Numerical Simulation of the Flow and Heat Transfer Characteristics of Sweeping and Direct Jets on a Flat Plate with Film Holes
Abstract
:1. Introduction
- (1)
- The internal and external flow structures and cooling effectiveness of the sweeping jet and novel direct jet combined with film holes are studied.
- (2)
- The solid domain and the fluid domain are combined into a flat plate computational domain through “interface” boundary conditions to simulate the leading-edge on the pressure side of actual turbine blades.
- (3)
- The flat plate model computational domain is calculated using the Unsteady Reynolds Averaged Navier Stokes equation (URANS) with the SST k-ω turbulence model for all working conditions.
- (4)
- The effect of four different mass flow rates of coolant (mc = 0.04 g/s, 0.08 g/s, 0.14 g/s, and 0.30 g/s) on the flow and heat transfer characteristics of the sweeping jet and direct jet are investigated.
2. Computational Method
2.1. Geometry Details
2.2. Mesh Procedure
2.3. Boundary Conditions and Numerical Setup
2.4. Validation Analysis
2.5. Grid Independency
3. Results and Discussions
3.1. Flow Structure
3.2. Internal Heat Transfer
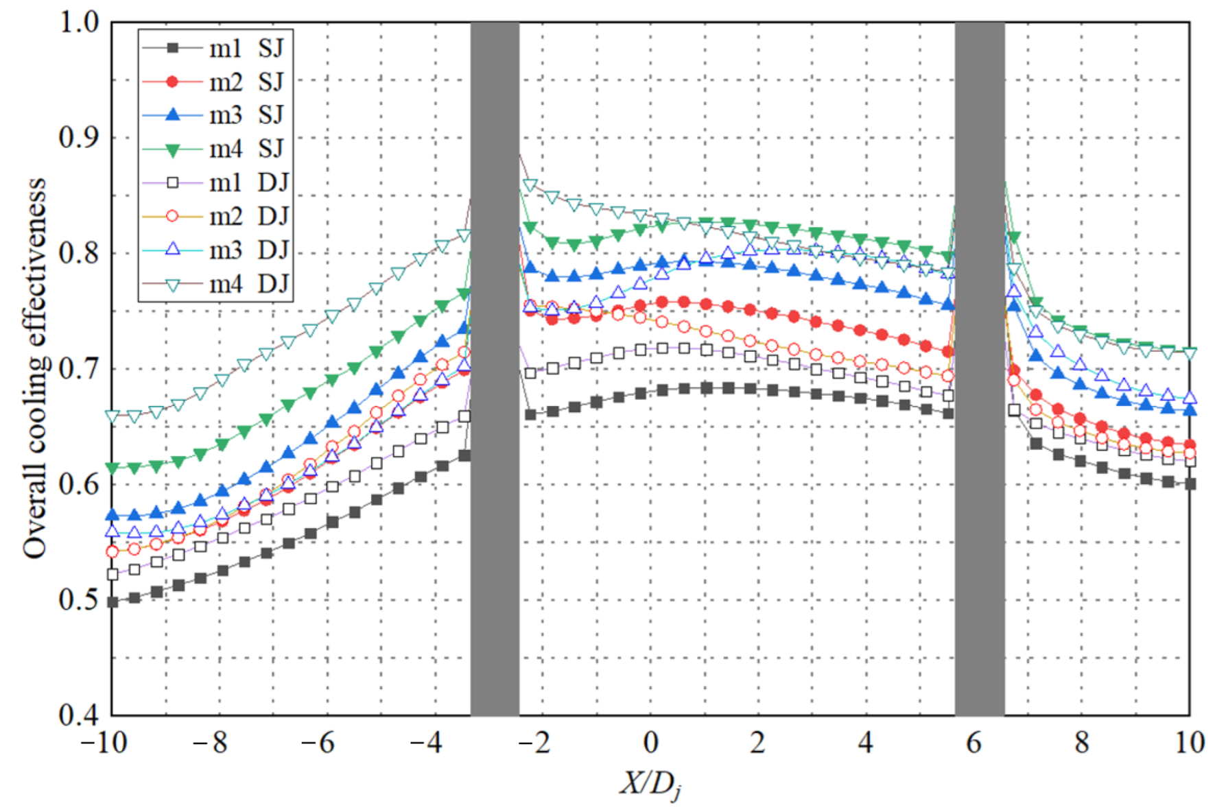
3.3. Overall Cooling Effectiveness
4. Conclusions
- (1)
- With the increase in the blowing ratio, although the supersonic velocity in the domain resulted in the decrease in the deflection angle of the coolant at mc = 0.30 g/s, the sweeping frequency of the fluidic oscillator, the Nu number, and the overall cooling effectiveness increased monotonously in all cases. However, the maximum flow resistance coefficient appeared at mc = 0.30 g/s for the sweeping jet and film composite cooling.
