics Model of Coal–Rock Mass under Monotonic Loading

Figure 1 shows the damage-cracking mechanical model of coal around a borehole under monotonic loading. The borehole is subjected to expansion force Pw, and the surrounding rock around the borehole is subjected to horizontal principal stresses σ1 and σ3.
According to the drilling force model, the calculation formula of coal rock burst pressure is as follows:
σ θ = σ 1 + σ 3 2 ( 1 + R 0 2 r 2 ) + σ 1 σ 3 2 ( 1 + 3 R 0 4 r 4 ) cos 2 θ + T P w R 0 2 r 2
where σθ is tangential stress (MPa); σ1 and σ3 are maximum principal stress and minimum principal stress, respectively (MPa); T is tensile strength of coal and rock mass (MPa); Pw is the expansion pressure in the hole (MPa); R0 and r represent borehole radius and distance from center, respectively (m); θ is the angle of the line between any point on the borehole wall rock and the axis relative to the horizontal direction (°).
When σθ = 0, the calculation formula of initiation pressure is obtained:
P w = σ 1 + σ 3 2 ( r 2 R 0 2 + 1 ) + σ 1 σ 3 2 ( r 2 R 0 2 + 3 R 0 2 r 2 ) cos 2 θ + T r 2 R 0 2
The formula for calculating the initiation pressure at the hole wall position r = R0 is as follows:
P w = ( σ 1 + σ 3 ) + 2 ( σ 1 σ 3 ) cos 2 θ + T
There is a direction θ = 90° and cos2θ = −1 around the borehole, that is, along the direction parallel to the maximum principal stress, and the initiation pressure in the loading process is minimized. Therefore, the formula for calculating the minimum initiation pressure is
P w = T + 3 σ 3 σ 1

2.2. Fracture Theory of Coal under Monotonic Loading

The damage constitutive relation is established according to the damage mechanics theory:
[ σ ] = [ σ * ] [ I D ] = [ C ] [ ε ] [ 1 D ]
where [C] is the material elasticity matrix, D is the damage variable under monotonic load, I is the unit matrix, [σ] is the stress matrix, [σ*] is the effective stress matrix, and [ε] is the strain matrix.
According to the damage constitutive relation (5), the functional relation between volume strain εv and damage degree D can be established.
Firstly, assuming that the micro-element strength follows Weibull distribution, the damage evolution equation is deduced:
P ( F ) = m F 0 ( F F 0 ) m 1 exp [ ( F F 0 ) m ]
where F is a random distribution variable of the strength of the element (the strength of the element usually follows a certain strength criterion) and m and F0 are Weibull distribution parameters (F0 reflects the macroscopic average strength of rock and m reflects the concentration of rock element strength distribution).
It can be seen from Equation (6) that the characteristic parameters of coal damage include many physical quantities. It is necessary to test the elastic modulus E, Poisson’s ratio μ, internal friction angle φ, cohesion C, the horizontal stresses σ1 and σ3, and the expansion pressure Pw. At the same time, the AE signal in the crack initiation process and the phenomenological method are recorded to describe the crack development characteristics.
Secondly, the damage degree D of coal and rock mass under monotonic loading is solved.
The damage degree D is the ratio of the number of damaged micro-elements Ni to the total number of micro-elements N. In any strength interval [F, F + dF], the number of damaged micro-elements is NP (y) dy. Through integration, the function expression of damage variable Ddi can be calculated:
D = N f N = 0 F N P ( y ) d y N = 1 exp [ ( F F 0 ) m ]

2.3. Fatigue Damage Cracking Theory of Coal under Cyclic Loading

The damage evolution equation in a three-dimensional stress environment is established [36]:
D i = 1 ( 1 ( N i N f i ) α ) β
where Di is the crack damage degree of level i, Ni is the number of cycles for stage i cyclic loading, Nfi is the number of cycles when the first crack reaches fatigue damage, and α and β are material parameters.
The internal damage process of coal under cyclic loading can be described by the macroscopic quantity of cumulative acoustic emission:
D j = N j N m j
where Nj is the cumulative number of acoustic emission events for level j cracking and Nmj is the total number of acoustic emission produced at stage j cracking.
According to the Formulas (8) and (9), when I = j, Di = Dj, combined with acoustic emission data, the material parameters α and β can be solved by software calculation; that is, the damage evolution equation is established.
The total damage degree under cyclic loading is obtained by summing up the damage degree in each region:
D = 1 N D i
From Formulas (8)–(10), the functional relationship between the crack damage degree of each stage and the total damage degree can be obtained, so as to reveal the crack mechanism of fatigue damage.

2.4. Mathematical Model of Fluid–Solid Coupling

2.4.1. Effective Stress of Porous Media

When the boundary of porous media is deformed by an external load, the solid skeleton will generate effective stress at the contact surface. In porous media, the pore fluid is sufficient to bear this, as well as part of the external load, so the external load will be jointly borne by the stress and the fluid force borne by the solid. The study on the interaction between pore pressure and external load is the basis of the effective stress principle, whose expression [37] is
σ H = σ h [ s w p w + ( 1 s w ) p n m ] I r
where σH is effective stress (Pa), σh is the total stress (Pa) sw is the wetting phase saturation (dimensionless), pw is the pressure of the wetting phase (Pa), pnw is the pressure of the non-wetting phase (Pa), and Ir [1, 1, 1, 0, 0, 0]T is the unit matrix.
In order to further simplify the calculation model in the process of hydraulic fracturing, it is assumed that the non-wetting phase pressure in the whole model remains constant and is relatively much smaller than the wetting phase pressure, so pnw can be ignored. When the reservoir is fully saturated (sw = 0), the expression of effective stress principle is simplified as follows:
σ H = σ p n m I r

2.4.2. Control Equation of Solid Particles in Porous Media

The process of hydraulic fracturing will change the stress field of rock in the formation. For porous media such as rock, its stress balance. The equation can be described by the principle of virtual work: the virtual work of rock within a fixed time is equal to the physical force acting on the whole rock and the superposition of virtual work generated by surface force [38].
The equilibrium equation of rock mass medium is [39]
V ( σ h p n w I r ) δ ε d V = s t · δ v δ ε d S + V f · δ v d V
where δε is a virtual strain rate matrix (s−1), t is a surface force matrix (N/m2), δv is a virtual velocity matrix (m/s), f is a physical matrix (N/m3), and dV is the unit (m3).

