Thermal Rectification and Thermal Logic Gates in Graded Alloy Semiconductors
Abstract
:1. Introduction
2. Materials and Methods
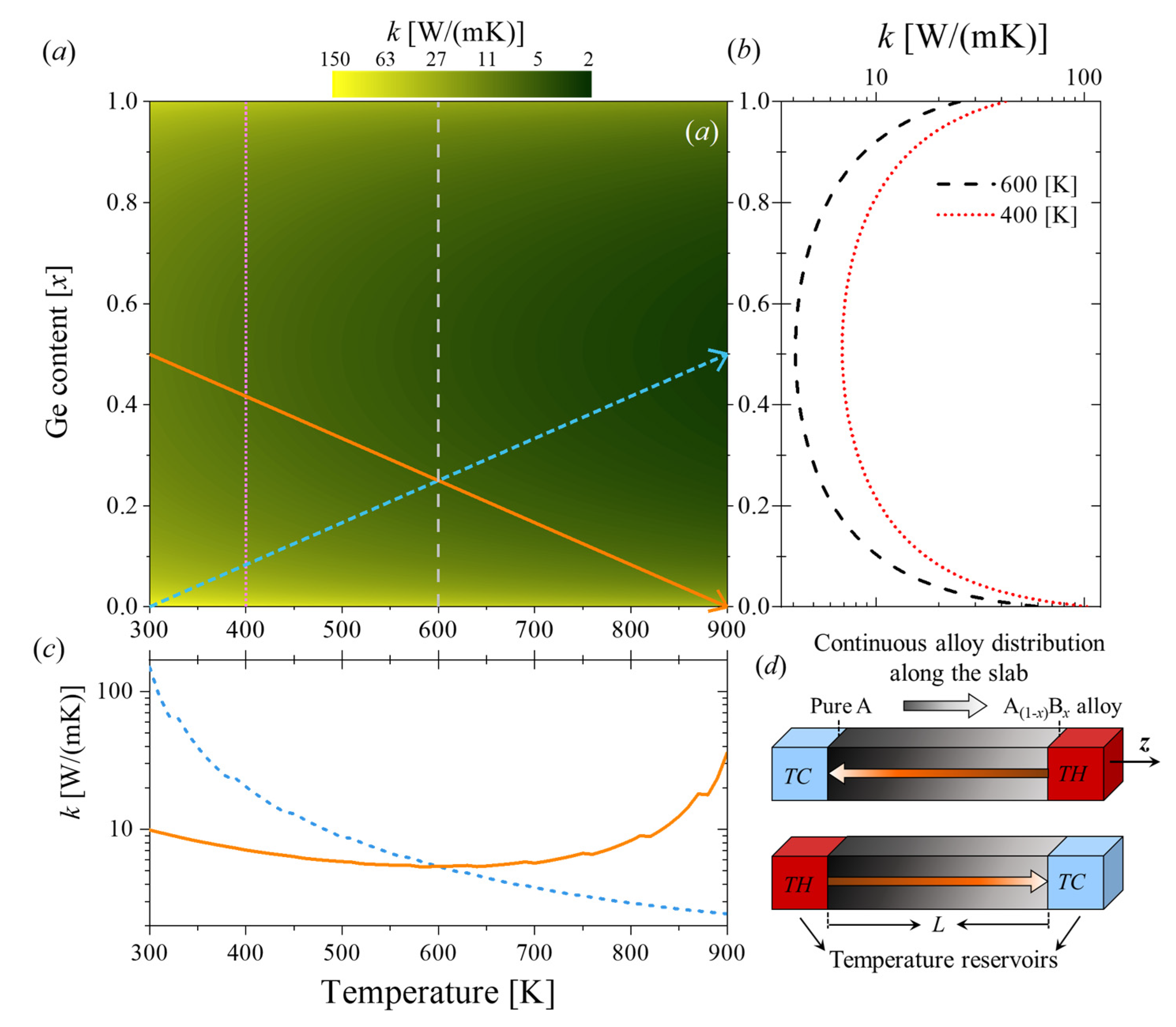
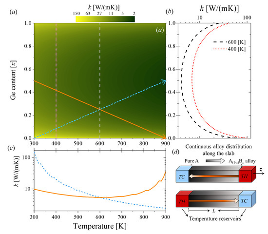
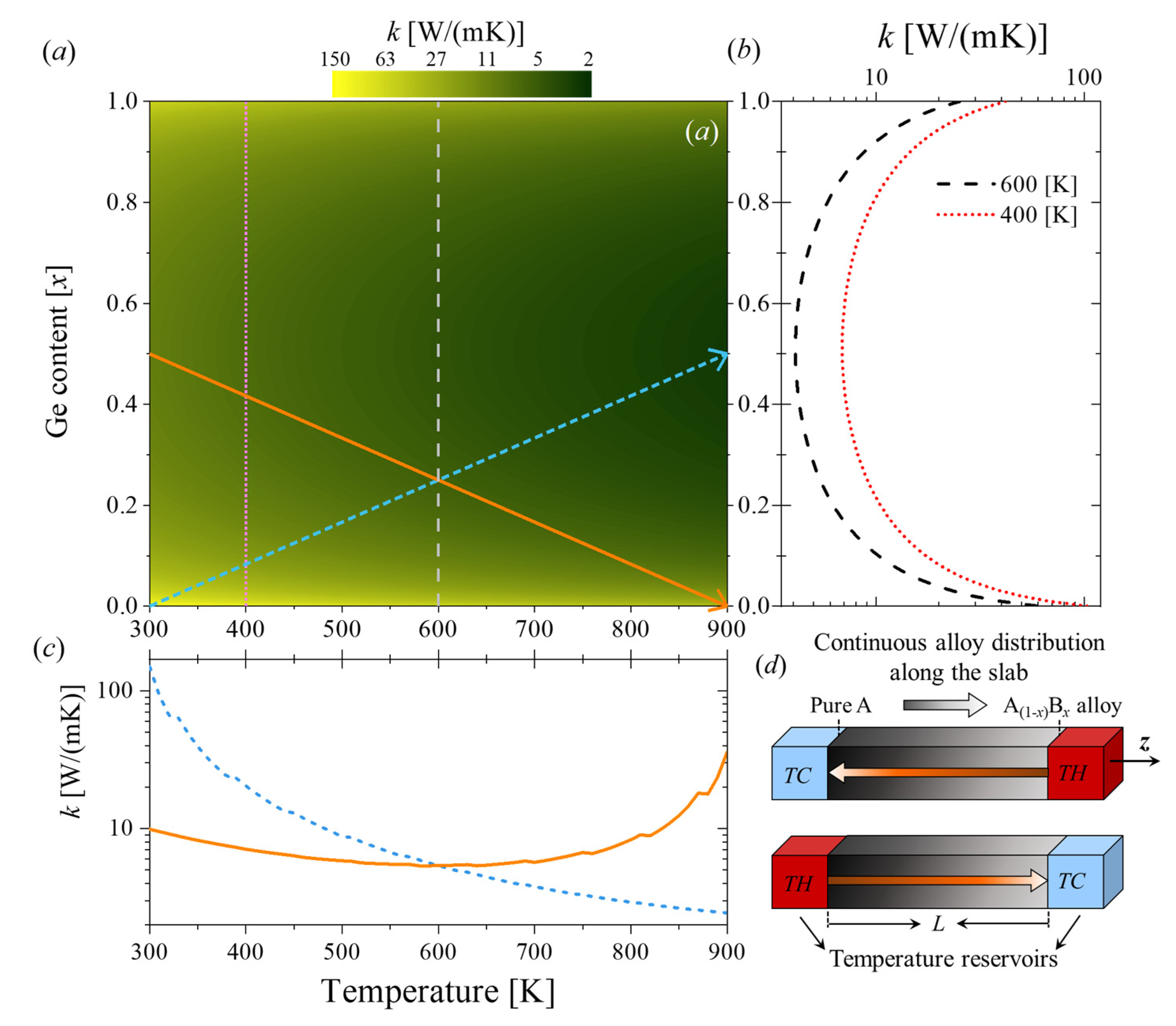
3. Results
4. Conclusions
Supplementary Materials
Author Contributions
Funding
Institutional Review Board Statement
Informed Consent Statement
Data Availability Statement
Conflicts of Interest
References
- Qiu, L.; Zhu, N.; Feng, Y.; Michaelides, E.E.; Żyła, G.; Jing, D.; Zhang, X.; Norris, P.M.; Markides, C.N.; Mahian, O. A review of recent advances in thermophysical properties at the nanoscale: From solid state to colloids. Phys. Rep. 2020, 843, 1–81. [Google Scholar] [CrossRef]
- Qiu, L.; Scheider, K.; Radwan, S.A.; Larkin, L.S.; Saltonstall, C.B.; Feng, Y.; Zhang, X.; Norris, P.M. Thermal transport barrier in carbon nanotube array nano-thermal interface materials. Carbon 2017, 120, 128–136. [Google Scholar] [CrossRef]
- Qiu, L.; Zhang, X.; Guo, Z.; Li, Q. Interfacial heat transport in nano-carbon assemblies. Carbon 2021, 178, 391–412. [Google Scholar] [CrossRef]
- Ben-Abdallah, P.; Biehs, S.-A. Near-field thermal transistor. Phys. Rev. Lett. 2014, 112, 044301. [Google Scholar] [CrossRef] [PubMed] [Green Version]
- Li, B.; Wang, L.; Casati, G. Thermal diode: Rectification of heat flux. Phys. Rev. Lett. 2004, 93, 184301. [Google Scholar] [CrossRef] [Green Version]
- Kasprzak, M.; Sledzinska, M.; Zaleski, K.; Iatsunskyi, I.; Alzina, F.; Volz, S.; Sotomayor Torres, C.M.; Graczykowski, B. High-temperature silicon thermal diode and switch. Nano Energy 2020, 78, 105261. [Google Scholar] [CrossRef]
- Martínez-Pérez, M.J.; Fornieri, A.; Giazotto, F. Rectification of electronic heat current by a hybrid thermal diode. Nat. Nanotechnol. 2015, 10, 303–307. [Google Scholar] [CrossRef] [Green Version]
- Wang, L.; Li, B. Thermal memory: A storage of phononic information. Phys. Rev. Lett. 2008, 101, 267203. [Google Scholar] [CrossRef] [Green Version]