- (2)
- The sweeping jet and film composite cooling had a more uniform heat removal performance but an excessive flow resistance coefficient compared to the direct jet and film composite cooling, especially at a relatively higher mass flow rate (mc = 0.30 g/s in this study). The overall cooling effectiveness of the sweeping jet and film composite cooling was slightly higher than that of the direct jet and film composite cooling only when mc = 0.08 g/s.
- (3)
- The novel direct jet nozzle employed in the present work was formed by the fluidic oscillator, which removed the feedback loops; thus, the pressure loss of the compressible air in it was less than that of the fluidic oscillator. Therefore, the momentum of the direct jet was slightly higher than that of the sweeping jet, and the cooling effectiveness of the direct jet was slightly higher than that of the sweeping jet. However, the direct jet nozzle in the present work had some disadvantages; the direct jet randomly tilted to the left or right because of the Coanda effect when the mass flow was relatively small or large.
Author Contributions
Funding
Institutional Review Board Statement
Informed Consent Statement
Data Availability Statement
Conflicts of Interest
Nomenclature
| Dj | Hydraulic diameter of exit throat [m] |
| Y+ | Non-dimensional distance = (Y·uτ)/υ |
| Y | Thickness of first grid [m] |
| uτ | Shear velocity [m/s] |
| υ | Kinematic viscosity [m2/s] |
| T | Temperature [K] |
| V | Velocity [m/s] |
| P | Pressure [Pa] |
| ρ | Density [kg/m3] |
| Cf | Flow resistance coefficient as given by Equation (1) |
| Nu | Nusselt number as given by Equation (2) |
| qw | Heat flux of impinging surface [J/(m2·s)] |
| λc | Thermal conductivity of coolant [w/(m·K)] |
| f | Frequency of the fluidic oscillator [Hz] |
| η | Overall cooling effectiveness as given by Equation (3) |
| α | Inclination angle of film holes [°] |
| Φ | Phase angle [°] |
| SJ | Sweeping jet |
| DJ | Direct jet |
| St | Strouhal number |
Subscripts
| j | Exit throat of the fluidic oscillator |
| c | Coolant |
| g | Mainstream |
| out | Outlet of mainstream |
| w | Impinging surface |
| in | Inlet |
Appendix A. Coordinate Set
| No. | X | Y | No. | X | Y | No. | X | Y | No. | X | Y |
|---|---|---|---|---|---|---|---|---|---|---|---|
| 1 | 8.13 | 32.50 | 34 | 12.19 | 4.04 | 67 | 5.00 | 0.93 | 100 | 9.69 | 6.84 |
| 2 | 2.19 | 20.84 | 35 | 11.88 | 4.04 | 68 | 5.31 | 0.78 | 101 | 9.38 | 6.84 |
| 3 | 8.75 | 20.84 | 36 | 11.56 | 4.20 | 69 | 5.63 | 0.62 | 102 | 9.06 | 7.00 |
| 4 | 9.38 | 20.68 | 37 | 11.25 | 4.35 | 70 | 5.9375 | 0.62 | 103 | 8.75 | 7.15 |
| 5 | 10.31 | 20.53 | 38 | 10.94 | 4.35 | 71 | 6.25 | 0.47 | 104 | 8.44 | 7.31 |
| 6 | 10.94 | 20.37 | 39 | 10.31 | 4.51 | 72 | 6.56 | 0.31 | 105 | 8.13 | 7.46 |