2.4.3. Control Equation of Fluid in Porous Media

According to the principle of mass conservation, the change of fluid mass in a unit within a unit of time is equal to the difference of fluid mass flowing in and out of the unit. The classical Darcy’s law can be used for the flow relationship of fluid in rocks, whose specific expression is
v w = 1 n μ r K · ( P w ρ w g )
where vw is seepage velocity vector (m/s), n is porosity, μr is fluid viscosity (mPa), K is permeability tensor (mD), ρω is fluid density (kg/m3), and g is the gravity acceleration vector (m/s2).
According to Gauss’ formula, the continuity equation of fluid medium is [40]
V δ V 1 J d d t ( J ρ ω n ω ) d V + V δ v χ ( ρ ω n ω v ω ) d V = 0
where J is the volume change rate of the porous medium (dimensionless), nω is the ratio of fluid volume to total volume (dimensionless), χ is the space vector (m), dt is the time increment step (s), and νω is seepage velocity (m/s).

2.4.4. Finite Element Discretization Method in ABAQUS

Define the function [41] as
{ μ r = N μ μ ¯ ε = B μ ¯ p 0 = N p p ¯ 0
where Nμ and B is the defined function vector matrix, μ ¯ is element node displacement, p0 is the pore pressure of unit node, and Np is a shape function.
V a T A ¯ d V + S b T B ¯ d S = 0
where A ¯ is the control equation and B ¯ is the continuous boundary equation.
The solid-state finite element equation can be obtained by substituting Equation (16) into Equation (13):
K d u ¯ d t + C r d p ¯ 0 d t = d f d t
The continuity equation and boundary condition are moved to zero on the right side, and the Galerkin method is used to multiply the left side of the equation. Replace (17) with A ¯ and B ¯ , replace (17) with the form function constructed by ε and p0 in (16), and let a = −b; then, the deformation is simplified as
E d u ¯ d t + F P ¯ 0 + G d p ¯ 0 d t = f ¯
The stress-seepage coupling Equation (20) can be obtained by simultaneous Equations (18) and (19). For the setting area, the distribution law of corresponding parameters can be obtained by solving the finite element solver in ABAQUS:
[ K C r E G ] d d t { u ¯ p ¯ 0 } + [ 0 0 0 F r ] { u ¯ p ¯ 0 } = { d d t f ¯ }
with
K = V B T D e p B d V
C r = V B T D e p m ( s 0 + ξ p 0 ) 3 K s N p d V V B T ( s 0 + ξ p 0 ) m N p d V
E = V N p T [ s 0 ( m T m T D e p 3 K s ) B ] d V
F r = V ( N p ) T k k r N p d V
G = V N p T { s 0 [ ( 1 n K s m T D e p m ( 3 K s ) 2 ) ] · ( s 0 + ξ p 0 ) + ξ n + n s 0 K 0 } N p d V
d f = V N u T d f d V + S N u T d τ d S
f ¯ = s N u T q 0 b d S V ( N p ) T k k r g d v
where q0b is the fluid flow on the boundary and k is the permeability coefficient tensor.

3. Numerical Simulations

3.1. Fundamental Model

Based on the ABAQUS extended finite element method, combined with the basic parameters of the model, (see Table 1), a two-dimensional numerical model of 200 × 200 mm fracturing was established. There are 27,565 units in the model, and drilling is carried out in the middle of the model. The diameter of the drilling is 20 mm, as shown in Figure 2. The 8 MPa vertical stress and 4 MPa horizontal stress were applied around the initial model, and the fixed boundary was set to prevent the movement of the model during fracturing, so as to simulate the propagation and development law of prefabricated cracks in the model during fracturing. The material parameters of numerical simulation were measured by experiments, and the external stress was simply calculated by the burial depth of the engineering test site.

3.2. The Initiation Change of Monotonic Load on Prefabricated Cracks

By establishing a numerical model, the calculation time of the design model is 100 s, and the increment is 10,000 steps [42]. The pore pressure distribution and fracture width cloud map of each time period were obtained.
Figure 3a shows that after fracturing, the fracture extends along the direction of the prefabricated fracture, the pore pressure in the fracture presents a high pressure state, and the pore pressure around the fracture decreases step by step. At both ends of the crack, the pore pressure has an irregular oval distribution, and stress concentration occurs; the pressure value reaches 41.48 MPa. This is due to the formation of fluid pressure transmission in the fracture, which makes the pressure around the fracture generally increase. When the crack extends to the boundary of the model, the pressure in the crack tip decreases obviously and eventually tends to balance. There is no obvious downward trend of pressure in the borehole center, and the state of high stress is maintained due to the propagation of injected high-pressure fluid in the borehole center, as shown in Figure 3b.
It can be seen from Figure 4 that the central part of the crack is the widest, and the crack tip crack width decreases gradually in the direction of crack development. This is consistent with the pore pressure distribution in Figure 3, mainly due to the permeability difference and tensile strength difference between the reservoir and the interlayer. The fracturing fluid enters the reservoir from the injection point, and then gradually penetrates into the interlayer. At this time, the permeability difference of the interlayer hinders the seepage of the fracturing fluid. At the same time, the tensile strength of the interlayer is greater than that of the reservoir, the crack initiation is more difficult, and the crack will extend along the direction of the fracture length. When the water pressure in the borehole continues to increase, the crack further turns to the direction of the maximum principal stress. At this time, the deflection of the crack is mostly affected by the shear stress, and the crack presents a symmetrical distribution in the ideal state. With an increase in time, the length and width of the crack increase significantly, and the maximum compressive stress still appears in the crack initiation part. In Figure 4b, the direction given by the upper left corner crack is below the end-biased model, which may be caused by the boundary size of the square model.

3.3. The Influence of Cyclic Load on Fracture Morphology

In order to further understand the influence of cyclic loading on the fracturing effect of the model, the simulated water pressure loading mode was modified. The load was selected by a sawtooth wave function and the cycle period was set to 10 steps [43]. By applying cyclic load to the model and monitoring the same position, the pore pressure distribution and fracture width variation diagram of the drilling center are obtained, as shown in Figure 5.
It can be seen from Figure 5a that after the cyclic loading is applied to the model, the change trend of the pore pressure curve is similar to that of the monotonic loading, but the pore pressure curve after the cyclic loading exhibited five obvious small-range amplitudes compared with the monotonic loading. The pressure reached the maximum value of 27.64 MPa at 3.37 s. Compared with the monotonic load, the pressure value was reduced by 46.27%, and the crack initiation time of the model was also about 3 s earlier, indicating that multiple loading and unloading of the pressure at the injection point of the model can reduce the pressure at the crack initiation of the model. After the pore pressure reached the peak value, it rapidly decreased to about 21.48 MPa, and then the pressure continued to fluctuate downward, gradually decreasing and eventually tended to be flat. The development of cracks is basically consistent with the monotonic load. At the crack initiation time, the crack width increases rapidly to about 0.0021 m, and then the change of crack width is not obvious.

