Comprehensive Control Strategy Considering Hybrid Energy Storage for Primary Frequency Modulation
Abstract
:1. Introduction
2. PFM Control Model with HES
2.1. HES System
2.2. Regional Power Grid Frequency Modulation Model
2.3. HES System Model
3. Control Strategy of Energy Storage System Participating in PFM
3.1. VDC
3.1.1. The Charging Process of a Super-Capacitor
- (1)
- Whenwhere is the maximum droop coefficient.
- (2)
- When
- (3)
- When
3.1.2. The Discharging Process of a Super-Capacitor
- (1)
- When
- (2)
- When
- (3)
- When
3.2. VIC
3.3. VNIC
4. Comprehensive Control Strategy and Frequency Modulation Evaluation Index of Energy Storage System Participating in PFM
4.1. Analysis of Energy Storage System Participating in the Frequency Modulation Dead Zone
4.2. Selection Strategy of Different Energy Storage
- (1)
- When , then the SES system alone is activated.
- (2)
- When and , then the SES and BES systems are both activated.
- (3)
- When and , then the SES system alone is activated.
- (4)
- When and , then the BES system alone is activated.
- (5)
- When and , then the SES and BES systems are both not activated.
4.3. Selection Strategy of Control Mode
- (1)
- When , the frequency deviation is small. The energy storage system does not participate in the FM at this time to prevent the frequent charging and discharging of energy storage.
- (2)
- When , the frequency deviation is larger than the FM dead zone, but it is smaller than the virtual inertia value. If VIC is used, the virtual inertia output may be larger, or energy storage will overshoot due to the sudden increase in the frequency deviation rate. Therefore, this interval only adopts VDC.
- (3)
- When and , the frequency deviation is very large and the frequency deviation rate is positive and exceeds the dead zone of frequency deviation rate. Therefore, the combination of VIC and VDC is adopted.