| 7 | 11.56 | 20.22 | 40 | 10.00 | 4.67 | 73 | 6.88 | 0.16 | 106 | 8.13 | 12.28 |
| 8 | 12.19 | 20.06 | 41 | 9.69 | 4.67 | 74 | 7.19 | 0.00 | 107 | 7.81 | 12.44 |
| 9 | 12.81 | 19.90 | 42 | 9.38 | 4.67 | 75 | 0.00 | 0.00 | 108 | 7.81 | 12.91 |
| 10 | 13.13 | 19.75 | 43 | 9.06 | 4.51 | 76 | 5.94 | 18.04 | 109 | 7.50 | 13.06 |
| 11 | 13.44 | 19.59 | 44 | 8.75 | 4.35 | 77 | 6.88 | 18.04 | 110 | 7.50 | 13.37 |
| 12 | 13.75 | 19.44 | 45 | 8.44 | 4.20 | 78 | 7.19 | 18.04 | 111 | 7.19 | 13.53 |
| 13 | 14.06 | 19.28 | 46 | 8.13 | 4.04 | 79 | 7.50 | 18.04 | 112 | 7.19 | 13.68 |
| 14 | 14.38 | 19.13 | 47 | 7.81 | 3.89 | 80 | 7.81 | 17.89 | 113 | 6.88 | 13.84 |
| 15 | 14.69 | 18.97 | 48 | 7.50 | 3.73 | 81 | 8.13 | 17.73 | 114 | 6.88 | 14.00 |
| 16 | 15.00 | 18.82 | 49 | 7.19 | 3.58 | 82 | 8.44 | 17.73 | 115 | 6.56 | 14.15 |
| 17 | 15.31 | 18.66 | 50 | 6.88 | 3.42 | 83 | 8.75 | 17.57 | 116 | 6.25 | 14.30 |
| 18 | 15.63 | 18.50 | 51 | 6.56 | 3.27 | 84 | 9.06 | 17.42 | 117 | 6.25 | 14.46 |
| 19 | 15.94 | 18.35 | 52 | 6.25 | 3.11 | 85 | 9.38 | 17.26 | 118 | 5.94 | 14.77 |
| 20 | 16.25 | 18.19 | 53 | 5.63 | 2.95 | 86 | 9.69 | 17.11 | 119 | 5.63 | 14.93 |
| 21 | 16.56 | 18.04 | 54 | 3.13 | 2.95 | 87 | 10.00 | 16.95 | 120 | 5.63 | 15.08 |
| 22 | 16.56 | 17.88 | 55 | 2.81 | 2.80 | 88 | 10.31 | 16.79 | 121 | 5.31 | 15.24 |
| 23 | 16.88 | 17.57 | 56 | 2.50 | 2.64 | 89 | 10.63 | 16.64 | 122 | 5.31 | 15.71 |
| 24 | 17.19 | 17.26 | 57 | 2.19 | 2.49 | 90 | 10.94 | 16.48 | 123 | 5.00 | 15.86 |
| 25 | 17.50 | 16.95 | 58 | 2.19 | 2.33 | 91 | 10.94 | 16.17 | 124 | 5.00 | 16.17 |
| 26 | 17.50 | 5.29 | 59 | 2.50 | 2.18 | 92 | 11.25 | 16.02 | 125 | 4.69 | 16.33 |
| 27 | 17.19 | 4.98 | 60 | 2.81 | 2.02 | 93 | 11.25 | 15.55 | 126 | 4.69 | 16.64 |
| 28 | 16.88 | 4.82 | 61 | 3.13 | 1.87 | 94 | 11.56 | 15.39 | 127 | 4.38 | 16.79 |
| 29 | 16.56 | 4.67 | 62 | 3.44 | 1.71 | 95 | 11.56 | 6.84 | 128 | 4.38 | 17.11 |
| 30 | 16.25 | 4.51 | 63 | 3.75 | 1.56 | 96 | 11.25 | 6.69 | 129 | 4.06 | 17.26 |
| 31 | 15.94 | 4.35 | 64 | 4.06 | 1.40 | 97 | 10.94 | 6.53 | |||
| 32 | 15.63 | 4.20 | 65 | 4.38 | 1.24 | 98 | 10.31 | 6.53 | |||
| 33 | 15.31 | 4.04 | 66 | 4.69 | 1.09 | 99 | 10.00 | 6.67 |
References
- Hollworth, B.R.; Dagan, L. Arrays of Impinging Jets with Spent Fluid Removal through Vent Holes on the Target Surface—Part 1: Average Heat Transfer. J. Eng. Power 1980, 102, 994–999. [Google Scholar] [CrossRef]
- Ekkad, S.V.; Huang, Y.; Han, J.C. Impingement Heat Transfer on a Target Plate with Film Cooling Holes. J. Thermophys. Heat Transf. 1999, 13, 522–528. [Google Scholar] [CrossRef]
- Huber, A.M.; Viskanta, R. Effect of jet-jet spacing on convective heat transfer to confined, impinging arrays of axisymmetric air jets. Int. J. Heat Mass Transf. 1994, 37, 2859–2869. [Google Scholar] [CrossRef]