3.4. The Influence of Different Confining Pressures on Pore Pressure

Under the action of surrounding rock stress, the pores and fissures of coal and rock mass will be compacted. The peak strength and elastic modulus of coal and rock mass increase with the increase in confining pressure, which enhances the ability of coal and rock mass to resist damage, and changes the pore pressure of coal and rock mass during fracturing, thus affecting the initiation pressure of coal and rock mass. In order to explore the influence of surrounding rock stress on the pore pressure of the model, six groups of surrounding rock stress of 0, 2, 4, 6, 8, and 10 MPa were applied to the model; the simulation results are shown in Figure 6.
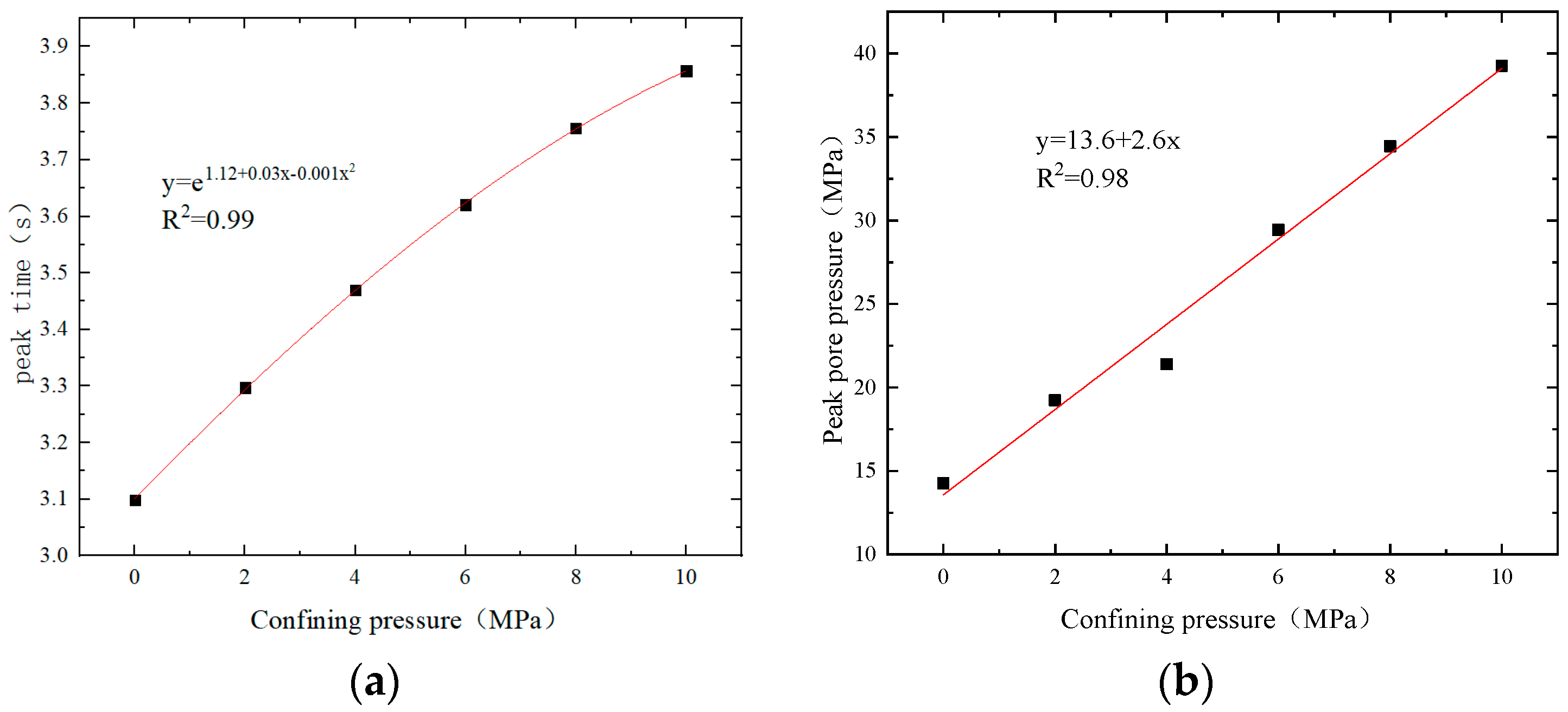
By observing the effect distribution of pore pressure under different confining pressures, the peak value of pore pressure increased from 14 MPa to 39 MPa when the confining pressure increased from 0 MPa to 10 MPa. The time to reach the peak stress was different. With the increase in confining pressure, it takes a longer time to reach the peak pore pressure. However, with the increase in confining pressure, the time increment decreases and shows an exponential function as a whole, as shown in Figure 7a. Through peak value and time analysis, it can be concluded that confining pressure has an obvious influence on pore pressure, and the larger the confining pressure, the larger the pore pressure is in the model. This is because when there is no confining pressure, the fracturing pressure interacts with the compressive strength of coal rock itself, and when the confining pressure is greater than the compressive strength, cracks will occur. When confining pressure is applied outside the coal rock, the action direction of confining pressure is opposite to the fracturing pressure. At this time, the fracturing pressure needs to be greater than the sum of the compressive strength and confining pressure of coal rock to produce cracks.
The peak value of pore pressure under different confining pressures has been linearly fitted, and the variation diagram of pore pressure with confining pressure is shown in Figure 7b. With the increasing confining pressure, the pore pressure increases linearly. It can be shown that under the same conditions, the greater the confining pressure, the greater the pore pressure in coal and rock mass.

4. Hydraulic Fracturing Experiment

The numerical simulation analysis shows that the cyclic load can significantly reduce the fracturing pressure, and the functional relationship between the fracture generation time and the fracture pressure under different confining pressures can be obtained. However, the simulation process cannot monitor the micro-cracks before the failure of the specimen. Therefore, we monitored the micro-fracture generation time and number of parameters through ordinary fracturing and cyclic loading fracturing experiments. Based on numerical simulation and laboratory experiments, hydraulic fracturing under cyclic loading can be better studied.