- Elzouka, M.; Ndao, S. Near-field NanoThermoMechanical memory. Appl. Phys. Lett. 2014, 105, 243510. [Google Scholar] [CrossRef]
- Kubytskyi, V.; Biehs, S.-A.; Ben-Abdallah, P. Radiative bistability and thermal memory. Phys. Rev. Lett. 2014, 113, 074301. [Google Scholar] [CrossRef]
- Shrestha, R.; Luan, Y.; Luo, X.; Shin, S.; Zhang, T.; Smith, P.; Gong, W.; Bockstaller, M.; Luo, T.; Chen, R.; et al. Dual-mode solid-state thermal rectification. Nat. Commun. 2020, 11, 4346. [Google Scholar] [CrossRef] [PubMed]
- Wang, L.; Li, B. Thermal Logic Gates: Computation with Phonons. Phys. Rev. Lett. 2007, 99, 177208. [Google Scholar] [CrossRef] [PubMed] [Green Version]
- Hamed, A.; Ndao, S. NanoThermoMechanical AND and OR Logic Gates. Sci. Rep. 2020, 10, 2437. [Google Scholar] [CrossRef] [PubMed] [Green Version]
- Wong, M.Y.; Tso, C.Y.; Ho, T.C.; Lee, H.H. A review of state of the art thermal diodes and their potential applications. Int. J. Heat Mass Transf. 2021, 164, 120607. [Google Scholar] [CrossRef]
- Ben-Abdallah, P.; Biehs, S.-A. Towards Boolean operations with thermal photons. Phys. Rev. B 2016, 94, 241401. [Google Scholar] [CrossRef] [Green Version]
- Hamed, A.; Elzouka, M.; Ndao, S. Thermal calculator. Int. J. Heat Mass Transf. 2019, 134, 359–365. [Google Scholar] [CrossRef]
- Casi, Á.; Araiz, M.; Catalán, L.; Astrain, D. Thermoelectric heat recovery in a real industry: From laboratory optimization to reality. Appl. Therm. Eng. 2021, 184, 116275. [Google Scholar] [CrossRef]
- Berlanga-Labari, C.; Catalán, L.; Palacio, J.F.; Pérez, G.; Astrain, D. Corrosion Behavior in Volcanic Soils: In Search of Candidate Materials for Thermoelectric Devices. Materials 2021, 14, 7657. [Google Scholar] [CrossRef]
- Hilmin, M.N.H.M.; Remeli, M.F.; Singh, B.; Affandi, N.D.N. Thermoelectric power generations from vehicle exhaust gas with TiO2 nanofluid cooling. Therm. Sci. Eng. Prog. 2020, 18, 100558. [Google Scholar] [CrossRef]