- Metzger, D.E.; Bunker, R.S. Local Heat Transfer in Internally Cooled Turbine Airfoil Leading Edge Regions: Part II—Impingement Cooling With Film Coolant Extraction. J. Turbomach. 1990, 112, 459–466. [Google Scholar] [CrossRef]
- Taslim, M.E.; Pan, Y.; Spring, S.D. An Experimental Study of Impingement on Roughened Airfoil Leading-Edge Walls with Film Holes. In Proceedings of the ASME Turbo Expo 2001: Power for Land, Sea, and Air, New Orleans, LA, USA, 4–7 June 2001; p. GT2002-30477. [Google Scholar]
- Ravelli, S.; Dobrowolski, L.; Bogard, D.G. Evaluating the Effects of Internal Impingement Cooling on a Film Cooled Turbine Blade Leading Edge. In Proceedings of the ASME Turbo Expo 2010: Power for Land, Sea, and Air, Glasgow, UK, 14–18 June 2010; pp. 1655–1665. [Google Scholar]
- Guo, Q.L.; Liu, C.L.; Zhu, H.R.; Liu, H.Y.; Wang, R.D.; Gao, C. Investigation on the Leading Edge Film Cooling of Counter-Inclined Cylindrical and Laid-Back Holes With and Without Impingement: Part I—Film Cooling Effectiveness. In Proceedings of the ASME Turbo Expo 2018: Turbomachinery Technical Conference and Exposition, Oslo, Norway, 11–15 June 2018; p. GT2018-76061. [Google Scholar]
- Mathew, S.; Ravelli, S.; Bogard, D.G. Evaluation of CFD Predictions Using Thermal Field Measurements on a Simulated Film Cooled Turbine Blade Leading Edge. J. Turbomach. 2012, 135, 011021. [Google Scholar] [CrossRef] [Green Version]
- Hussain, S.; Ismael, M.A.; Chamkha, A.J. Impinging jet into an open trapezoidal cavity partially filled with a porous layer. Int. Commun. Heat Mass Transf. 2020, 118, 104870. [Google Scholar] [CrossRef]
- Selimefendigil, F.; Chamkha, A.J. Cooling of an isothermal surface having a cavity component by using CuO-water nano-jet. Int. J. Numer. Methods Heat Fluid Flow 2020, 30, 2169–2191. [Google Scholar] [CrossRef]
- Selimefendigil, F.; Oztop, H.F.; Chamkha, A.J. Jet Impingement Heat Transfer of Confined Single and Double Jets with Non-Newtonian Power Law Nanofluid under the Inclined Magnetic Field Effects for a Partly Curved Heated Wall. Sustainability 2021, 13, 5086. [Google Scholar] [CrossRef]
- Hossain, M.A.; Agricola, L.; Ameri, A. Effects of Curvature on the Performance of Sweeping Jet Impingement Heat Transfer. In Proceedings of the 2018 AIAA Aerospace Sciences Meeting, Kissimmee, FL, USA, 8–12 January 2018. [Google Scholar]
- Hossain, M.A.; Agricola, L.; Ameri, A.; Gregory, J.W.; Bons, J.P. Effects of Exit Fan Angle on the Heat Transfer Performance of Sweeping Jet Impingement. In Proceedings of the 2018 International Energy Conversion Engineering Conference, Cincinnati, OH, USA, 9–11 July 2018. [Google Scholar]
- Stouffer, R.D. Oscillating Spray Device. U.S. Patent 4151955, 1 May 1979. [Google Scholar]