4.1. Experimental System

Constrained cracking experiments take into account the acoustic emission instrument measurement range limit using 1200 mm diameter circular steel barrel as the coal rock cracking chamber, with a steel barrel wall of thickness 15~20 mm and height of 500 mm. The specimens of cube shape were used in the monotonic loading test. The length of the section edge is 800–850 mm and the height is 500 mm. The expansion tube was inserted into the center of the cube at the same time as pouring the specimen. The inner diameter of the fracturing borehole is 30~50 mm [44]. The coal rock fracturing platform is shown in Figure 8, and the stress microstructure is shown in Figure 9.

4.2. Fracturing Experiment and Process

The hydraulic pump station was started to exert monotonic and cyclic loads on the cube specimen, and the acoustic emission instrument and high-speed camera were started to collect information. The cyclic loading cracking experiment adopted two-stage cracking. First, the initial cracking was carried out, and then the cracking was expanded. The schematic diagram of the cracking process is shown in Figure 10. The number of crack propagation events and the variation law of propagation energy with time were monitored with an acoustic emission instrument, and the dynamic change law of crack from initiation, to propagation, to arrest was observed. When the crack extends to the constraint boundary of the steel barrel, the pressure was stopped and the experiment was completed.

4.3. Experimental Results

4.3.1. The Law of Crack Expansion Energy under Monotonic Loading

By applying a monotonic load, the change rule of crack AE signal was monitored, and the crack initiation pressure and crack development characteristics of concrete specimens under monotonic load were analyzed. The monotonic load cracking diagram is shown in Figure 11.
At the beginning of the fracturing experiment, the pressure increased continuously; the acoustic emission event occurred at 17 s, and the concrete specimen exhibited fine cracks. With the increase of pressure, the fracturing continued. At 45 s, the number of acoustic emission events in the concrete specimens increased sharply, reaching the maximum, and then decreased rapidly. It can be judged that the concrete specimen cracked rapidly at 45 s and formed two macroscopic cracks. At the same time, the monotonic load reached the peak value, and the crack initiation pressure of the concrete specimen was 21 MPa. There was no obvious change in the direction of crack development, and the fracture ring profile was single. It is speculated that the initial fracturing plays a leading role in the whole fracturing process. After 45 s, due to the damage of concrete specimens, the internal pressure was released and the number of acoustic emission events decreased. The experimental results show that the monotonic loading on concrete specimens by expansion tube can achieve rapid cracking and produce a few cracks, but the number is relatively small.

4.3.2. Change Rule of Crack Expansion Energy Induced by Cyclic Loading

In order to further explore the fracture development characteristics of concrete specimens under different load fracturing, through the fracturing conditions of two groups of different cyclic loads (unconstrained fracturing and constrained fracturing), the fracturing effect was analyzed from the number of loading and unloading and the corresponding peak combined with AE signal change.

Unconstrained Cracking

The crack development characteristics of concrete specimens under cyclic loading were analyzed by applying cyclic loading on unconstrained concrete specimens and monitoring the change law of crack AE signals. The cyclic load cracking diagram is shown in Figure 12.
From Figure 12, it can be seen that the concrete specimens were loaded and unloaded three times; the three loading peaks are 2.19 MPa, 2.84 MPa, and 2.04 MPa, respectively. Compared with the monotonic loading, the ringing reaction occurred in the cyclic loading test for about 12 s, while the first ringing event occurred in the monotonic loading test for about 17 s, and the ringing number of monotonic loading was less than 600 times. In the cyclic loading test, the number and energy of acoustic emission events were the most concentrated near the third loading peak, and the number of ringing events was nearly 800 times. At this time, the concrete specimen broke and three penetrating cracks were cracked, as shown in Figure 13 and Figure 14. Experiments show that multiple loading and unloading can significantly reduce the peak fracturing pressure. From the perspective of overlooking, the angle between the three cracks is about 120°, and the crack propagated along the minimum resistance line. A sketch is shown in Figure 14b. During the propagation process, the crack always tends to develop in the direction of small resistance and deviates from the direction of large resistance.

Constrained Cracking

The concrete specimen was restrained by a steel tube, and the change rule of crack AE signal was monitored by applying a cyclic load on the concrete specimen, as shown in Figure 15.
As shown in Figure 15, after several loading and unloading, the loading peak of the concrete specimen was 4.58 MPa, and finally, tensile failure occurred under tensile stress. Once a limited number of macroscopic cracks are formed, it is difficult to crack by applying expansion force, which is determined by the way it is applied. At 199 s, the pressure is only 1 MPa, but the ring count is the highest. This shows that under the action of a cyclic load, the fatigue damage of concrete can be realized by using a low-amplitude cyclic load.
Compared with the unconstrained experiment, it can be found that the unconstrained initiation pressure was 2.48 MPa, but after the constraint is applied, the initiation pressure increased to 4.58 MPa, and the pressure increase reached about 55%. Due to the external constraint of the specimen, when the water injection pressure increases, the micro-cracks near the borehole are subjected to force, and the cracks are subjected to external stress. In order to unload the external stress applied, the energy is transferred to the weak surface of the crack, so that the stress at the crack tip is concentrated. When the specimen strength is lower than the peak stress at the crack tip, the crack will expand. When the constraint exists, if the crack wants to continue to expand, it needs to resist the specimen strength and external constraint at the same time. Therefore, the crack initiation pressure of the constrained experiment is significantly greater than that of the unconstrained experiment, and the number of cracks is also more than the latter. However, the two groups of experiments are carried out under the condition of no surrounding rock stress. If there is surrounding rock stress, the initiation pressure calculated according to Formulas (2) can generally reach more than 10 MPa. As the range increases, the fracturing pressure increases.