- (4)
- When and , the frequency deviation is very large, the frequency deviation rate is negative and its absolute value exceeds the dead zone of frequency deviation rate. Therefore, the combination of VNIC and VDC is adopted.
- (5)
- When the power output of an energy storage system exceeds the upper limit and the rated power, the power output is set at the rated power.
4.4. Evaluation Index of Energy Storage System Participates in the FM
4.4.1. Step Load Disturbance
4.4.2. Continuous Load Disturbance
5. Simulation Analysis
5.1. Simulation of Energy Storage under Different FM Dead Zones
5.2. Step Load Disturbance
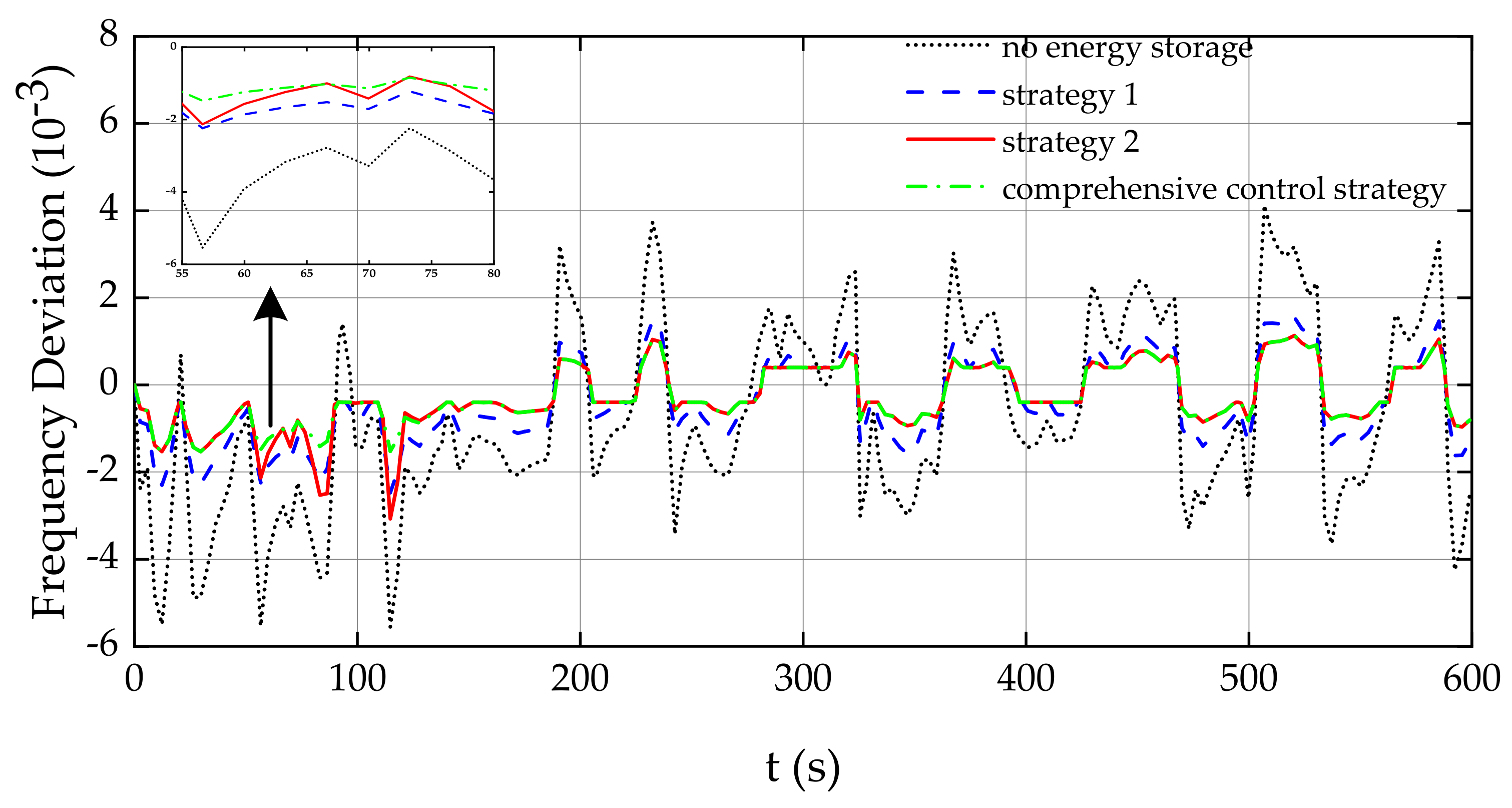
5.3. Continuous Load Disturbance
6. Conclusions
- (1)
- The comprehensive control strategy proposed in this paper has an effective FM effect under step disturbance and continuous load disturbance. The FM effect is better than strategy 1 under step disturbance and continuous load disturbance; there is no obvious advantage over strategy 2 under continuous disturbance, but the maximum frequency deviation can be reduced under step disturbance.
- (2)
- The FM dead zone of energy storage is set as lower than the FM dead zone of the unit, which is conducive to the FM effect. The FM dead zone of energy storage is set to 60% of the dead zone of the unit after consideration.
- (3)
- The use of a HES system and a super-capacitor prior to output can reduce the times taken for charging and discharging in the BES system. Under the continuous load disturbance of 10 min and 60 min, the BES system acts 18 and 30 times using strategy 1. However, the comprehensive control strategy only acts 9 and 16 times; this effectively extends the service life of the BES system.
