Next Article in Journal
Lattice Boltzmann Modeling of Spontaneous Imbibition in Variable-Diameter Capillaries
Previous Article in Journal
An Experimental Study of Drift Caused by Partial Shading Using a Modified DC-(P&O) Technique for a Stand-Alone PV System
 
 
Font Type:
Arial Georgia Verdana
Font Size:
Aa Aa Aa
Line Spacing:
Column Width:
Background:
Article

Experimental Investigation of Heat Transfer and Flow Characteristics of Split Natural Cooling System for Data Center Based on Micro Heat Pipe Array

1
Beijing Key Laboratory of Green Built Environment and Energy Efficient Technology, Beijing University of Technology, Beijing 100124, China
2
MOE Key Laboratory of Enhanced Heat Transfer and Energy Conservation, Beijing Key Laboratory of Heat Transfer and Energy Conversion, Beijing University of Technology, Beijing 100124, China
*
Author to whom correspondence should be addressed.
Energies 2022, 15(12), 4250; https://doi.org/10.3390/en15124250
Submission received: 26 April 2022 / Revised: 21 May 2022 / Accepted: 7 June 2022 / Published: 9 June 2022
(This article belongs to the Section G: Energy and Buildings)

Abstract

This paper presents a new type of split natural cooling system that maximizes the use of natural cold energy to significantly reduce the power consumption of the air conditioning system in data centers. A split natural cooling system module, which consisted of indoor and outdoor heat exchanger based on micro heat pipe arrays connected by liquid circulation system, was selected for experimental research. The heat transfer process and flow characteristics were analyzed under different outdoor environment temperatures, air and water flow rates, and different ratios of heat transfer components (N) of indoor and outdoor heat exchangers. To improve the utilization of natural cold energy, two kinds of heat dissipation conditions, namely room and heat channel-based, were proposed. The indoor temperature of two conditions at 28 °C and 38 °C were simulated in the laboratory at constant temperature-humidity, respectively. Results indicated that the air flow rate had a greater influence on the heat transfer performance than the water flow rate. The pressure drop of the air and water sides was at a lower level, and the fitting curve of the pressure drop was obtained to provide a reference for the heat exchanger design and equipment selection. When the ratio of heat transfer components (N) of the indoor and outdoor heat exchanger was approximately 0.75, the split natural cooling system showed optimal comprehensive performance. Under heat channel-based conditions, the maximum heat transfer rate reached 12.4 kW, and the maximum energy efficiency ratio was 17.15; the maximum heat transfer rate and the maximum energy efficiency ratio increased by 42.5% and 22.64% compared with the room-based condition, respectively. The fitting curve of the energy efficiency ratio was calculated under different outdoor temperatures at two heat dissipation conditions.

1. Introduction

The increasing heat dissipation of equipment in a data center greatly increases the energy consumption of the air conditioning (AC) system [1,2,3,4]. The American Society of Heating, Refrigerating, and Air-Conditioning Engineers (ASHRAE) has proposed that the indoor temperature of medium-sized data centers should be controlled within 28 °C and the humidity should be maintained at about 40% [5]. The AC system of data centers works continuously throughout the year for 8760 h with huge energy consumption [6,7,8]. Thus, improving the cooling efficiency of data centers is important [9].
Technologies using natural cold energy in data centers reduce power consumption [10,11]. The application of a natural cooling energy in a data center is mainly divided into three categories [12,13], which are: (i) room-based heat dissipation for the overall environment throughout the space; (ii) heat channel-based heat dissipation between servers and cabinets; and (iii) chip and rack-based heat dissipation. The complicated third heat dissipation condition requires top design according to the structural characteristics of different chips [14]. The simple forms of room-based and heat channel-based heat dissipations are more suitable for energy saving in data centers.
As the simplest form of natural cold energy, the direct free air-cooling system can improve the utilization of natural cold energy effectively and reduce the comprehensive costs [15,16]. However, a data center is subjected to risks that include cleanliness, humidity, and the temperature variation of outdoor cold air [17]. According to Ham [18] and Siriwardana [19], indirect kinds of air-side economizers are used to introduce outside air with the desired air supply conditions by exploiting cool and dry climate conditions. The results show that the total cooling energy saved by the economizers increases by 42% compared to conventional cooling systems in data centers. However, these types are constrained by high outdoor temperature and humidity requirements of air flow; moreover, the economizers are too large to meet the requirements of the heat transfer area [20,21]. The air-cooled chillers are gradually replaced by water-cooled chillers due to their low efficiency, and a large redundancy is necessary to ensure the reliability and stability of data centers [22,23]. Other studies have proposed the combination of an open or closed cooling tower with different heat exchanger equipment on the indoor side [24,25]. The open cooling tower has the best direct cooling effect, but the system needs additional water. Moreover, when the outdoor environment temperature is low, the frozen problem is difficult to overcome, the heat transfer performance of a closed cooling tower is slightly insufficient, and the pipeline resistance is large. These factors waste resources and increase initial investment. Li et al. [26] have used natural cold energy to save energy according to the temperature variations of different seasons and have verified the energy saving effect of air conditioning systems in the climate of Northern China.
The multiple combinations of the economizer and water/air-cooled chiller system and the combined cooling heating and power system are proposed to use further energy [27,28,29]. The complexity of the above cooling technology needs intelligent variable frequency controls, which require the quantitative understanding of their economic benefits [30,31,32].
Therefore, natural cold energy application has become very important in the data center. To enhance the heat transfer capacity and the uniformity of the temperature distribution, numerous scholars have applied heat pipe cooling systems to data centers. Scholars [33,34] have proposed a split heat pipe heat exchanger system in which the mismatch degree is reduced by increasing the heat pipe series. In addition, the heat transfer efficiency of a three-stage heat pipe system is less than 65%. Han et al. [35] have developed an integrated system, which combines a split heat pipe with air conditioning. The energy efficiency ratio (EER) can reach 9.43 when the difference between the indoor and outdoor temperatures is 20 °C. Feng et al. [36] have proposed a pump-driven loop heat pipe (PLHP) system to overcome the resistance of refrigerant circulation for free cooling; the annual energy saving is about 30% and the payback period is about 4 years. Moreover, the cooling efficiency of the split loop heat pipe is evidently higher than mechanical refrigeration for cooling data center [37,38]. However, the above heat pipe system is directly affected by the mismatch between pipeline length and liquid filling rate, resulting in the impact on heat transfer capacity and system stability.
Zhao et al. [39] proposed a micro heat pipe array (MHPA) with flat shape, which enhances the heat transfer rate and increases the contact area [40,41,42]. Wang [43,44] has studied the heat transfer performance of heat exchangers with different kinds of fins and different arrangement modes. The results show that the number of rows on the windward side of the heat exchanger and the number of rows along the length direction have a great influence on the heat transfer performance and resistance performance, and the type of serrated fins show a better performance than the flat, perforated, corrugated, and louver types. Liang et al. [45] have improved the structure of an air–air heat exchanger based on MHPA with welded serrated fins to enhance the heat transfer—the highest heat transfer efficiency reaches 71%. According to these studies, a series of heat exchangers with MHPA as the core component exhibits a better performance.
This study proposes the application of a new type of split natural cooling system (SNCS) consisting of indoor and outdoor air–water heat exchangers (AWHE) to data centers by using natural cooling energy to reduce energy consumption. The SNCS has the following advantages:
(i)
On the air side of AWHE, the MHPA combined with serrated fins on its surface possesses a large convective heat transfer area. The problem of the small contact area between conventional round heat pipes and fins is solved. The air flow disturbance is enhanced and energy efficiency improves;
(ii)
On the water side of AWHE, the flat-plate appearance of a parallel flow tube (PFT) can increase the contact area more effectively with the MHPA. The convective heat transfer area is greatly increased by dozens of independent tiny porous channels to reduce the thermal resistance of heat transfer;
(iii)
The disassembly and assembly of the AWHE with a compact structure are simple, and the material of each part of the AWHE is made of light aluminum;
(iv)
The simple application of SNCS in different areas, which can choose water or glycol antifreeze instead of refrigerants as the circulating medium, is not limited by transmission distance. The water-cooled system is relatively flexible and reliable because it has no icing and a direct connection with the servers and electronic equipment.
According to the super thermal conductivity of the micro heat pipe array, the split natural cooling system can improve the indoor and outdoor heat transfer efficiency, improve the heat exchange capacity and the utilization time of natural cold energy, in order to minimize the energy consumption of air conditioning system.
The Enthalpy Potential Method Laboratory is used to simulate two heat dissipation conditions of indoor temperature at 28 °C and 38 °C. The heat transfer characteristics, pressure drop, power consumption, and EER of an SNCS module under different outdoor environment temperatures, air and water flow rates, and different ratios of heat transfer components (N) of indoor and outdoor MHPA–AWHEs, are studied. The comprehensive performance of the SNCS module provides a reference for its application in data centers.