5. Engineering Verification

5.1. Drilling Arrangement

The test mine is located in the northwest wing of the Jinsha–Qianxi syncline. The mine field is generally a syncline structure and has a secondary fold [45]. The Jinsha–Qianxi syncline is located on the east side of the well field, and its axis is ‘S’-shaped in plane. The dip angle of northwest wing is relatively slow, and secondary folds have developed. The Xinhua syncline is located in the middle of the well field, which is a secondary fold of the northwest wing of the Jinsha–Qianxi syncline, and its axis tends to northwest. The test was carried out for nine coal seams; for the coal seam located in the middle of the Longtan coal group, the horizon is stable and the coal thickness is 1.27~5.79 m (average of 2.77 m). The direct roof is silty mudstone, upward is siltstone or fine sandstone, the direct floor is argillaceous siltstone, and the local area is silty mudstone and siltstone. The permeability coefficient of the coal seam is 0.05~7.17 m2/(MPa2·d), and the gas content is 20.82~23.42 m3/t. The drilling position is 20915 on the gas control roadway. The inclined length of the test face is 172 m, and the strike length is 610 m. The buried depth of the coal seam in the test area is 393~421 m. The test site diagram is shown in Figure 16.
Four boreholes were drilled in the test. One common borehole was used, the other was used for monotonic loading fracturing, and the two were used for cyclic loading fracturing. The common emulsified water pump was used in the monotonic loading hydraulic fracturing drilling, and the pulse water pump was used in the cyclic loading hydraulic fracturing drilling. The peak water injection pressure was 25 MPa and the frequency was 25 Hz. The start-up pressure of the pump was set to 5 MPa and the pump was pressurized at a rate of 0.2 MPa/min for about 180 min. If the water injection pressure of the pump drops off a cliff without rebounding, or the fracture is completed when the gas concentration of the observation hole increases, the water injection is stopped; the fracture parameters of the borehole are shown in Table 2.

5.2. Extraction Effect Analysis

The boreholes were treated with the predetermined process; four boreholes were sealed for 20 m, and the extraction pipes were connected for continuous extraction. We recorded and compared the change of gas flow of each borehole, obtaining the curve of gas emission and gas concentration with time, as shown in Figure 17 and Figure 18.
According to Figure 17, the gas extraction rate of ordinary boreholes was maintained at about 0.019 m3/min, and the gas extraction rate decreased by 0.007 m3/min after 21 days of extraction. The maximum pressure of monotonic hydraulic fracturing is 23 MPa. The maximum pressure of cyclic loading hydraulic fracturing is 15 MPa at 20 Hz and 11 MPa at 15 Hz, which is 47.83% of that of monotonic hydraulic fracturing. However, the maximum extraction flow rate of monotonic loading hydraulic fracturing is only 0.103 m3/min, and the maximum extraction flow rate of cyclic loading hydraulic fracturing can reach 0.230 m3/min, which is 1.23 times that of monotonic hydraulic fracturing. After 5 days of extraction, the gas extraction mixture of borehole #2 was reduced to 0.027 m3/min, and the later fluctuation was small. The extraction mixture of boreholes #3 and #4 tended to be stable after 15 days, at about 0.041 m3/min and 0.062 m3/min, respectively. In the same experimental site, the same extraction negative pressure was used for extraction, and the extraction amount can be used to characterize the damage degree of coal around the borehole. The more serious the damage degree of coal around the borehole, the higher the development of surrounding fractures, and the smoother the gas migration, resulting in an increase in the extraction amount. The gas drainage volume at the initial stage of 15 Hz cyclic loading was 0.021 m3/min higher than that at the initial stage of 20 Hz cyclic loading.
It can be seen from the gas extraction concentration diagram that the gas concentration of ordinary boreholes was maintained at 20.5~9.1% within 21 days of extraction. Single fracturing was maintained at 27.1~2.0%, and the gas concentration of single fracturing was generally higher than that of ordinary drilling, but the difference was not large. During the extraction period, the concentration of ordinary drilling was higher than that of fracturing drilling in some days, which may have been caused by the influence of nearby mining and the blockage of internal cracks in the extraction process. The concentration of cyclic loading fracturing boreholes was significantly higher than that of boreholes 1# and 2#. Due to the cyclic loading hydraulic fracturing, the fracture network around the borehole is more developed, and the extraction concentration can reach 86.7% at the highest and 16.2% at the lowest. The gas drainage concentration of borehole 3# is 70.1~16.2%, and that of borehole 4# is 86.7~24.1%. Gas concentration in boreholes #3 and 4# decreased continuously during drainage. In the late stage of extraction, borehole 3# tended to be flat, while borehole 4# still had a downward trend. The gas concentration of the 15 Hz cyclic load was higher than that of 20 Hz cyclic load. The gas concentration increased by 23.6% at the initial stage of extraction; the gas concentration is shown in Figure 18.
Due to the propagation characteristics of waves, the larger the frequency of waves, the faster the energy loss, and the shorter the propagation distance in coal seam fractures. Therefore, hydraulic fracturing with low-frequency cyclic loading is more effective. In summary, cyclic loading has a strong anti-reflection effect, and the lower the frequency of cyclic loading, the better the cracking effect.

6. Conclusions

(1) By establishing a numerical model, the hydraulic fracturing process under different conditions was simulated. The results show that after fracturing, the fracture extends along the direction of the prefabricated fracture, the pore pressure in the fracture is high pressure, and the pore pressure around the fracture decreases step by step. At both ends of the crack, the pore pressure has an irregular oval distribution, and stress concentration occurs; the pressure value reaches 41.48 MPa. In the fracturing process of the model, the central part of the fracture is the widest, and in the direction of fracture development, the fracture tip width decreases gradually.
(2) After the cyclic loading was applied to the model, the maximum pressure value at the crack initiation of the model was reduced by 46.27% compared with that of the monotonic loading model, and the time was also advanced by about 3 s, indicating that multiple loading and unloading of the injected liquid pressure could reduce the pressure at the crack initiation of the model. In addition, the unconstrained initiation pressure was 2.48 MPa, but after the constraint was applied, the initiation pressure increased to 4.58 MPa, and the pressure increase reaches about 55%. The crack initiation mode under monotonic loading can only produce a limited number of cracks. After several loading and unloading loads, the peak pressure of the specimen can be significantly reduced, and the number of cracks will also increase. The fatigue damage of the specimen can be achieved by using low-amplitude cyclic loading. The crack follows the principle of minimum energy in the propagation process; it always tends to the direction of small resistance and deviates from the direction of large resistance.
(3) The gas extraction rate of ordinary borehole was maintained at about 0.019 m3/min, and the gas extraction rate of ordinary fracturing borehole fluctuated at 0.025 m3/min after 21 days. The mixing amount of the 15 Hz and 20 Hz boreholes tended to be stable after 15 days, which stabilized at 0.041 m3/min and 0.062 m3/min, respectively. The effect of cyclic loading hydraulic fracturing was better than that of monotonic loading hydraulic fracturing, and the extraction flow rate was 1.23 times that of monotonic loading hydraulic fracturing. Lower cyclic loading frequency is conducive to crack formation, and the crack initiation effect at 15 Hz was about 23.6% higher than that at 20 Hz at the beginning of the test.