Author Contributions
Funding
Conflicts of Interest
References
- Gholami, M.; Pisano, A. Model Predictive Operation Control of Islanded Microgrids under Nonlinear Conversion Losses of Storage Units. Electricity 2022, 3, 3. [Google Scholar] [CrossRef]
- Xie, X.; Guo, Y.; Wang, B.; Dong, Y.; Mou, L.; Xue, F. Improving AGC performance of coal-fueled thermal generators using multi-MW scale BESS: A practical application. IEEE Trans. Smart Grid 2018, 9, 1769–1777. [Google Scholar] [CrossRef]
- Tan, Y.; Muttaqi, K.M.; Ciufo, P.; Meegahapola, L.; Guo, X.; Chen, B.; Chen, H. Enhanced Frequency Regulation Using Multilevel Energy Storage in Remote Area Power Supply Systems. IEEE Trans. Power Syst. 2019, 34, 163–170. [Google Scholar] [CrossRef]
- Sanduleac, M.; Toma, L.; Eremia, M.; Boicea, V.A.; Sidea, D.; Mandis, A. Primary Frequency Control in a Power System with BES Systems. In Proceedings of the 2018 IEEE International Conference on Environment and Electrical Engineering and 2018 IEEE Industrial and Commercial Power Systems Europe (EEEIC/I&CPS Europe), Palermo, Italy, 12–15 June 2018; p. 5. [Google Scholar]
- Cheng, Y.; Tabrizi, M.; Sahni, M.; Povedano, A.; Nichols, D. Dynamic Available AGC Based Approach for Enhancing Utility Scale Energy Storage Performance. IEEE Trans. Smart Grid. 2014, 5, 1070–1078. [Google Scholar] [CrossRef]
- Mu, Y.F.; Wu, J.Z.; Ekanayake, J.; Jenkins, N.; Jia, H.J. Primary frequency response from electric vehicles in the great britain power system. IEEE Trans. Smart Grid 2013, 4, 1142–1150. [Google Scholar] [CrossRef]
- Jin, J.L.; Xu, Y.J. Optimal Storage Operation Under Demand Charge. IEEE Trans. Power Syst. 2017, 32, 795–808. [Google Scholar] [CrossRef]
- Kottick, D.; Blau, M.; Edelstein, D. Battery energy storage for frequency regulation in an island power system. IEEE Trans. Energy Convers. 1993, 8, 455–459. [Google Scholar] [CrossRef]
- Almeida, P.M.R.; Lopes, J.A.P.; Soares, F.J.; Seca, L. Electric vehicles participating in frequency control: Operating islanded systems with large penetration of renewable power sources. In Proceedings of the 2011 IEEE Trondheim PowerTech, Trondheim, Norway, 19–23 June 2011; pp. 5–10. [Google Scholar]
- Knap, V.; Chaudhary, S.K.; Stroe, D.I.; Swierczynski, M.; Craciun, B.I.; Teodorescu, R. Sizing of an Energy Storage System for Grid Inertial Response and Primary Frequency Reserve. IEEE Trans. Power Syst. 2016, 31, 3447–3456. [Google Scholar] [CrossRef] [Green Version]
- Yoon, M.; Lee, J.; Song, S.; Yoo, Y.; Jang, G.; Jung, S.; Hwang, S. Utilization of Energy Storage System for Frequency Regulation in Large-Scale Transmission System. Energies 2019, 12, 3898. [Google Scholar] [CrossRef] [Green Version]
- Zhang, Y.J.A.; Zhao, C.; Tang, W.; Low, S.H. Profit-maximizing planning and control of battery energy storage systems for primary frequency control. IEEE Trans. Smart Grid 2018, 9, 712–723. [Google Scholar] [CrossRef] [Green Version]
- Fang, C.; Tang, Y.; Ye, R.; Lin, Z.; Zhu, Z.; Wen, B.; Ye, C. Adaptive control strategy of energy storage system participating in primary frequency regulation. Processes 2020, 8, 687. [Google Scholar] [CrossRef]
- Yan, G.; Liu, D.; Li, J.; Mu, G. A cost accounting method of the Li-ion battery energy storage system for frequency regulation considering the effect of life degradation. Prot. Control Mod. Power Syst. 2018, 3, 1–9. [Google Scholar] [CrossRef]
- Nadeem, F.; Hussain, S.M.S.; Tiwari, P.K.; Goswami, A.K.; Ustun, T.S. Comparative Review of Energy Storage Systems, Their Roles, and Impacts on Future Power Systems. IEEE Access 2019, 7, 4555–4585. [Google Scholar] [CrossRef]
- Zhang, Y.; Jiang, Z.; Yu, X. Control strategies for battery supercapacitor HES systems. In Proceedings of the 2008 IEEE Energy 2030 Conference, Atlanta, GA, USA, 17–18 November 2008; pp. 5–10. [Google Scholar]