2. Experimental Investigation

2.1. Split Natural Cooling System

The new type of split natural cooling system (SNCS) consists of indoor and outdoor MHPA–AWHEs, and each side is combined with the water-cooled circulation loop. It avoids the direct contact between indoor and outdoor air and overcomes the influence of cleanliness, humidity and other unstable factors of a data center. As shown in Figure 1, the hot air is sent to the indoor MHPA-AWHE through the centrifugal fan, and then the heat transfer to the outdoor MHPA-AWHE through the liquid circulation is finally sent back to the data center after cooling by the natural cooling system. The composition will be introduced and displayed in order from parts to the whole system.

2.2. MHPA–AWHE

The core heat transfer unit of AWHE is the MHPA. The MPHA consists of several capillary microgroove structures working independently. One or two damaged micro heat pipes will not affect the overall performance. The filling fluid is R141b, the filling rate is at about 20%. The working fluid by complex phase transformation in a vacuum state ensures the high performance of heat transfer and uniform temperature distribution, as shown in Figure 2. The width and length of the MHPA are 80 mm and 1000 mm and the thickness is only 3 mm. The serrated fins on the MHPA’s surface can increase the heat transfer area and enhance the air flow disturbance. The height and width of each serrated fin are 12 mm and 3 mm, and the thickness is 0.2 mm.
The parallel flow tube (PFT) is another heat transfer unit with 22 tiny porous channels and is flat and easy to fit with the MHPA. The width and height of each channel are 4.5 mm and 4 mm, and the thickness is 1.2 mm, as shown in Figure 3a. The width and length of PFT are 820 and 120 mm. The microgroove structure of the inner wall can enlarge the convective heat transfer area. A heat transfer component of MHPA–AWHE is composed of 1 PFT and 10 MHPAs with serrated fins, as shown in Figure 3b.
The indoor and outdoor MHPA–AWHEs have the same principle with different forms. According to theoretical calculation, the experimental indoor MHPA–AWHE consists of 12 rows of heat exchanger components. Each row of the heat exchanger component is fixed by a comb-like roof that is easy to install, as shown in Figure 4. The MHPA with a serrated fin on the air side is the evaporation section, and the MHPA pasted with PFT by silica gel on the water side is the condensation section. In contrast, the outdoor MHPA–AWHE on the air side is the condensation section, and the evaporation section of the MHPA is on the water side. The three forms of outdoor MHPA–AWHE are 12, 16, and 20 rows of heat exchanger components. The three types of SNCS during the experiment are studied, and the different types with different N are shown in Table 1.

2.3. The Form of Its Application

The new type of split natural cooling system (SNCS) consists of indoor and outdoor MHPA–AWHEs, and each side is combined with the water-cooled circulation loop. According to the super thermal conductivity of MHPA, the SNCS can improve the heat exchange capacity and the utilization time of natural cold energy; it only needs little energy consumption of fans and pumps to reduce the consumption of the air conditioning compressor in order to minimize the energy consumption of air conditioning system.
The SNCS is mainly used for energy saving in small and medium-sized data centers, and two forms of its application are presented: (i) The room-based form of heat source temperature at 28 °C is relatively a simple form throughout the space, as shown in Figure 5a; (ii) A heat channel-based form of heat source temperature at 38 °C between server cabinets is shown in Figure 5b.
In winter and transition seasons, the SNCS transmits heat energy from indoors to outdoors. Cooled air is delivered back to AC to reduce the working time and power consumption of AC. Then, the air is sent to each server by the underfloor ventilation systems. Several advantages of the heat channel-based form over the room-based form include: (i) a widely used temperature difference between the indoor side and the outdoor side; (ii) a higher heat transfer rate and energy efficiency ratio (EER); and (iii) fewer indoor MHPA–AWHEs can meet the cooling load of the data center.

2.4. Experimental System

The experimental SNCS consists of four sections: indoor and outdoor heat transfer, liquid circulation, and a data acquisition section, as shown in Figure 6.
The indoor and outdoor heat transfer sections have the same experimental equipment: MHPA–AWHEs, frequency conversion centrifugal fans, air handling units, and wind resistance monitors. The closed water-cooled circulation carries heat energy from indoor to outdoor MHPA–AWHE. The differential pressure transmitters are used to measure the pressure drop on the air side and the water side. The acquisition equipment records data every 10 s. The power monitor measures the power consumption of the water pump and fans. The temperature is measured by a thermocouple and thermal resistance. Four thermal resistors are used to monitor the water temperature of the inlet and outlet from inside and outside of the room The test equipment and parameters are showed in Table 2.

2.5. Experimental Method

The different air flow rates on the air side of indoor and outdoor MHPA-AWHE are 1000, 1500, 2000, 2500, and 3000 m3/h, respectively; the air flow rate of indoor and outdoor MHPA–AWHEs remain the same. The different flow rates on the water side are 400, 600, 800, 1000, and 1200 L/h, respectively. The outdoor temperature is set at −15 °C, −10 °C, −5 °C, 0 °C, 5 °C, 10 °C, and 15 °C, respectively. During the experiment, comprehensive performances are analyzed. The thermal performance, pressure drop, and EER are analyzed under the two different heat dissipation conditions and the SNCS module at different N.

