Performance Analysis of an Ammonia-Fueled Micro Gas Turbine
Abstract
:1. Introduction
2. Assumptions and Method
2.1. Design Modeling
2.2. Off-Design Modeling
3. Model Validation
3.1. Nominal Conditions
3.2. Effects of Ambient Temperature

3.3. Effects of Part-Load Operation
3.4. Effects of Syngas Feeding
4. Results
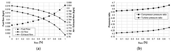
4.1. Full Load Behavior
4.2. Part-Load Behavior
4.3. Natural Gas vs. Ammonia
5. Conclusions
- At the same MGT power output, compressor–turbine matching in a single-shaft arrangement results in lower flow rates of air and flue gas, despite the increase in the fuel amount due to reduced LHV.
- The compressor operating point moves towards lower CF and slightly higher βc; the turbine is affected by a small increase in βt and FF. Isentropic efficiency varies within 1.6 pp.
- Although ηel is lowered by about 0.5 pp, ηtot shall remain unaffected thanks to enhanced heat recovery. This applies to the entire load range, from 100 to 40%, whatever the part-load strategy (i.e., keeping TIT/TOT constant).
- CO2 content in flue gas may be reduced down to zero, offset by H2O.
Author Contributions
Funding
Institutional Review Board Statement
Informed Consent Statement
Data Availability Statement
Conflicts of Interest
Abbreviations
| C | Dimensional constant |
| CF | Compressor corrected flow |
| CHP | Combined heat and power |
| CS | Corrected speed |
| DME | Dimethyl ether |
| FF | Turbine inlet flow function |
| GT | Gas turbine |
| LHV | Lower heating value |
| m | Mass flow rate |
| MGT | Micro gas turbine |
| MW | Molecular weight |
| n | Rotational speed |
| NG | Natural gas |
| P | Power |
| p | Pressure |
| pp | Percentage points |
| R | Gas constant |
| RHE | Recovery heat exchanger |
| T | Temperature |
| TFX | Thermoflex predictions |
| TIT | Turbine inlet temperature |
| TOT | Turbine outlet temperature |
| y | Ammonia blending ratio |
| β | Pressure ratio |
| γ | Ratio of specific heat |
| η | Efficiency |
| Subscripts | |
| a | air |
| amb | ambient |
| c | compressor |
| el | electric |
| exh | exhaust |
| exp | expansion |
| fuel | fuel input |
| in | inlet |
| is | isentropic |
| out | outlet |
| ref | reference |
| t | turbine |
| tot | total |
| y | polytropic |
Appendix A

References
- Abdalla, A.M.; Hossain, S.; Nisfindy, O.B.; Azad, A.T.; Dawood, M.; Azad, A.K. Hydrogen production, storage, transportation and key challenges with applications: A review. Energy Convers. Manag. 2018, 165, 602–627. [Google Scholar] [CrossRef]
- IRENA. Green Hydrogen Cost Reduction: Scaling up Electrolysers to Meet the 1.5 °C Climate Goal; International Renewable Energy Agency: Abu Dhabi, United Arab Emirates, 2020. [Google Scholar]
- Andersson, J.; Grönkvist, S. Large-scale storage of hydrogen. Int. J. Hydrog. Energy 2019, 44, 11901–11919. [Google Scholar] [CrossRef]
- Kurtz, J.; Sprik, S.; Bradley, T.H. Review of transportation hydrogen infrastructure performance and reliability. Int. J. Hydrog. Energy 2019, 44, 12010–12023. [Google Scholar] [CrossRef]
- Hassan, I.A.; Ramadan, H.S.; Saleh, M.A.; Hissel, D. Hydrogen storage technologies for stationary and mobile applications: Review, analysis and perspectives. Renew. Sust. Energ. Rev. 2021, 149, 111311. [Google Scholar] [CrossRef]
- Searle, S.; Christensen, A. Decarbonization Potential of Electrofuels in the European Union; The International Council on Clean Transportation: Washington, DC, USA, 2018. [Google Scholar]
- Aziz, M.; Wijayanta, A.T.; Nandiyanto, A.B.D. Ammonia as effective hydrogen storage: A review on production, storage and utilization. Energies 2020, 13, 3062. [Google Scholar] [CrossRef]
- Yüzbaşıoğlu, A.E.; Tatarhan, A.H.; Gezerman, A.O. Decarbonization in ammonia production, new technological methods in industrial scale ammonia production and critical evaluations. Heliyon 2021, 7, e08257. [Google Scholar] [CrossRef]
- Brown, T. Ammonia: Zero-Carbon Fertiliser, Fuel and Energy Store. Available online: https://royalsociety.org/-/media/policy/projects/green-ammonia/green-ammonia-policy-briefing.pdf (accessed on 8 April 2022).