Author Contributions

Conceptualization: A.J., H.L. and S.T.; methodology: H.L.; formal analysis and investigation: A.J. and H.L.; writing—original draft preparation: A.J.; writing—review and editing: S.T.; funding acquisition: S.T. All authors have read and agreed to the published version of the manuscript.

Funding

This work was supported by the National Natural Science Foundation of China under Grant number 52104079 and Supported by Guizhou Provincial Science and Technology Projects [2020]4Y050.

Institutional Review Board Statement

The study did not require ethical approval.

Informed Consent Statement

Informed consent was obtained from all subjects involved in the study.

Data Availability Statement

All data, models, and code generated or used during the study appear in the submitted article.

Acknowledgments

The authors appreciate the support from above funders.

Conflicts of Interest

The authors declare that there is no conflict of interest regarding the publication of this paper.

References

  1. Wang, G.; Ren, T.; Wang, K.; Zhou, A. Improved apparent permeability models of gas flow in coal with Klinkenberg effect. Fuel 2014, 128, 53–61. [Google Scholar] [CrossRef]
  2. Aziz, N. Permeability and volumetric changes in coal under different test environment. Acta Geodyn. Geomater. 2013, 10, 163–171. [Google Scholar] [CrossRef] [Green Version]
  3. Chen, H.; Cheng, Y.-P.; Zhou, H.; Li, W. Damage and permeability development in coal during unloading. Rock Mech. Rock Eng. 2013, 46, 1377–1390. [Google Scholar] [CrossRef]
  4. Moore, T.-A. Coalbed methane: A review. Int. J. Coal Geol. 2012, 101, 36–81. [Google Scholar] [CrossRef]
  5. Shen, J.; Qin, Y.; Li, Y.-P. Experimental investigation into the relative permeability of gas and water in low-rank coal. J. Pet. Sci. Eng. 2019, 175, 303–316. [Google Scholar] [CrossRef]
  6. Palmer, I. Permeability changes in coal: Analytical modeling. Int. J. Coal. Geol. 2009, 77, 119–126. [Google Scholar] [CrossRef]
  7. Palmer, I. Coalbed methane completions: A world view. Int. J. Coal. Geol. 2010, 82, 184–195. [Google Scholar] [CrossRef]
  8. Baghbanan, A.; Jing, L. Stress effects on permeability in a fractured rock mass with correlated fracture length and aperture. Int. J. Rock Mech. Min. Sci. 2008, 45, 1320–1334. [Google Scholar] [CrossRef]
  9. Berkowitz, B. Characterizing flow and transport in fractured geological media: A review. Adv. Water Resour. 2002, 25, 861–884. [Google Scholar] [CrossRef]
  10. Clarkson, C.-R.; Haghshenas, B.; Ghanizadeh, A.; Qanbari, F.; Williams-Kovacs, J.-D.; Riazi, N.; Debuhr, C.; Deglint, H.-J. Nanopores to megafractures: Current challenges and methods for shale gas reservoir and hydraulic fracture characterization. J. Nat. Gas Sci. Eng. 2016, 31, 612–657. [Google Scholar] [CrossRef]
  11. Lin, H.-Y.; Tian, S.-X.; Jiao, A.-J.; Zeng, J.-H.; Jiang, Z.-B.; Xu, S.-Q. Numerical and experimental studies on dynamic gas emission characteristics of boreholes. PLoS ONE 2021, 16, e0251209. [Google Scholar] [CrossRef] [PubMed]
  12. Jiao, A.-J.; Tian, S.-X.; Lin, H.-Y. Analysis of Outburst Coal Structure Characteristics in Sanjia Coal Mine Based on FTIR and XRD. Energies 2022, 15, 1956. [Google Scholar] [CrossRef]
  13. Cheng, Y.; Wang, L.; Liu, H.; Kong, S.; Yang, Q.; Zhu, J.; Tu, Q. Definition, theory, methods, and applications of the safe and efficient simultaneous extraction of coal and gas. Int. J. Coal Sci. Technol. 2015, 2, 52–65. [Google Scholar] [CrossRef] [Green Version]
  14. Cheng, Y.-P.; Wang, L.; Zhang, X.-L. Environmental impact of coal mine methane emissions and responding strategies in China. Int. J. Greenh. Gas Control 2011, 5, 157–166. [Google Scholar] [CrossRef]
  15. Dong, G. Layer. In Material Design, Processing and Applications; Parts 1–4; Liu, X.H., Zhang, K.F., Li, M.Z., Eds.; Trans Tech Publications Ltd.: Zurich, Switzerland, 2013; pp. 3059–3067. [Google Scholar]
  16. Wang, L.; Lu, Z.; Chen, D.-P. Safe strategy for coal and gas outburst prevention in deep-and-thick coal seams using a soft rock protective layer mining. Saf. Sci. 2020, 129, 104800. [Google Scholar] [CrossRef]
  17. Liu, P.; Ju, Y.; Gao, F.; Ranjith, P.-G.; Zhang, Q. CT Identification and Fractal Characterization of 3-D Propagation and Distribution of Hydrofracturing Cracks in Low-Permeability Heterogeneous Rocks. J. Geophys. Res. Solid Earth 2018, 123, 2156–2173. [Google Scholar] [CrossRef]
  18. Ma, G.; Zhang, Y.; Zhou, W.; Ng, T.-T.; Wang, Q.; Chen, X. The effect of different fracture mechanisms on impact fragmentation of brittle heterogeneous solid. Int. J. Impact Eng. 2018, 113, 132–143. [Google Scholar] [CrossRef]
  19. Valliappan, V.; Remmers, J.J.C.; Barnhoorn, A.; Smeulders, D.M.J. Hydraulic fracturing in anisotropic and heterogeneous rocks. In Proceedings of the 6th Biot Conference on Poromechanics: American Society of Civil Engineers (ASCE), Paris, France, 9–13 July 2017. [Google Scholar]
  20. Wang, H. Hydraulic fracture propagation in naturally fractured reservoirs: Complex fracture or fracture networks. J. Nat. Gas Sci. Eng. 2019, 68, 102911. [Google Scholar] [CrossRef] [Green Version]
  21. Wu, K. Numerical Modeling of Complex Hydraulic Fracture Development in Unconventional Reservoirs. Master’s Thesis, The University of Texas, Austin, TX, USA, 2004. [Google Scholar]
  22. Hu, L.; Ghassemi, A.; Pritchett, J.; Garg, S. Characterization of laboratory-scale hydraulic fracturing for EGS. Geothermics 2020, 83, 101706. [Google Scholar] [CrossRef]