2.6. Evaluation Index of the SNCS

2.6.1. Heat Transfer Rate and Loss Percentage

The heat transfer rate determines the heat exchange capacity of the heat exchanger. This rate includes indoor and outdoor air- and water-side. The heat loss percentage Δβ is used to measure the level of heat loss and heat balance of each side. The expressions are as follows:
Heat transfer rate of the air and water sides of indoor MHPA–AWHE:
Q I N , a = c I N , a ρ I N , a q V , I N , a ( T I N , a , i T I N , a , o )
Q I N , w = c I N , w ρ I N , w q V , I N , w ( T I N , w , o T I N , w , i ) .
Heat transfer rate of the air and water sides of outdoor MHPA–AWHE:
Q O U T , a = c O U T , a ρ O U T , a q V , O U T , a ( T O U T , a , o T O U T , a , i )
Q O U T , w = c O U T , w ρ O U T , w q V , O U T , w ( T O U T , w , i T O U T , w , o ) .
Heat loss percentage:
β = Q Q A V E Q A V E ,
where QAVE is the average value of heat transfer rates of the indoor and outdoor air and water side.

2.6.2. Thermal Resistance of MHPA–AWHE

The total thermal resistance of MHPA–AWHE determines heat transfer performance. Here, the log mean temperature difference (LMTD) and the total thermal resistance (R) of indoor and outdoor MHPA–AWHEs are obtained according to the temperature distribution of the air and water sides. To analyze the balance and rationality of the combination of the indoor and outdoor MHPA–AWHEs of the SNCS, the ratio of the heat transfer units of the indoor to outdoor MHPA–AWHE is represented by N.
The LMTD of the indoor and outdoor MHPA–AWHEs is:
LMTD = | T a , i T w , o | | T a , o T w . i | l n ( | T a , i T w , o | / | T a , o T w . i | ) .
The thermal resistance of indoor and outdoor MHPA–AWHEs is:
R I N = LMTD I N Q I N
R O U T = LMTD O U T Q O U T .
The ratio of the heat transfer units of indoor to outdoor MHPA–AWHE is:
N = n I N n O U T ,
where nIN and nOUT are the rows of heat transfer units of indoor and outdoor MHPA–AWHEs, respectively.

2.6.3. Convection Heat Transfer of Air and Water Sides

The convective heat transfer coefficient of the air and water sides of the heat exchanger is influenced by different kinds of fins and structures. The greater the disturbance degree and velocity of the fluid are, the stronger the convective heat transfer ability is.
The convective heat transfer coefficient of the air-side is:
h a = Q a A a ( T a T e ) .
The convective heat transfer coefficient of the water side is:
h w = Q w A w ( T c T w ) .

2.6.4. EER of the SNCS

EER shows the refrigeration performance coefficient of the cooling system. The higher the EER is, the more heat is absorbed or the less electric power is consumed. Here, the electric power of the fan and pump is used as the input and the heat dissipation is the output of the SNCS. EER is used to evaluate the output–input ratio, as follows:
EER = Q A V E E I N , f + E O U T , f + E p ,
where EIN,f and EOUT,f correspond to the power consumption of fans of the SNCS, and Ep is the power consumption of the pump.

2.7. Uncertainty Analysis

The error caused by the precision of instruments and equipment in the experiment is called systematic error. The indirect error is calculated by error transfer formula. If y is a function of the independent variables x1, x2, x3, …, xn, the uncertainty of y is calculated as follows, and the results are shown in Table 3:
δ y = [ ( y x 1 δ x 1 ) 2 + ( y x 2 δ x 2 ) 2 + + ( y x n δ x n ) 2 ] 1 2 .

3. Result and Discussion

3.1. Performance of the SNCS under Room-Based Condition

3.1.1. Heat Loss Performance

The heat losses under different inlet water temperatures are analyzed by changing the air and water flow rates. As shown in Figure 7, the heat transfer rate decreases linearly with the increase of the outdoor environment temperature. The average heat loss percentage is 8.7% when qV,a is 3000 m3/h and qV,w is 1200 L/h. As shown in Table 4, heat loss percentages are influenced by qV,a and have a slight influence on qV,w. The larger the qV,a is, the larger the heat loss percentage is. The cold air permeability and heat loss increase gradually with the increase of qV,a. During the experiment, the heat loss percentage Δβ is always at a lower level, which is less than 10%.

3.1.2. Thermal Performance of SNCS at N = 1

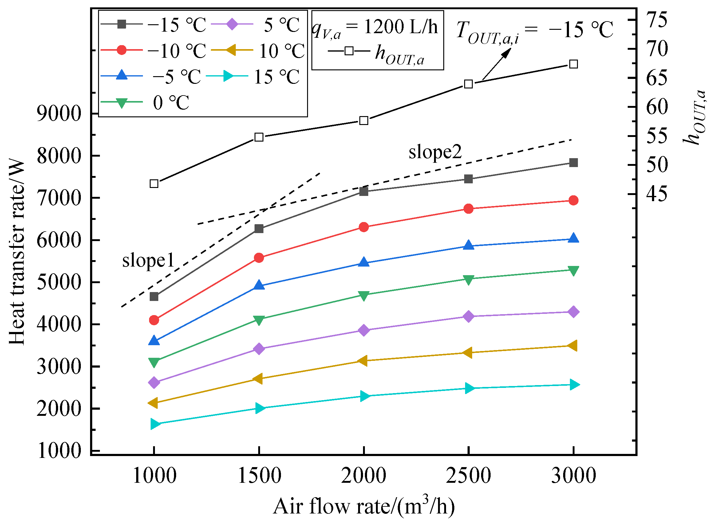
The heat transfer performance of the SNCS at N = 1 is studied to analyze the influence of the flow rate more intuitively. Figure 8 and Figure 9 show the variation of the heat transfer rate and convection heat transfer coefficient under different flow rates and outdoor environment temperatures.
As shown in Figure 8, the outdoor environment temperature at −15 °C is selected for analysis. When qV,a increases, the same trends of the heat transfer rate are observed at different outdoor temperatures. When qV,a is less than 1000 m3/h, the heat transfer rate is at a relatively low level, and the convective heat transfer coefficient is below 46 W/(m2·K). As qV,a increases to 1500 m3/h, the heat transfer rate increases by 34.5% more than that of 1000 m3/h. A larger slope (Slope 1) is noted at this stage; the disturbance of the air flow is enhanced by the serrated fins, and the convective heat transfer coefficient is 54.8 W/(m2·K). As qV,a increases to 3000 m3/h, the growth of the convective heat transfer coefficient slows down, as shown in Slope 2.
As shown in Figure 9, the heat transfer rate increases by 11.5% from 6.68 to 7.45 kW when qV,w increases from 400 to 1200 L/h. The convective heat transfer coefficient fluctuates between 469.7 and 518.2 W/(m2·K) when the outdoor temperature is −15 °C. Hence, qV,w has little influence on heat transfer. The water side has typical laminar flow as the average Re after the calculation is 201 and is lower than the critical Reynolds number (Re = 2300) in the tube during this experiment.
The results show that qV,a is the main factor affecting the heat transfer rate of the SNCS. However, with the increase of outdoor temperatures, the heat transfer performance of the heat exchanger evidently decreases.
According to the low heat transfer rate at higher environment temperatures, the temperature and thermal resistance distribution of SNCS at N = 1 during the heat transfer process are analyzed and optimized. The curve represents the heat transfer process and the arrow represents the direction of heat transfer. The difference between the y- and the x-coordinates of any two points on the curve is the temperature difference and the heat transfer in this process, respectively, as shown in Figure 10. The conditions of qV,w = 1200 L/h and qV,a = 2500 m3/h are selected.
When the outdoor inlet air temperature is −15 °C, the average temperatures of the air-side of the indoor and outdoor MHPA–AWHEs are 23.86 °C and −10.95 °C. The average temperatures of the water-side of the indoor and outdoor MHPA–AWHEs are 11.17 °C and 11.13 °C, respectively, as shown in Figure 10a. The small heat loss of the water sides from the indoor to outdoor MHPA–AWHE is observed, as the temperature difference is only 0.04 °C. However, the temperature of the cooling water is closer to the air temperature of the indoor side than that of the outdoor side. Moreover, the LMTDs of the indoor and outdoor MHPA–AWHEs are 12.69 °C and 22.08 °C, respectively. The total heat transfer thermal resistance of the outdoor MHPA–AWHE is 1.76 times larger than that of the indoor MHPA–AWHE.
As shown in Figure 10b, when the outdoor inlet air temperature is 5 °C, the total heat transfer rate is 4.19 kW, and the temperature of the cooling water is closer to the air temperature of the indoor side than that of outdoor side. Both the LMTD and the total heat transfer thermal resistance of the outdoor MHPA–AWHE are 1.64 times larger than that of the indoor MHPA–AWHE.
Therefore, the heat transfer rate of the outdoor MHPA–AWHE is insufficient, and the combination form of the SNCS is defective. Moreover, the greater the temperature difference between indoor and outdoor is, the more evident the imbalance is. Increasing the rows of the heat transfer units of the outdoor MHPA–AWHE is necessary to enhance the performance of the SNCS.