- Hossain, M.A.; Prenter, R.; Lundgreen, R.K.; Ameri, A.; Gregory, J.W.; Bons, J.P. Experimental and Numerical Investigation of Sweeping Jet Film Cooling. J. Turbomach. 2017, 140, 031009. [Google Scholar] [CrossRef] [Green Version]
- Hossain, M.A.; Asar, M.E.; Gregory, J.W.; Bons, J.P. Experimental Investigation of Sweeping Jet Film Cooling in a Transonic Turbine Cascade. J. Turbomach. 2020, 142, 041009. [Google Scholar] [CrossRef]
- Hossain, M.A.; Ameri, A.; Gregory, J.W.; Bons, J.P. Sweeping Jet Film Cooling at High Blowing Ratio on a Turbine Vane. J. Turbomach. 2020, 142, 121010. [Google Scholar] [CrossRef]
- Hossain, M.A.; Agricola, L.; Ameri, A.; Gregory, J.W.; Bons, J.P. Sweeping Jet Film Cooling on a Turbine Vane. J. Turbomach. 2019, 141, 031007. [Google Scholar] [CrossRef]
- Wu, Y.; Yu, S.; Zuo, L. Large eddy simulation analysis of the heat transfer enhancement using self-oscillating fluidic oscillators. Int. J. Heat Mass Transf. 2019, 131, 463–471. [Google Scholar] [CrossRef]
- Osorio, A.; Hodges, J.; Zawati, H.; Fernandez, E.J.; Kapat, J.S.; Rodriguez, J. Impact of Sweeping Jet on Area-Averaged Impingement Heat Transfer. In Proceedings of the ASME Turbo Expo 2019: Turbomachinery Technical Conference and Exposition, Phoenix, AZ, USA, 17–21 June 2019. [Google Scholar]
- Kim, S.; Kim, H.D.; Kim, K. Measurement of two-dimensional heat transfer and flow characteristics of an impinging sweeping jet. Int. J. Heat Mass Transf. 2019, 136, 415–426. [Google Scholar] [CrossRef]
- Hossain, M.A.; Ameri, A.; Gregory, J.W.; Bons, J.P. Turbine Vane Leading Edge Impingement Cooling with a Sweeping Jet. In Proceedings of the ASME Turbo Expo 2018 Turbomachinery Technical Conference and Exposition, Oslo, Norway, 11–15 June 2018. [Google Scholar]
- Hossain, M.A.; Agricola, L.; Ameri, A.; Gregory, J.; Bons, J. Sweeping jet impingement heat transfer on a simulated turbine vane leading edge. J. Glob. Power Propuls. Soc. 2018, 2, 402–414. [Google Scholar] [CrossRef]
- Zhang, X.D.; Liu, J.J.; An, B.T. The investigations of slot film outflow used on the laminated cooling configuration. Int. J. Heat Mass Transf. 2019, 141, 1078–1086. [Google Scholar] [CrossRef]
- Menter, F.R. Two-equation eddy-viscosity turbulence models for engineering applications. AIAA J. 1994, 32, 1598–1605. [Google Scholar] [CrossRef] [Green Version]
- Liu, Z.; Ye, L.; Wang, C.; Feng, Z. Numerical simulation on impingement and film composite cooling of blade leading edge model for gas turbine. Appl. Therm. Eng. 2014, 73, 1432–1443. [Google Scholar] [CrossRef]
- Agricola, L.; Prenter, R.; Lundgreen, R.; Hossain, M.; Ameri, A.; Gregory, J.; Bons, J. Impinging Sweeping Jet Heat Transfer. In Proceedings of the 53rd AIAA/SAE/ASEE Joint Propulsion Conference, Atlanta, GA, USA, 10–12 July 2017. [Google Scholar]