  23. Zang, A.; Yoon, J.S.; Stephansson, O.; Heidbach, O. Fatigue hydraulic fracturing by cyclic reservoir treatment enhances permeability and reduces induced seismicity. Geophys. J. Int. 2013, 195, 1282–1287. [Google Scholar] [CrossRef] [Green Version]
  24. Zang, A.; Stephansson, O.; Stenberg, L.; Plenkers, K.; Specht, S.; Milkereit, C. Hydraulic fracture monitoring in hard rock at 410 m depth with an advanced fluid-injection protocol and extensive sensor array. Geophys. J. Int. 2017, 208, 790–813. [Google Scholar] [CrossRef] [Green Version]
  25. Bu, L.; Li, S.; Shi, S.; Xie, X.; Li, L.; Zhou, Z. Numerical Investigation to Influence of Perforation Angle on Hydraulic Fracturing Process. Geotech. Geol. Engng. 2018, 37, 5–33. [Google Scholar] [CrossRef]
  26. Vahab, M.; Khalili, N. Numerical investigation of the flow regimes through hydraulic fractures using the X-FEM technique. Eng. Fract. Mech. 2017, 169, 46–62. [Google Scholar] [CrossRef]
  27. Wu, K.; Olson, J.E. Simultaneous Multifracture Treatments: Fully Coupled Fluid Flow and Fracture Mechanics for Horizontal Wells. SPE J. 2015, 20, 337–346. [Google Scholar] [CrossRef]
  28. Li, Y.-Y.; Hu, W.; Zhang, Z.-H. Numerical simulation of hydraulic fracturing process in a naturally fractured reservoir based on a discrete fracture network model. J. Struct. Geol. 2021, 147, 104331. [Google Scholar] [CrossRef]
  29. Bi, J.; Zhou, X.-P. A novel numerical algorithm for simulation of initiation, propagation and coalescence of flaws subject to internal fluid pressure and vertical stress in the framework of general particle dynamics. Rock Mech. Rock Eng. 2017, 50, 1833–1849. [Google Scholar] [CrossRef]
  30. Liu, Y.-L.; Zheng, X.-B.; Peng, X.-F.; Zhang, Y.-Y.; Chen, H.-D.; He, J.-H. Influence of natural fractures on propagation of hydraulic fractures in tight reservoirs during hydraulic fracturing. Mar. Pet. Geol. 2022, 138, 105505. [Google Scholar] [CrossRef]
  31. Zheng, Y.-X.; He, R.; Huang, L.-K.; Bai, Y.-S.; Wang, C.; Chen, W.-H.; Wang, W. Exploring the effect of engineering parameters on the penetration of hydraulic fractures through bedding planes in different propagation regimes. Comput. Geotech. 2022, 146, 104736. [Google Scholar] [CrossRef]
  32. Zhao, Y.; Zhang, Y.-F.; Wang, C.-L.; Liu, Q. Hydraulic fracturing characteristics and evaluation of fracturing effectiveness under different anisotropic angles and injection rates: An experimental investigation in absence of confining pressure. J. Nat. Gas Sci. Eng. 2022, 97, 104343. [Google Scholar] [CrossRef]
  33. Patel, S.M.; Sondergeld, C.H.; Rai, C.S. Laboratory studies of hydraulic fracturing by cyclic injection. Int. J. Rock Mech. Min. Sci. 2017, 95, 8–15. [Google Scholar] [CrossRef]
  34. Jia, Y.-Z.; Lu, Z.-H.; Xiong, Q.-Q.; Hampton, J.-C.; Zhang, Y.; Hea, P. Laboratory characterization of cyclic hydraulic fracturing for deep shale application in Southwest China. Int. J. Rock Mech. Min. Sci. 2021, 148, 104945. [Google Scholar] [CrossRef]
  35. Liu, Y.-L.; Xu, T.-F.; Yuan, Y.-L.; Feng, B.; Tang, X.-H.; Liu, X.; Cui, Z.-P. A laboratory study on fracture initiation and propagation of granite under cyclic-injection hydraulic fracturing. J. Pet. Sci. Eng. 2022, 212, 110278. [Google Scholar] [CrossRef]
  36. Zhang, C.; Han, P.-H.; Wang, F.-T.; He, X. The stability of residual coal pillar in underground reservoir with the effect of mining and water immersion. J. China Univ. Min. Technol. 2021, 50, 220–227+247. [Google Scholar]
  37. Zoback, M.-D. Reservoir Geomechanics; Cambridge University Press: Cambridge, UK, 2010. [Google Scholar]
  38. Zang, X.-Y.; Dai, Z.-H. Analysis of slope stability under seepage by using ABAQUS program. Chin. J. Rock Mech. Eng. 2010, 29, 2927–2934. [Google Scholar]
  39. Zienkiewicz, O.-C.; Taylor, R.L. The Finite Element Method: An Introduction with Partial Differential Equations; Elsevier: Burlington, MA, USA, 2005; pp. 42–45. [Google Scholar]
  40. Yue, Q.-X.; Li, J. A research on saturated soil dynamic response with ABAQUS. Earthq. Eng. Eng. Dyn. 2006, 26, 238–241. [Google Scholar]
  41. Chen, W.-Z.; Wu, G.-J.; Jia, S.-P. Application of ABAQUS in Tunnel and Underground Engineering (Water Resources and Hydropower Edition. Rock Soil Mech. 2010, 31, 552. [Google Scholar]
  42. Yang, Z.-Z.; Zhang, D.; Yi, L.-P.; Li, X.-G.; Li, Y. Longitudinal propagation model of hydraulic fracture and numerical simulation in multi-layer superimposed coalbed. J. China Coal Soc. 2021, 46, 3268–3277. [Google Scholar]
  43. Lan, W.-L.; Yang, S.-Q.; Fang, G. Particle flow simulation on mechanical behavior of coal specimen under triaxial cyclic loading and unloading. J. China Coal Soc. 2016, 41, 603–610. [Google Scholar]
  44. Qin, S.; Zhao, J.-C.; Bian, D.-C. Study on Fractured Rock Mass caused by High Pressure Pulse Discharge in Water. Blasting 2020, 37, 94–101. [Google Scholar]
  45. Li, M.-Z.; Li, H.-Y.; Luo, X.-K. Test of controllable shock wave technology to enhance coal seam gas extraction in Linhua Coal Mine. China Coal 2019, 45, 54–57. [Google Scholar]
Figure 1. Mechanical model diagram.
Figure 1. Mechanical model diagram.
Energies 15 04761 g001
Figure 2. Numerical model diagram.
Figure 2. Numerical model diagram.
Energies 15 04761 g002
Figure 3. Cloud map of fracture pore pressure distribution. (a) Step 674 moment; (b) Final moment.
Figure 3. Cloud map of fracture pore pressure distribution. (a) Step 674 moment; (b) Final moment.
Energies 15 04761 g003