- Ximinis, J.; Massaguer, A.; Pujol, T.; Massaguer, E. Nox emissions reduction analysis in a diesel Euro VI Heavy Duty vehicle using a thermoelectric generator and an exhaust heater. Fuel 2021, 301, 121029. [Google Scholar] [CrossRef]
- Wehmeyer, G.; Yabuki, T.; Monachon, C.; Wu, J.; Dames, C. Thermal diodes, regulators, and switches: Physical mechanisms and potential applications. Appl. Phys. Rev. 2017, 4, 41304. [Google Scholar] [CrossRef] [Green Version]
- Pal, S.; Puri, I.K. Thermal AND Gate Using a Monolayer Graphene Nanoribbon. Small 2015, 11, 2910–2917. [Google Scholar] [CrossRef] [PubMed]
- Roberts, N.A.; Walker, D.G. A review of thermal rectification observations and models in solid materials. Int. J. Therm. Sci. 2011, 50, 648–662. [Google Scholar] [CrossRef] [Green Version]
- Rogers, G.F.C. Heat transfer at the interface of dissimilar metals. Int. J. Heat Mass Transf. 1961, 2, 150–154. [Google Scholar] [CrossRef]
- Powell, R.W.; Tye, R.P.; Jolliffe, B.W. Heat transfer at the interface of dissimilar materials: Evidence of thermal-comparator experiments. Int. J. Heat Mass Transf. 1962, 5, 897–902. [Google Scholar] [CrossRef]
- Clausing, A.M. Heat transfer at the interface of dissimilar metals—The influence of thermal strain. Int. J. Heat Mass Transf. 1966, 9, 791–801. [Google Scholar] [CrossRef]
- Terraneo, M.; Peyrard, M.; Casati, G. Controlling the Energy Flow in Nonlinear Lattices: A Model for a Thermal Rectifier. Phys. Rev. Lett. 2002, 88, 094302. [Google Scholar] [CrossRef] [Green Version]
- Dames, C. Solid-State Thermal Rectification With Existing Bulk Materials. J. Heat Transf. 2009, 131, 061301–061307. [Google Scholar] [CrossRef]
- Kobayashi, W.; Teraoka, Y.; Terasaki, I. An oxide thermal rectifier. Appl. Phys. Lett. 2009, 95, 171905. [Google Scholar] [CrossRef] [Green Version]
- Go, D.B.; Sen, M. On the Condition for Thermal Rectification Using Bulk Materials. J. Heat Transf. 2010, 132, 124502–124504. [Google Scholar] [CrossRef]