- Ibrahim, M.; Jemei, S.; Wimmer, G.; Hissel, D. Nonlinear autoregressive neural network in an energy management strategy for battery/ultra-capacitor hybrid electrical vehicles. Electr. Power Syst. Res. 2016, 136, 262–269. [Google Scholar] [CrossRef]
- Santucci, A.; Sorniotti, A.; Lekakou, C. Power split strategies for HES systems for vehicular applications. J. Power Sources 2014, 258, 395–407. [Google Scholar] [CrossRef] [Green Version]
- Mufti, M.U.D.; Lone, S.A.; Iqbal, S.J. Super-capacitor based energy storage system for improved load frequency control. Electr. Power Syst. Res. 2009, 79, 226–233. [Google Scholar] [CrossRef]
- Meng, L.; Zafar, J.; Khadem, S.K.; Collinson, A.; Murchie, K.C.; Coffele, F.; Burt, G.M. Fast Frequency Response from Energy Storage Systems—A Review of Grid Standards, Projects and Technical Issues. IEEE Trans. Smart Grid 2020, 11, 1566–1581. [Google Scholar] [CrossRef] [Green Version]
- Yao, M.; Shoults, R.R.; Kelm, R. AGC logic based on NERC’s new Control Performance Standard and Disturbance Control Standard. IEEE Tran. Power Syst. 2000, 15, 852–857. [Google Scholar] [CrossRef]
















| Characteristics | Performance | ||||
|---|---|---|---|---|---|
| Energy-Based Energy Storage | Power-Type Energy Storage | ||||
| Lithium Battery | Flow Batteries | Flywheel | Super- Capacitor | Superconducting Magnetic | |
| Energy density | High | High | Low | Low | Middle |
| Power density | Low | Low | High | High | High |
| Cyclic life | Short | Long | Long | Long | Long |
| Response time | Middle | Long | Fast | Fast | Fast |
| Cost | Low | High | High | Middle | High |
| Dead Zone Size | 100% | 80% | 60% | 40% | 20% |
|---|---|---|---|---|---|
| 6.55 | 5.26 | 4.14 | 3.41 | 3.17 |
| Control Policies | ||||
|---|---|---|---|---|
| No energy storage | 4.976 | 60 | 3.009 | 43.940 |
| Strategy 1 | 1.811 | 30 | 1.545 | 19.424 |
| Strategy 2 | 1.209 | 30 | 1.075 | 15.136 |
| Comprehensive control strategy | 1.166 | 30 | 1.075 | 14.964 |
| Control Policies | |||
|---|---|---|---|
| No energy storage | 1.882 | / | / |
| Strategy 1 | 0.880 | 0.115 | 18 |
| Strategy 2 | 0.659 | 0.148 | 10 |
| Comprehensive control strategy | 0.596 | 0.128 | 9 |
| Control Policies | |||
|---|---|---|---|
| No energy storage | 2.282 | / | / |
| Strategy 1 | 1.242 | 0.167 | 30 |
| Strategy 2 | 1.216 | 0.192 | 16 |
| Comprehensive control strategy | 1.087 | 0.177 | 16 |
Publisher’s Note: MDPI stays neutral with regard to jurisdictional claims in published maps and institutional affiliations. |
© 2022 by the authors. Licensee MDPI, Basel, Switzerland. This article is an open access article distributed under the terms and conditions of the Creative Commons Attribution (CC BY) license (https://creativecommons.org/licenses/by/4.0/).
Share and Cite
Yan, L.; Shui, T.; Xue, T.; Wang, M.; Ma, N.; Li, K. Comprehensive Control Strategy Considering Hybrid Energy Storage for Primary Frequency Modulation. Energies 2022, 15, 4079. https://doi.org/10.3390/en15114079
Yan L, Shui T, Xue T, Wang M, Ma N, Li K. Comprehensive Control Strategy Considering Hybrid Energy Storage for Primary Frequency Modulation. Energies. 2022; 15(11):4079. https://doi.org/10.3390/en15114079
Chicago/Turabian StyleYan, Laiqing, Tao Shui, Tailin Xue, Miao Wang, Ning Ma, and Kaiyue Li. 2022. "Comprehensive Control Strategy Considering Hybrid Energy Storage for Primary Frequency Modulation" Energies 15, no. 11: 4079. https://doi.org/10.3390/en15114079
APA StyleYan, L., Shui, T., Xue, T., Wang, M., Ma, N., & Li, K. (2022). Comprehensive Control Strategy Considering Hybrid Energy Storage for Primary Frequency Modulation. Energies, 15(11), 4079. https://doi.org/10.3390/en15114079