- Wan, Z.; Tao, Y.; Shao, J.; Zhang, Y.; You, H. Ammonia as an effective hydrogen carrier and a clean fuel for solid oxide fuel cells. Energy Convers. Manag. 2021, 228, 113729. [Google Scholar] [CrossRef]
- Kobayashi, H.; Hayakawa, A.; Somarathne, K.K.A.; Okafor, E.C. Science and technology of ammonia combustion. Proc. Combust. Inst. 2019, 37, 109–133. [Google Scholar] [CrossRef]
- Valera-Medina, A.; Xiao, H.; Owen-Jones, M.; David, W.I.; Bowen, P.J. Ammonia for power. Prog. Energy Combust. Sci. 2018, 69, 63–102. [Google Scholar] [CrossRef]
- Xu, X.; Liu, E.; Zhu, N.; Liu, F.; Qian, F. Review of the Current Status of Ammonia-Blended Hydrogen Fuel Engine Development. Energies 2022, 15, 1023. [Google Scholar] [CrossRef]
- Karabeyoglu, A.; Evans, B. Selection of NH3 for Gas Turbine Use. In Proceedings of the 8th NH3 Conference, Portland, OR, USA, 19 September 2011. [Google Scholar]
- Kurata, O.; Iki, N.; Matsunuma, T.; Inoue, T.; Tsujimura, T.; Furutani, H.; Kobayashi, H.; Hayakawa, A. Performances and emission characteristics of NH3–air and NH3CH4–air combustion gas-turbine power generations. Proc. Combust Inst. 2017, 36, 3351–3359. [Google Scholar] [CrossRef]
- Kurata, O.; Iki, N.; Matsunuma, T.; Inoue, T.; Tsujimura, T.; Furutani, H.; Hayakawa, A.; Kobayashi, H. Success of Ammonia-fired, Regenerator-Heated, Diffusion Combustion Gas Turbine Power Generation and Prospect of Low NOx Combustion with High Combustion Efficiency. In Proceedings of the ASME 2017 Power Conference Joint with ICOPE-17, Charlotte, NC, USA, 26–30 June 2017. [Google Scholar]
- Iki, N.; Kurata, O.; Matsunuma, T.; Inoue, T.; Tsujimura, T.; Furutani, H.; Kobayashi, H.; Hayakawa, A. Operation and Flame Observation of Micro Gas Turbine Firing Ammonia. In Proceedings of the ASME Turbo Expo 2017: Turbomachinery Technical Conference and Exposition, Charlotte, NC, USA, 26–30 June 2017. [Google Scholar]
- Pugh, D.; Bowen, P.; Valera-Medina, A.; Giles, A.; Runyon, J.; Marsh, R. Influence of steam addition and elevated ambient conditions on NOx reduction in a staged premixed swirling NH3/H2 flame. Proc. Combust. Inst. 2019, 37, 5401–5409. [Google Scholar] [CrossRef]
- Pugh, D.; Valera-Medina, A.; Bowen, P.; Giles, A.; Goktepe, B.; Runyon, R.; Morris, S.; Hewlett, S.; Marsh, R. Emissions performance of staged premixed and diffusion combustor concepts for an NH3/air flame with and without reactant humidification. J. Eng. Gas Turbines Power 2021, 143, 051012. [Google Scholar] [CrossRef]
- Božo, M.G.; Vigueras-Zuniga, M.O.; Buffi, M.; Seljak, T.; Valera-Medina, A. Fuel rich ammonia-hydrogen injection for humidified gas turbines. Appl. Energy 2019, 251, 113334. [Google Scholar] [CrossRef]
- Ditaranto, M.; Saanum, I.; Larfeldt, J. Experimental Study on High Pressure Combustion of Decomposed Ammonia: How Can Ammonia Be Best Used in a Gas Turbine? In Proceedings of the ASME Turbo Expo 2021: Turbomachinery Technical Conference and Exposition, Virtual, 7–11 June 2021.