- Chang, C.W.; Okawa, D.; Majumdar, A.; Zettl, A. Solid-state thermal rectifier. Science 2006, 314, 1121–1124. [Google Scholar] [CrossRef] [PubMed]
- Lee, J.; Varshney, V.; Roy, A.K.; Ferguson, J.B.; Farmer, B.L. Thermal rectification in three-dimensional asymmetric nanostructure. Nano Lett. 2012, 12, 3491–3496. [Google Scholar] [CrossRef] [PubMed]
- Lee, J.; Jan, A.A.; Ganorkar, S.P.; Cho, J.; Lee, D.; Baik, S. Tunable solid-state thermal rectification by asymmetric nonlinear radiation. Mater. Horizons 2021, 8, 1998–2005. [Google Scholar] [CrossRef] [PubMed]
- Yang, N.; Li, N.; Wang, L.; Li, B. Thermal rectification and negative differential thermal resistance in lattices with mass gradient. Phys. Rev. B 2007, 76, 20301. [Google Scholar] [CrossRef] [Green Version]
- Romero-Bastida, M.; Arizmendi-Carvajal, J.M. Structural influences on thermal rectification of one-dimensional mass-graded lattices. J. Phys. A Math. Theor. 2013, 46, 115006. [Google Scholar] [CrossRef]
- Rurali, R.; Cartoixà, X.; Colombo, L. Heat transport across a SiGe nanowire axial junction: Interface thermal resistance and thermal rectification. Phys. Rev. B 2014, 90, 41408. [Google Scholar] [CrossRef]
- Naso, M.G.; Vuk, E.; Zullo, F. On the optimization of heat rectification in graded materials. Int. J. Heat Mass Transf. 2019, 143, 118520. [Google Scholar] [CrossRef]
- Pereira, E. Sufficient conditions for thermal rectification in general graded materials. Phys. Rev. E 2011, 83, 031106. [Google Scholar] [CrossRef] [Green Version]
- Wang, J.; Pereira, E.; Casati, G. Thermal rectification in graded materials. Phys. Rev. E 2012, 86, 010101. [Google Scholar] [CrossRef] [Green Version]
- Reparaz, J.S.; Chavez-Angel, E.; Wagner, M.R.; Graczykowski, B.; Gomis-Bresco, J.; Alzina, F.; Sotomayor Torres, C.M. A novel contactless technique for thermal field mapping and thermal conductivity determination: Two-laser Raman thermometry. Rev. Sci. Instrum. 2014, 85, 034901. [Google Scholar] [CrossRef] [Green Version]