- von Gosen, F.; Ostermann, F.; Woszidlo, R.; Nayeri, C.; Paschereit, C.O. Experimental Investigation of Compressibility Effects in a Fluidic Oscillator. In Proceedings of the 53rd AIAA Aerospace Sciences Meeting, Kissimmee, FL, USA, 5–9 January 2015. [Google Scholar]
- Park Tongil; Kara Kursat; Kim Daegyoum, Flow structure and heat transfer of a sweeping jet impinging on a flat wall. Int. J. Heat Mass Transf. 2018, 124, 920–928. [CrossRef]











| Mainstream temperature, Tg | 600 K |
| Mainstream inlet velocity, Vin,g | 20 m/s |
| Outlet static pressure, Pout | 101,325 Pa |
| Coolant flow inlet temperature, Tc | 300 K |
| Turbulence intensity, Tu | 1% |
| Mass flow rate, mc | m1 = 0.04 g/s m2 = 0.08 g/s m3 = 0.14 g/s m4 = 0.30 g/s |
| Turbulence Model | St |
|---|---|
| SST k-ω | 0.0601 |
| Standard k-ε | 0.0590 |
| RNG k-ε | 0.0608 |
| Experiment data | 0.0602 |
| mc | SJ | DJ |
|---|---|---|
| 0.04 g/s | 17.23 | 12.32 |
| 0.08 g/s | 72.56 | 51.02 |
| 0.14 g/s | 217.21 | 133.48 |
| 0.30 g/s | 876.69 | 354.24 |
| mc | SJ | DJ |
|---|---|---|
| 0.04 g/s | 4.87 | 5.69 |
| 0.08 g/s | 9.01 | 10.02 |
| 0.14 g/s | 14.08 | 15.12 |
| 0.30 g/s | 25.24 | 22.10 |
| mc | SJ | DJ |
|---|---|---|
| 0.04 g/s | 0.6247 | 0.6492 |
| 0.08 g/s | 0.6807 | 0.6744 |
| 0.14 g/s | 0.7164 | 0.7144 |
| 0.30 g/s | 0.7576 | 0.7746 |
Publisher’s Note: MDPI stays neutral with regard to jurisdictional claims in published maps and institutional affiliations. |
© 2022 by the authors. Licensee MDPI, Basel, Switzerland. This article is an open access article distributed under the terms and conditions of the Creative Commons Attribution (CC BY) license (https://creativecommons.org/licenses/by/4.0/).
Share and Cite
Kong, X.; Zhang, Y.; Li, G.; Lu, X.; Zhu, J.; Xu, J. Numerical Simulation of the Flow and Heat Transfer Characteristics of Sweeping and Direct Jets on a Flat Plate with Film Holes. Energies 2022, 15, 4470. https://doi.org/10.3390/en15124470
Kong X, Zhang Y, Li G, Lu X, Zhu J, Xu J. Numerical Simulation of the Flow and Heat Transfer Characteristics of Sweeping and Direct Jets on a Flat Plate with Film Holes. Energies. 2022; 15(12):4470. https://doi.org/10.3390/en15124470
Chicago/Turabian StyleKong, Xiangcan, Yanfeng Zhang, Guoqing Li, Xingen Lu, Junqiang Zhu, and Jinliang Xu. 2022. "Numerical Simulation of the Flow and Heat Transfer Characteristics of Sweeping and Direct Jets on a Flat Plate with Film Holes" Energies 15, no. 12: 4470. https://doi.org/10.3390/en15124470
APA StyleKong, X., Zhang, Y., Li, G., Lu, X., Zhu, J., & Xu, J. (2022). Numerical Simulation of the Flow and Heat Transfer Characteristics of Sweeping and Direct Jets on a Flat Plate with Film Holes. Energies, 15(12), 4470. https://doi.org/10.3390/en15124470