3.2. Optimization Analysis of SNCS at Different N

3.2.1. Heat Transfer Performance of SNCS at Different N

The form of the indoor MHPA–AWHE composed of 12 rows of heat transfer units remained unchanged. The heat transfer performances of SNCS at N = 1, N = 0.75, and N = 0.6 were compared.
As shown in Figure 11, the heat transfer rate of SNCS at different N evidently increased with the increase of the qV,a. When N = 1, the heat transfer rate finally tended to be gentle. When N = 0.75 and N = 0.6, the heat transfer rates still had a large growth trend during the experiment. As shown in Figure 11a, for example, when the outdoor inlet air temperature was −15 °C, the maximum heat transfer rates of N = 1, N = 0.75, and N = 0.6 were 7.63, 8.70, and 8.91 kW, respectively. The average heat transfer rate under different qV,a of N = 0.75 and N = 0.6 were 13.1% and 14.3% higher than that of N = 1, respectively. The performance under other outdoor inlet air temperatures is seen in Table 5. The smaller the indoor and outdoor temperature difference was, the more evident the difference of the heat transfer rate was.
As shown in Figure 11d, the increase of qV,w occurs when the outdoor inlet air temperatures were −15 °C, −5 °C, and 10 °C. The average heat transfer rates under different water flow rates of N = 0.75 are 10.8%, 14.7%, and 25.2% larger than that of N = 1, respectively. Moreover, the average heat transfer rates under different qV,w of N = 0.6 are nearly the same. Hence, the heat transfer rate basically reached its maximum value when N = 0.75. Thus, continuing to increase the rows of the core component of the outdoor MHPA–AWHE is not helpful.
As can be seen from the temperature distribution diagram in Figure 12a, qV,a = 2500 m3/h and qV,w = 1200 L/h are selected. When the N of the SNCS was 0.75, the LMTD of the indoor and outdoor MHPA–AWHEs were 16.34 °C and 17.07 °C, respectively, and the total heat transfer resistances were 2.02 × 10−3 and 2.11 × 10−3 K/W, respectively. Both indoor and outdoor MHPA–AWHEs were at the same level, which indicated that the heat transfer process of each part of the SNCS reached a balance. When the N of the SNCS is at 0.6, as shown in Figure 12b, little difference is observed in the heat transfer rate and the temperature distribution between N = 0.75 and N = 0.6.
According to the above optimization analysis of SNCS at different N, the combination form of SNCS at N = 0.75 was more reasonable and had a better heat transfer performance with the balanced temperature and thermal resistance distribution.

3.2.2. Flow Characteristics of the Indoor and Outdoor MHPA–AWHEs

The pressure drop directly determined the energy consumption of fans and pumps. The pressure drop and power consumption characteristics of SNCS at different N were analyzed. As shown in Figure 13, the fitting curve of the pressure drop of the air-side increased exponentially, and the power consumption of the fans increased linearly, with qV,a increasing from 1000 to 3000 m3/h. The fitting curves are shown in Table 6. The pressure drop and power consumption of the indoor and outdoor MHPA–AWHEs with 12 rows were basically equal due to the same windward area and air velocity. With the increase of the rows of the outdoor MHPA–AWHE, which caused the windward area to increase and velocity to decrease, the pressure drop and power consumption decrease correspondingly. When qV,a was 3000 m3/h, the maximum pressure drops of outdoor MHPA–AWHE with 12, 16, and 20 rows were 352, 276, and 198 Pa, respectively. The maximum fan power consumption of outdoor MHPA–AWHE with 12, 16, and 20 rows was 296, 268, and 233 W, respectively. The pressure drop and power consumption of MHPA–AWHE with 16 rows were reduced by 27.5% and 8.5% compared with that of MHPA–AWHE with 12 rows.
Figure 14 shows that the fitting curve of the pressure drop of the water-side increases exponentially, and the power consumption of the pump increased linearly with qV,w increasing from 400 to 1200 L/h. The fitting curves of the water side of the SNCS at different N were calculated in Table 7. In contrast, with the increase of the rows of the outdoor heat transfer units, the pressure drop and power consumption increased correspondingly. During the experiment, when qV,w = 1200 L/h, the maximum pressure drops of SNCS at N = 1, N = 0.75, and N = 0.6 were 16.2, 26.1, and 34.6 kPa, respectively. As the rows increase, the number of distribution pipes increased with the local pressure drop. The maximum power consumption of water pumps with 12, 16, and 20 rows was 189, 243, and 288 W, respectively. The pressure drop and power consumption with 16 rows were increased by 61.1% and 28.6%, respectively, compared with that of MHPA–AWHE with 12 rows.
In summary, the pressure drop and power consumption with different air and water flow rates were within the reasonable range of the experiment. With the increase of the rows of heat transfer units, the influence of the pressure drop and power consumption on the water-side was more evident than that on the air-side. The fitting curve of the pressure drop had theoretical support in the heat exchanger design and practical engineering application.

3.2.3. Energy Efficiency Ratio (EER)

The comprehensive performance of SNCS was evaluated by the EER of the heat transfer rate with the pressure drop and total power consumption of fans and pumps.
As shown in Figure 15a–c, qV,w was maintained at 1200 L/h, and the EER of SNCS with different N had the same trend under different qV,a. The EER increased slightly when qV,a was less than 1500 m3/h. As the destruction by serrated fins to the air boundary layer was intensified, the heat transfer was enhanced. The increasing heat transfer rate was greater than the increasing power consumption. As qV,a continued to increase from 1500 to 3000 m3/h, the EER decreased linearly. The increasing pressure drop dominated the comprehensive performance, and the increasing power consumption was larger than the increasing heat transfer rate. When the SNCS at N = 1, N = 0.75, and N = 0.6, the maximum EER was 13.44, 14.01, and 13.2, respectively, when the outdoor temperature is −15 °C. With the increase of rows of heat transfer units, the power consumption of the fans decreased, whereas the power consumption of the water pump increased. The SNCS at N = 0.75 had the largest EER during the experiment.
Figure 15d shows that with the increase of qV,w, EER of the SNCS at different N decreased slightly. Hence, the water flow rate had little influence on the EER of the SNCS at the same N and the same environment temperature. When the outdoor temperature was −15 °C, the average EERs of the SNCS at N = 1, N = 0.75, and N = 0.6 were 11.09, 11.89, and 11.7, respectively. The EER of the SNCS at N = 0.75 was always at the highest level under different environment temperatures.
In the above series of studies, we indicated that under different conditions, EERN=1 < EERN=0.6 < EERN=0.75, the SNCS at N = 0.75 had the best comprehensive performance under different air and water flow rates and outdoor environment temperatures.