- Graczykowski, B.; El Sachat, A.; Reparaz, J.S.; Sledzinska, M.; Wagner, M.R.; Chavez-Angel, E.; Wu, Y.; Volz, S.; Wu, Y.; Alzina, F.; et al. Thermal conductivity and air-mediated losses in periodic porous silicon membranes at high temperatures. Nat. Commun. 2017, 8, 415. [Google Scholar] [CrossRef] [PubMed] [Green Version]
- Jeong, W.; Kim, K.; Kim, Y.; Lee, W.; Reddy, P. Characterization of nanoscale temperature fields during electromigration of nanowires. Sci. Rep. 2014, 4, 4975. [Google Scholar] [CrossRef] [Green Version]
- Xiao, P.; El Sachat, A.; Chávez Angel, E.; Nikoulis, G.; Kioseoglou, J.; Termentzidis, K.; Sotomayor Torres, C.M.; Sledzinska, M. Thermal insulation and heat guiding using nanopatterned MoS2. arXiv 2022, arXiv:2204.04999. [Google Scholar]
- Palankovski, V.; Selberherr, S. Thermal models for semiconductor device simulation. In Proceedings of the HITEN 99, Third European Conference on High Temperature Electronics (IEEE Cat. No.99EX372), Berlin, Germany, 7 July 1999; pp. 25–28. [Google Scholar]
- Palankovski, V. Simulation of Heterojunction Bipolar Transistors. Ph.D. Thesis, Technische Universität Wien, Vienna, Austria, 2000. [Google Scholar]
- Norbury, A.L. The electrical resistivity of dilute metallic solid solutions. Trans. Faraday Soc. 1921, 16, 570. [Google Scholar] [CrossRef] [Green Version]
- Adachi, S. Lattice thermal resistivity of III–V compound alloys. J. Appl. Phys. 1983, 54, 1844. [Google Scholar] [CrossRef]
- Adachi, S. Lattice thermal conductivity of group-IV and III–V semiconductor alloys. J. Appl. Phys. 2007, 102, 063502. [Google Scholar] [CrossRef] [Green Version]
- Adachi, S. Properties of Semiconductor Alloys: Group-IV, III-V and II-VI Semiconductors; John Wiley & Sons, Ltd.: Chichester, UK, 2009; ISBN 9780470744383. [Google Scholar]
- Shih, T.-M.; Gao, Z.; Guo, Z.; Merlitz, H.; Pagni, P.J.; Chen, Z. Maximal rectification ratios for idealized bi-segment thermal rectifiers. Sci. Rep. 2015, 5, 12677. [Google Scholar] [CrossRef] [Green Version]