Figure 4. Cloud diagram of fracture width variation. (a) Step 674 moment; (b) Final moment.
Figure 4. Cloud diagram of fracture width variation. (a) Step 674 moment; (b) Final moment.
Energies 15 04761 g004
Figure 5. Changes in pore pressure and fracture width in borehole center. (a) Pore pressure; (b) Slot width.
Figure 5. Changes in pore pressure and fracture width in borehole center. (a) Pore pressure; (b) Slot width.
Energies 15 04761 g005
Figure 6. Relationship diagram of pore pressure changes under different confining pressures.
Figure 6. Relationship diagram of pore pressure changes under different confining pressures.
Energies 15 04761 g006
Figure 7. The influence of different confining pressures on fracture development. (a) Confining pressure-peak time; (b) Confining pressure-peak pore pressure.
Figure 7. The influence of different confining pressures on fracture development. (a) Confining pressure-peak time; (b) Confining pressure-peak pore pressure.
Energies 15 04761 g007
Figure 8. Experimental platform for fracture of coal and rock under different forms of load (1, expansion tube; 2, cracking drum; 3, pressure sensor; 4, AE sensor; 5, signal transmitter; 6, computer; 7, hydraulic pump station; 8, data acquisition card; 9, hydraulic conveying pipe; 10, high-speed camera; 11, coal sample; 12, acoustic emission instrument; 13, static crushing agent (ground stress loading)).
Figure 8. Experimental platform for fracture of coal and rock under different forms of load (1, expansion tube; 2, cracking drum; 3, pressure sensor; 4, AE sensor; 5, signal transmitter; 6, computer; 7, hydraulic pump station; 8, data acquisition card; 9, hydraulic conveying pipe; 10, high-speed camera; 11, coal sample; 12, acoustic emission instrument; 13, static crushing agent (ground stress loading)).
Energies 15 04761 g008
Figure 9. Mechanical microstructure.
Figure 9. Mechanical microstructure.
Energies 15 04761 g009
Figure 10. Schematic diagram of coal and rock mass cracking step by step under cyclic load. (a) Initial fracturing; (b) Extended fracturing.
Figure 10. Schematic diagram of coal and rock mass cracking step by step under cyclic load. (a) Initial fracturing; (b) Extended fracturing.
Energies 15 04761 g010
Figure 11. Monotonous load splitting diagram. (a) Crack propagation diagram of rock; (b) Cracking AE signal.
Figure 11. Monotonous load splitting diagram. (a) Crack propagation diagram of rock; (b) Cracking AE signal.
Energies 15 04761 g011
Figure 12. Fracture of rocks under unconstrained cyclic loading. (a) Expansive fracturing experimental diagram; (b) Cracking AE signal.
Figure 12. Fracture of rocks under unconstrained cyclic loading. (a) Expansive fracturing experimental diagram; (b) Cracking AE signal.
Energies 15 04761 g012
Figure 13. Unconstrained crack propagation survey.
Figure 13. Unconstrained crack propagation survey.
Energies 15 04761 g013
Figure 14. View of crack propagation without constraint. (a) Crack propagation diagram; (b) Crack sketch diagram.
Figure 14. View of crack propagation without constraint. (a) Crack propagation diagram; (b) Crack sketch diagram.
Energies 15 04761 g014
Figure 15. Rock-rock fracture under confined cyclic loading. (a) Crack propagation diagram; (b) AE signal during fracturing.
Figure 15. Rock-rock fracture under confined cyclic loading. (a) Crack propagation diagram; (b) AE signal during fracturing.
Energies 15 04761 g015aEnergies 15 04761 g015b
Figure 16. Borehole layout.
Figure 16. Borehole layout.
Energies 15 04761 g016
Figure 17. Gas emission curve of borehole drainage.
Figure 17. Gas emission curve of borehole drainage.
Energies 15 04761 g017
Figure 18. Curve diagram of gas concentration change in borehole extraction.
Figure 18. Curve diagram of gas concentration change in borehole extraction.
Energies 15 04761 g018
Table 1. Model parameter table.
Table 1. Model parameter table.
ParameterPoisson’s RatioYoung’s Modulus E (Gpa)Permeability (m·s−1)Viscosity (Pa·s)
Taking values0.03150.00000010.001
Table 2. Drilling parameters.
Table 2. Drilling parameters.
Drilling TypeDrilling NumberMaximum Fracturing Pressure (Mpa)Fracturing Time (min)Cyclic Loading Frequency (Hz)
Common borehole1#---
Monotonic loading hydraulic fracturing2#2380-
Cyclic loading hydraulic fracturing3#1514020
4#1110015
Note: - represents that there is no such parameter.
Publisher’s Note: MDPI stays neutral with regard to jurisdictional claims in published maps and institutional affiliations.

Share and Cite

MDPI and ACS Style

Jiao, A.; Tian, S.; Lin, H. Study on Crack Penetration Induced by Fatigue Damage of Low Permeability Coal Seam under Cyclic Loading. Energies 2022, 15, 4761. https://doi.org/10.3390/en15134761

AMA Style

Jiao A, Tian S, Lin H. Study on Crack Penetration Induced by Fatigue Damage of Low Permeability Coal Seam under Cyclic Loading. Energies. 2022; 15(13):4761. https://doi.org/10.3390/en15134761

Chicago/Turabian Style

Jiao, Anjun, Shixiang Tian, and Huaying Lin. 2022. "Study on Crack Penetration Induced by Fatigue Damage of Low Permeability Coal Seam under Cyclic Loading" Energies 15, no. 13: 4761. https://doi.org/10.3390/en15134761

APA Style

Jiao, A., Tian, S., & Lin, H. (2022). Study on Crack Penetration Induced by Fatigue Damage of Low Permeability Coal Seam under Cyclic Loading. Energies, 15(13), 4761. https://doi.org/10.3390/en15134761

Note that from the first issue of 2016, this journal uses article numbers instead of page numbers. See further details here.

Article Metrics

Back to TopTop