3.3. Thermal Performance of SNCS under Heat Channel-Based Condition

Based on the best performance of the SNCS at N = 0.75, this paper proposed the heat dissipation condition at 38 °C in a closed heat channel between server cabinets. The working time of the air conditioner of the SNCS could be further reduced by increasing the range of available temperature difference between indoor and outdoor sides to enhance heat transfer capacity. Given that qV,w had little influence on heat transfer performance, and the pressure drop was basically independent of temperature, the current study focused on the heat transfer performance of two heat dissipations under different qV,a.
As shown in Figure 16, the heat transfer rate of heat dissipation at 38 °C significantly improves compared with that at 28 °C. qV,w was kept at 1200 L/h when qV,a were 1000, 2000, and 3000 m3/h. The maximum heat transfer rates of heat dissipation at 38 °C were 6.72, 9.96, and 12.4 kW, which increased by 14.3%, 32.6%, and 42.5% compared to the heat dissipation at 28 °C, respectively. The larger the temperature difference between indoor and outdoor was, the larger the increase of heat transfer rate of heat dissipation at 38 °C was compared with that at 28 °C. MHPA had a larger thermal conductivity performance under the higher evaporation temperature.
The comprehensive performances were compared under different outdoor temperatures and two heat dissipation conditions. As shown in Figure 17, with the increase of the outdoor temperature, the variation of the EER under two conditions decreased linearly. The overall level of the EER at 38 °C was always higher than that at 28 °C. When qV,a was 1500 m3/h and the outdoor temperature was −15 °C, the maximum EER at 38 °C was 17.15 due to the higher available temperature difference between heat resource and outdoor temperature. This value was an increase of 22.64% compared with the heat dissipation at 28 °C. The fitting curve of the system EER under different environment temperatures of a standard air conditioner (AC) in a data center was obtained through Equation (14). The average EER of a standard AC was 4.89 when the outdoor temperature varied from −15 °C to 15 °C. When the outdoor temperature was higher than 15 °C, the EER of the room-based condition was lower than AC, and the SNCS was no longer recommended. However, when the EER of the heat channel-based condition was always higher than AC, the SNCS still showed a better performance and could be used in a wider temperature range.
EER = 5 . 273 0 . 01125 T O U T 0 . 00049 T O U T 2 0 . 000012 T O U T 3
During the experiment, when qV,a were 1500, 2000, and 2500 m3/h, the SNCS had a larger EER. When qV,a was 1000 m3/h with a lower heat transfer rate and 3000 m3/h with a lower EER, the SNCS was not recommended. The fitting curves of the EER of the SNCS module under two conditions were obtained, as shown in Table 8. The following data provide a reference for the practical application of the curves in different regions.

4. Conclusions

A new kind of split natural cooling system (SNCS) based on a micro heat pipe array that uses natural cold energy efficiently was proposed. The performance of the SNCS was analyzed and optimized comprehensively based on the heat transfer and flow characteristics.
(1) During the heat transfer process, heat loss was less and the air flow rate had a greater influence on the heat transfer performance of the SNCS than the water flow rate. When the air flow rate was larger than 1500 m3/h, the heat transfer was enhanced due to the destruction of serrated fins to the air boundary layer;
(2) The ratio of heat transfer components (N) at about N = 0.75 showed the best thermal performance. The temperatures and thermal resistance distributions of indoor and outdoor MHPA–AWHE were reasonably balanced. The average heat transfer rates were 13.1% higher than that of N = 1;
(3) The pressure drop of the SNCS at N = 0.75 was at a lower level. The maximum pressure drops of the air- and water-sides were 276 Pa and 26.1 kPa, respectively. The fitting curve of the pressure drop was obtained to provide a reference for the heat exchanger design and equipment selection;
(4) Two kinds of heat dissipation conditions—room and heat channel-based—were proposed. The maximum EERs of the heat dissipation at 38 °C and 28 °C were 17.15 and 13.98, respectively, when the air flow rate was 1500 m3/h and the outdoor temperature was −15 °C. The SNCS under the room-based condition was no longer applicable when the outdoor temperature was higher than 15 °C. The SNCS under the heat channel-based condition could be used in a wider temperature range. The fitting curves of the EER of the SNCS module were obtained as a reference for its practical application in different regions.

Author Contributions

Conceptualization, H.J. and Z.Q.; methodology, Y.Z.; software, H.J.; validation, L.W., R.R. and R.D.; formal analysis, H.J.; investigation, Y.W.; resources, Y.W.; data curation, H.J.; writing—original draft preparation, H.J.; writing—review and editing, H.J.; visualization, Z.Q.; supervision, Z.Q.; project administration, Y.Z.; funding acquisition, Y.W. All authors have read and agreed to the published version of the manuscript.

Funding

This research was funded by [the National Natural Science Foundation of China’s Optimization design method of BIPV/T and solar heat pump coupled energy supply system] grant number [51778010].

Institutional Review Board Statement

Not applicable.

Informed Consent Statement

Not applicable.

Acknowledgments

All individuals included in this section have consented to the acknowledgement.

Conflicts of Interest

The authors declare no conflict of interest.

Nomenclature

AWHEair–water heat exchangerNratio of heat transfer component of indoor and outdoor AWHE
MHPAmicro heat pipe array
SNCSsplit natural cooling systemhconvective heat transfer coefficient, W/(m2·K)
PFTparallel flow tube
LMTDlog mean temperature differenceGreek symbols
EERenergy efficiency ratioλthermal conductivity, W/(m·K)
Epower consumption, Wρdensity, kg/m3
cpspecific heat capacity, J/(kg·K)Δdifference
qVvolume flow rate, m3/sβheat loss percentage
Ttemperature, °CΣsum
Qheat transfer rate, WSubscripts
Aarea, m2wwater side
Llength, maair side
Hheight, miinlet
Wwidth, mooutlet
Rthermal resistance, K/WINindoor
ReReynolds numberOUToutdoor
vvelocity, m/sAVEaverage
Ppressure, Pamaxmaximum
nnumber of heat transfer unitsminminimum
Deequivalent diametereevaporation section
ttime, hccondensation section