- Carlomagno, I.; Cimmelli, V.A.; Jou, D. Enhanced thermal rectification in graded SicGe1-c alloys. Mech. Res. Commun. 2020, 103, 103472. [Google Scholar] [CrossRef]
- Liu, Y.-Y.; Zhou, W.-X.; Tang, L.-M.; Chen, K.-Q. An important mechanism for thermal rectification in graded nanowires. Appl. Phys. Lett. 2014, 105, 203111. [Google Scholar] [CrossRef]





| TA [K] | TB [K] | Tout [K] | Input A | Input B | Output, ε |
|---|---|---|---|---|---|
| 300 | 900 | 472.67 | 0 | 1 | 0.287 |
| 900 | 300 | 472.67 | 1 | 0 | 0.287 |
| 300 | 300 | 300 | 0 | 0 | 0 |
| 900 | 900 | 796.33 | 1 | 1 | 0.8727 |
Publisher’s Note: MDPI stays neutral with regard to jurisdictional claims in published maps and institutional affiliations. |
© 2022 by the authors. Licensee MDPI, Basel, Switzerland. This article is an open access article distributed under the terms and conditions of the Creative Commons Attribution (CC BY) license (https://creativecommons.org/licenses/by/4.0/).
Share and Cite
Ng, R.C.; Castro-Alvarez, A.; Sotomayor-Torres, C.M.; Chávez-Ángel, E. Thermal Rectification and Thermal Logic Gates in Graded Alloy Semiconductors. Energies 2022, 15, 4685. https://doi.org/10.3390/en15134685
Ng RC, Castro-Alvarez A, Sotomayor-Torres CM, Chávez-Ángel E. Thermal Rectification and Thermal Logic Gates in Graded Alloy Semiconductors. Energies. 2022; 15(13):4685. https://doi.org/10.3390/en15134685
Chicago/Turabian StyleNg, Ryan C., Alejandro Castro-Alvarez, Clivia M. Sotomayor-Torres, and Emigdio Chávez-Ángel. 2022. "Thermal Rectification and Thermal Logic Gates in Graded Alloy Semiconductors" Energies 15, no. 13: 4685. https://doi.org/10.3390/en15134685
APA StyleNg, R. C., Castro-Alvarez, A., Sotomayor-Torres, C. M., & Chávez-Ángel, E. (2022). Thermal Rectification and Thermal Logic Gates in Graded Alloy Semiconductors. Energies, 15(13), 4685. https://doi.org/10.3390/en15134685