References

  1. Han, Z.; Wei, H.; Sun, X.; Bai, C.; Xue, D.; Li, X. Study on influence of operating parameters of data center air conditioning system based on the concept of on-demand cooling. Renew. Energy 2020, 160, 99–111. [Google Scholar] [CrossRef]
  2. Zhou, F.; Tian, X.; Ma, G. Investigation into the energy consumption of a data center with a thermosyphon heat exchanger. Chin. Sci. Bull. 2011, 56, 2185–2190. [Google Scholar] [CrossRef]
  3. Garimella, S.V.; Persoons, T.; Weibel, J.; Yeh, L.-T. Technological drivers in data centers and telecom systems: Multiscale thermal, electrical, and energy management. Appl. Energy 2013, 107, 66–80. [Google Scholar] [CrossRef]
  4. Cheung, H.; Wang, S.; Zhuang, C.; Gu, J. A simplified power consumption model of information technology (IT) equipment in data centers for energy system real-time dynamic simulation. Appl. Energy 2018, 222, 329–342. [Google Scholar] [CrossRef]
  5. Chen, F.; Zhou, X.; Liao, S. Energy Saving Model and Calculation Example of Three Cooling Schemes for Data Center in Hot Summer and Cold Winter Area. J. Power Energy Eng. 2021, 9, 20. [Google Scholar]
  6. Gandhi, A.; Yuan, C.; Gmach, D.; Arlitt, M.; Marwah, M. Minimizing data center SLA violations and power consumption via hybrid resource provisioning. Sustain. Comput. Inform. Syst. 2012, 2, 91–104. [Google Scholar]
  7. Cho, J.; Kim, Y. Improving energy efficiency of dedicated cooling system and its contribution towards meeting an energy-optimized data center. Appl. Energy 2016, 165, 967–982. [Google Scholar] [CrossRef]
  8. Silva-Llanca, L.; Ortega, A.; Fouladi, K.; del Valle, M.; Sundaralingam, V. Determining wasted energy in the airside of a perimeter-cooled data center via direct computation of the Exergy Destruction. Appl. Energy 2018, 213, 235–246. [Google Scholar] [CrossRef]
  9. He, Z.; Xi, H.; Ding, T.; Wang, J.; Li, Z. Energy Efficiency Optimization of an Integrated Heat Pipe Cooling System in Data Center Based on Genetic Algorithm. Appl. Therm. Eng. 2020, 182, 115800. [Google Scholar] [CrossRef]
  10. Oró, E.; Taddeo, P.; Salom, J. Waste heat recovery from urban air cooled data centres to increase energy efficiency of district heating networks. Sustain. Cities Soc. 2019, 45, 522–542. [Google Scholar] [CrossRef]
  11. Durand-Estebe, B.; Le Bot, C.; Mancos, J.N.; Arquis, E. Simulation of a temperature adaptive control strategy for an IWSE economizer in a data center. Appl. Energy 2014, 134, 45–56. [Google Scholar] [CrossRef]
  12. Christy, S.D.; Abimannan, S. Energy Efficient Free Cooling System for Data Centers. In Proceedings of the IEEE Third International Conference on Cloud Computing Technology & Science, Athens, Greece, 29 November–1 December 2011. [Google Scholar]
  13. Hosein, M.; Peiying, J.T. Influence of cooling architecture on data center power consumption. Energy 2019, 183, 525–535. [Google Scholar]
  14. Khalaj, A.H.; Halgamuge, S.K. A Review on efficient thermal management of air- and liquid-cooled data centers: From chip to the cooling system. Appl. Energy 2017, 205, 1165–1188. [Google Scholar] [CrossRef]
  15. Sevencan, S.; Göran Lindbergh Lagergren, C.; Alvfors, P. Economic feasibility study of a fuel cell-based combined cooling, heating and power system for a data centre. Energy Build. 2015, 111, 218–223. [Google Scholar] [CrossRef][Green Version]
  16. Oró, E.; Depoorter, V.; Pflugradt, N.; Salom, J. Overview of direct air free cooling and thermal energy storage potential energy savings in data centres. Appl. Therm. Eng. 2015, 85, 100–110. [Google Scholar] [CrossRef]
  17. Endo, H.; Kodama, H.; Fukuda, H.; Sugimoto, T.; Horie, T.; Kondo, M. Effect of climatic conditions on energy consumption in direct fresh-air container data centers. Sustain. Comput. Inform. Syst. 2015, 6, 17–25. [Google Scholar] [CrossRef]
  18. Siriwardana, J.; Jayasekara, S.; Halgamuge, S.K. Potential of air–side economizers for data center cooling: A case study for key Australian cities. Appl. Energy 2013, 104, 207–219. [Google Scholar] [CrossRef]
  19. Dai, J.; Das, D.; Ohadi, M.; Pecht, M. Reliability risk mitigation of free air cooling through prognostics and health management. Appl. Energy 2013, 111, 104–112. [Google Scholar] [CrossRef]
  20. Dai, J.; Das, D.; Pecht, M. Prognostics–based health management for free air cooling of data centers. In Proceedings of the Prognostics & Health Management Conference, Macau, China, 12–14 January 2010. [Google Scholar]
  21. Xu, D.; Ming, Q. Energy, environmental, and economic evaluation of a CCHP system for a data center based on operational data. Energy Build. 2013, 67, 176–186. [Google Scholar] [CrossRef]
  22. Zhang, X.; Jia, L.; Wu, J.; Wang, R.; Li, J.; Zhong, Y. Efficient water–cooled chillers. In Handbook of Energy Systems in Green Buildings; Wang, R., Zhai, X., Eds.; Springer: Berlin/Heidelberg, Germany, 2018; pp. 755–798. [Google Scholar]
  23. Yang, Y.; Ren, H.; Hao, H. The Application Analysis of Cooling Tower Free Cooling for Data Center. Build. Energy Environ. 2014, 1, 80–82. [Google Scholar]
  24. Liu, Y.; Yang, X.; Li, J.; Zhao, X. Energy savings of hybrid dew-point evaporative cooler and micro-channel separated heat pipe cooling systems for computer data centers. Energy 2018, 163, 629–640. [Google Scholar] [CrossRef]
  25. Léo Grange Costa, G.D.; Stolf, P. Green IT scheduling for data center powered with renewable energy. Future Gener. Comput. Syst. 2018, 86, 99–120. [Google Scholar]
  26. Li, Z.; Lin, Y. Energy–saving study of green data center based on the natural cold energy. In Proceedings of the International Conference on Information Management, Islamabad, Pakistan, 10–12 September 2013. [Google Scholar]
  27. Ham, S.W.; Kim, M.H.; Choi, B.N.; Jeong, J.-W. Energy saving potential of various air–side economizers in a modular data center. Appl. Energy 2015, 138, 258–275. [Google Scholar] [CrossRef]
  28. Zhang, Y.; Wei, Z.; Zhang, M. Free cooling technologies for data centers: Energy saving mechanism and applications. Energy Procedia 2017, 143, 410–415. [Google Scholar] [CrossRef]
  29. Zhang, H.; Shao, S.; Xu, H.; Zou, H.; Tang, M.; Tian, C. Numerical investigation on integrated system of mechanical refrigeration and thermosyphon for free cooling of data centers. Int. J. Refrig. 2015, 60, 9–18. [Google Scholar] [CrossRef]
  30. Nadjahi, C.; Louahlia, H.; Lemasson, S. A review of thermal management and innovative cooling strategies for data center. Sustain. Comput. Inform. Syst. 2018, 19, 14–28. [Google Scholar] [CrossRef]
  31. Ma, Y.; Ma, G.; Zhang, S.; Xu, S. Experimental investigation on a novel integrated system of vapor compression and pump-driven two phase loop for energy saving in data centers cooling. Energy Convers. Manag. 2015, 106, 194–200. [Google Scholar] [CrossRef]
  32. Cho, J.; Yang, J.; Park, W. Evaluation of air distribution system’s airflow perfor– mance for cooling energy savings in high-density data centers. Energy Build. 2014, 68, 270–279. [Google Scholar] [CrossRef]
  33. Zhu, D.D.; Yan, D.; Li, Z. Modelling and applications of annual energy-using simulation module of separated heat pipe heat exchanger. Energy Build. 2013, 57, 26–33. [Google Scholar] [CrossRef]
  34. Tian, H.; He, Z.; Li, Z. A combined cooling solution for high heat density data centers using multi-stage heat pipe loops. Energy Build. 2015, 94, 177–188. [Google Scholar] [CrossRef]
  35. Han, L.; Shi, W.; Wang, B.; Zhang, P.; Li, X. Energy consumption model of integrated air conditioner with thermosyphon in mobile phone base station. Int. J. Refrig. 2014, 40, 1–10. [Google Scholar] [CrossRef]
  36. Zhou, F.; Li, C.; Zhu, W.; Zhou, J.; Ma, G.; Liu, Z. Energy-saving analysis of a case data center with a pump–driven loop heat pipe system in different climate regions in China. Energy Build. 2018, 169, 295–304. [Google Scholar] [CrossRef]
  37. Ding, T.; He, Z.G.; Tian, H.; Li, Z. Application of separated heat pipe system in data center cooling. Appl. Therm. Eng. 2016, 109, 207–216. [Google Scholar] [CrossRef]
  38. Ling, L.; Zhang, Q.; Yu, Y.; Liao, S. Experimental investigation on the thermal performance of water cooled multi-split heat pipe system (MSHPS) for space cooling in modular data centers. Appl. Therm. Eng. 2016, 107, 591–601. [Google Scholar] [CrossRef]
  39. Zhao, Y.H.; Zhang, K.R.; Diao, Y.H. Heat Pipe with Micro–Pore Tubes Array and Making Method Thereof and Heat Exchanging System. U.S. Patent No. 20110203777, 25 August 2011. [Google Scholar]
  40. Zhang, J.; Diao, Y.H.; Zhao, Y.H.; Tang, X.; Yu, W.J.; Wang, S. Experimental study on the heat recovery characteristics of a new–type flat micro–heat pipe array heat exchanger using nanofluid. Energy Convers. Manag. 2013, 75, 609–616. [Google Scholar] [CrossRef]
  41. Zhu, T.T.; Diao, Y.H.; Zhao, Y.H.; Li, F. Thermal performance of a new CPC solar air collector with flat micro–heat pipe arrays. Appl. Therm. Eng. 2016, 98, 1201–1213. [Google Scholar] [CrossRef]
  42. Wang, Z.Y.; Diao, Y.H.; Zhao, Y.H.; Liang, L.; Wang, T. Experimental study on the new type of electrical storage heater based on flat micro–heat pipe arrays. Sci. China Technol. Sci. 2018, 61, 219–231. [Google Scholar] [CrossRef]
  43. Wang, C.C.; Lee, C.J.; Chang, C.T.; Lin, S.-P. Heat transfer and friction correlation for compact louvered fin–and–tube heat exchangers. Int. J. Heat Mass Transf. 1998, 42, 1945–1956. [Google Scholar] [CrossRef]
  44. Wang, C.C.; Chi, K.Y.; Chang, Y.J.; Chang, Y.-P. An experimental study of heat transfer and friction characteristics of typical louver fin–and–tube heat exchangers. Int. J. Heat Mass Transf. 1998, 41, 817–822. [Google Scholar] [CrossRef]
  45. Diao, Y.H.; Liang, L.; Kang, Y.M.; Zhao, Y.H.; Wang, Z.Y.; Zhu, T.T. Experimental study on the heat recovery characteristic of a heat exchanger based on a flat micro–heat pipe array for the ventilation of residential buildings. Energy Build. 2017, 152, 448–457. [Google Scholar] [CrossRef]
Figure 1. Split natural cooling system for data center.
Figure 1. Split natural cooling system for data center.
Energies 15 04250 g001
Figure 2. Core heat transfer component of MHPA–AWHE.
Figure 2. Core heat transfer component of MHPA–AWHE.
Energies 15 04250 g002
Figure 3. Heat transfer unit of MHPA–AWHE: (a) structure of PFT; (b) photo of heat transfer components.
Figure 3. Heat transfer unit of MHPA–AWHE: (a) structure of PFT; (b) photo of heat transfer components.
Energies 15 04250 g003
Figure 4. Indoor and Outdoor MHPA–AWHEs.
Figure 4. Indoor and Outdoor MHPA–AWHEs.
Energies 15 04250 g004
Figure 5. Two forms of heat dissipation conditions of indoor data centers.
Figure 5. Two forms of heat dissipation conditions of indoor data centers.
Energies 15 04250 g005
Figure 6. Experimental split natural cooling system.
Figure 6. Experimental split natural cooling system.
Energies 15 04250 g006
Figure 7. Heat loss percentage and heat transfer rate under different conditions.
Figure 7. Heat loss percentage and heat transfer rate under different conditions.
Energies 15 04250 g007
Figure 8. Variation of the heat transfer rate under different air flow rates.
Figure 8. Variation of the heat transfer rate under different air flow rates.
Energies 15 04250 g008
Figure 9. Variation of the heat transfer rate under different water flow rates.
Figure 9. Variation of the heat transfer rate under different water flow rates.
Energies 15 04250 g009
Figure 10. Distribution diagram under different outdoor temperatures: (a) outdoor temperature at −15 °C, (b) outdoor temperature at 5 °C.
Figure 10. Distribution diagram under different outdoor temperatures: (a) outdoor temperature at −15 °C, (b) outdoor temperature at 5 °C.
Energies 15 04250 g010aEnergies 15 04250 g010b
Figure 11. Heat transfer rate at different N and different air and water flow rates: (a) TOUT,a,i = −15 °C; (b) TOUT,a,i = −5 °C; (c) TOUT,a,i = 10 °C and; (d) under different qV,w.
Figure 11. Heat transfer rate at different N and different air and water flow rates: (a) TOUT,a,i = −15 °C; (b) TOUT,a,i = −5 °C; (c) TOUT,a,i = 10 °C and; (d) under different qV,w.
Energies 15 04250 g011
Figure 12. Distribution diagram: (a) SNCS at N = 0.75; (b) SNCS at N = 0.6.
Figure 12. Distribution diagram: (a) SNCS at N = 0.75; (b) SNCS at N = 0.6.
Energies 15 04250 g012
Figure 13. Flow characteristics under different qV,a: (a) pressure drop; (b) power consumption of fans.
Figure 13. Flow characteristics under different qV,a: (a) pressure drop; (b) power consumption of fans.
Energies 15 04250 g013
Figure 14. Flow characteristics under different qV,w: (a) Pressure drop; (b) Power consumption of pumps.
Figure 14. Flow characteristics under different qV,w: (a) Pressure drop; (b) Power consumption of pumps.
Energies 15 04250 g014
Figure 15. EER of the SNCS at different N under different air and water flow rates: (a) SNCS at N = 1; (b) SNCS at N = 0.75; (c) SNCS at N = 0.6 and; (d) under different qV,w.
Figure 15. EER of the SNCS at different N under different air and water flow rates: (a) SNCS at N = 1; (b) SNCS at N = 0.75; (c) SNCS at N = 0.6 and; (d) under different qV,w.
Energies 15 04250 g015
Figure 16. Heat transfer rate of two conditions under different qV,a and outdoor temperatures.
Figure 16. Heat transfer rate of two conditions under different qV,a and outdoor temperatures.
Energies 15 04250 g016
Figure 17. EER of two conditions under different qV,a and outdoor temperatures.
Figure 17. EER of two conditions under different qV,a and outdoor temperatures.
Energies 15 04250 g017
Table 1. Three types of SNCS during the experiment.
Table 1. Three types of SNCS during the experiment.
Ratio of Heat Transfer Components (N)Heat Transfer Components of Indoor MHPA–AWHEHeat Transfer Components of Outdoor MHPA–AWHE
N = 11212
N = 0.751216
N = 0.61220
Table 2. Information of experimental instruments.
Table 2. Information of experimental instruments.
InstrumentModelWorking ScaleAccuracyNumber
Frequency conversion pumpCHL2–206–15 m1
Centrifugal fanPopula–9#1.5KW0–3200 m3/h1
Water flow meterMFM–150–3 m3/h0.5%1
Data loggerAgilent 34972A0–300 V1
Thermal resistorPT1000–150 °C±0.1 °C4
Differential pressure Transmitter of air side3351DP5SM30–30 kPa0.5%1
Differential pressure Transmitter of water side3351DP5SM50–50 kPa0.5%1
Power monitor(HYELEC)HY–0010–10 A1%1
Expansion tankAP5C/5L8 Bar1
Table 3. Uncertainty of the main parameter variables.
Table 3. Uncertainty of the main parameter variables.
Physical QuantityNumerical RangeRelative Uncertainty
QIN,a1582–11,414 W±3.16–6.61%
QIN,w1694–12,639 W±3.02–6.14%
QOUT,a1551–11,357 W±4.22–8.35%
QOUT,w1635–12,248 W±3.84–7.19%
Δβ3.6–13.1%±2.17–6.11%
RIN1.72 × 10−3–2.05 × 10−3 K/W±2.87–6.36%
ROUT2.08 × 10−3–3.19 × 10−3 K/W±4.87–6.13%
EER2.88–12.7±3.01–5.71%
Table 4. Heat loss percentage Δβ under different conditions.
Table 4. Heat loss percentage Δβ under different conditions.
ConditionTOUT,a,i (°C)
−15−10−5051015AVE
1200 L/h, 3000 m3/h7.3%9.3%8.2%8.1%7.8%9.9%10.7%8.76%
1200 L/h, 2000 m3/h8.1%7.2%7.1%8.0%6.1%7.4%7.3%7.31%
1200 L/h, 1000 m3/h6.8%6.5%7.1%5.2%5.6%6.1%6.2%6.21%
800 L/h, 2000 m3/h5.9%6.7%7.5%8.1%8.0%7.6%7.5%7.33%
Table 5. Heat transfer rate under different forms.
Table 5. Heat transfer rate under different forms.
Different Forms of SNCSTOUT,a,i = −15 °CTOUT,a,i = −5 °CTOUT,a,i = 10 °C
Qmax (kW)Increase RateQmax (kW)Increase RateQmax (kW)Increase Rate
N = 17.63-5.92-3.29-
N = 0.758.7017.8%7.0217.8%4.3929.6%
N = 0.68.9118.1%7.0418.1%4.3729.2%
Table 6. Fitting curves of indoor and outdoor MHPA–AWHEs at different N.
Table 6. Fitting curves of indoor and outdoor MHPA–AWHEs at different N.
CurveConditionFitting Curve of Pressure DropR2
Curve 1Indoor, 12 rows Δ P a = 0.0000243 q V , a 2 + 0.0401 q V , a 0.99984
Curve 2Outdoor, 12 rows Δ P a = 0.0000247 q V , a 2 + 0.042 q V , a 0.99992
Curve 3Outdoor, 16 rows Δ P a = 0.0000182 q V , a 2 + 0.0378 q V , a 0.99949
Curve 4Outdoor, 20 rows Δ P a = 0.0000108 q V , a 2 + 0.035 q V , a 0.99884
Table 7. Fitting curves of pressure drop of water side at different N.
Table 7. Fitting curves of pressure drop of water side at different N.
CurvesConditionFitting Equation of Pressure DropR2
Curve 5N = 1 Δ P w = 1.32 e q V , w / 864.7 + 10.88 0.99725
Curve 6N = 0.75 Δ P w = 1.76 e q V , w / 782.1 + 17.90 0.99666
Curve 7N = 0.6 Δ P w = 2.79 e q V , w / 858.5 + 23.26 0.99949
Table 8. Fitting curves of EER of the SNCS module under two conditions.
Table 8. Fitting curves of EER of the SNCS module under two conditions.
Heat Dissipation ConditionsqV,a
(m3/h)
qV,w
(L/h)
Fitting Curves of EERR2
Room-based15001200 E E R = 12 . 763 0 . 3033 T O U T 0.9965
20001200 E E R = 12 . 242 0 . 3046 T O U T 0.9975
25001200 E E R = 11 . 731 0 . 3011 T O U T 0.9981
Heat channel-based15001200 E E R = 9 . 739 0 . 288 T O U T 0.9975
20001200 E E R = 9 . 011 0 . 249 T O U T 0.9969
25001200 E E R = 8 . 199 0 . 228 T O U T 0.9981
Publisher’s Note: MDPI stays neutral with regard to jurisdictional claims in published maps and institutional affiliations.

Share and Cite

MDPI and ACS Style

Jing, H.; Quan, Z.; Zhao, Y.; Wang, L.; Ren, R.; Dong, R.; Wu, Y. Experimental Investigation of Heat Transfer and Flow Characteristics of Split Natural Cooling System for Data Center Based on Micro Heat Pipe Array. Energies 2022, 15, 4250. https://doi.org/10.3390/en15124250

AMA Style

Jing H, Quan Z, Zhao Y, Wang L, Ren R, Dong R, Wu Y. Experimental Investigation of Heat Transfer and Flow Characteristics of Split Natural Cooling System for Data Center Based on Micro Heat Pipe Array. Energies. 2022; 15(12):4250. https://doi.org/10.3390/en15124250

Chicago/Turabian Style

Jing, Heran, Zhenhua Quan, Yaohua Zhao, Lincheng Wang, Ruyang Ren, Ruixue Dong, and Yuting Wu. 2022. "Experimental Investigation of Heat Transfer and Flow Characteristics of Split Natural Cooling System for Data Center Based on Micro Heat Pipe Array" Energies 15, no. 12: 4250. https://doi.org/10.3390/en15124250

APA Style

Jing, H., Quan, Z., Zhao, Y., Wang, L., Ren, R., Dong, R., & Wu, Y. (2022). Experimental Investigation of Heat Transfer and Flow Characteristics of Split Natural Cooling System for Data Center Based on Micro Heat Pipe Array. Energies, 15(12), 4250. https://doi.org/10.3390/en15124250

Note that from the first issue of 2016, this journal uses article numbers instead of page numbers. See further details here.

Article Metrics

Back to TopTop