- Han, X.; Wang, Z.; Costa, M.; Sun, Z.; He, Y.; Cen, K. Experimental and kinetic modeling study of laminar burning velocities of NH3/air, NH3/H2/air, NH3/CO/air and NH3/CH4/air premixed flames. Combust. Flame 2019, 206, 214–226. [Google Scholar] [CrossRef]
- Okafor, E.C.; Naito, Y.; Colson, S.; Ichikawa, A.; Kudo, T.; Hayakawa, A.; Kobayashi, H. Experimental and numerical study of the laminar burning velocity of CH4–NH3–air premixed flames. Combust. Flame 2018, 187, 185–198. [Google Scholar] [CrossRef]
- Wang, S.; Wang, Z.; Elbaz, A.M.; Han, X.; He, Y.; Costa, M.; Konnov, A.A.; Roberts, W.L. Experimental study and kinetic analysis of the laminar burning velocity of NH3/syngas/air, NH3/CO/air and NH3/H2/air premixed flames at elevated pressures. Combust. Flame 2020, 221, 270–287. [Google Scholar] [CrossRef]
- Yin, G.; Li, J.; Zhou, M.; Li, J.; Wang, C.; Hu, E.; Huang, Z. Experimental and kinetic study on laminar flame speeds of ammonia/dimethyl ether/air under high temperature and elevated pressure. Combust. Flame 2022, 238, 111915. [Google Scholar] [CrossRef]
- Chiong, M.C.; Chong, C.T.; Ng, J.H.; Mashruk, S.; Chong, W.W.F.; Samiran, N.A.; Mong, G.R.; Valera-Medina, A. Advancements of combustion technologies in the ammonia-fuelled engines. Energy Convers. Manag. 2021, 244, 114460. [Google Scholar] [CrossRef]
- Keller, M.; Koshi, M.; Otomo, J.; Iwasaki, H.; Mitsumori, T.; Yamada, K. Thermodynamic evaluation of an ammonia-fueled combined-cycle gas turbine process operated under fuel-rich conditions. Energy 2020, 194, 116894. [Google Scholar] [CrossRef]
- Božo, M.G.; Valera-Medina, A. Prediction of novel humified gas turbine cycle parameters for ammonia/hydrogen fuels. Energies 2020, 13, 5749. [Google Scholar] [CrossRef]
- Ayaz, S.K.; Altuntas, O.; Caliskan, H. Effect of ammonia fuel fraction on the exergetic performance of a gas turbine. Energy Procedia 2018, 144, 150–156. [Google Scholar] [CrossRef]
- Hampel, C.A.; Braun, R.J. Off-design modeling of a microturbine combined heat & power system. Appl. Therm. Eng. 2022, 202, 117670. [Google Scholar]
- Reale, F.; Sannino, R. Numerical Modeling of Energy Systems Based on Micro Gas Turbine: A Review. Energies 2022, 15, 900. [Google Scholar] [CrossRef]
- Technical description-T100 NG. D 14127-03 Version 3 09/12/29, Copyright © 2009 Turbec Spa. Available online: www.turbec.com (accessed on 5 January 2010).
- Caresana, F.; Pelagalli, L.; Comodi, G.; Renzi, M. Microturbogas cogeneration systems for distributed generation: Effects of ambient temperature on global performance and components’ behavior. Appl. Energy 2014, 124, 17–27. [Google Scholar] [CrossRef]
- Deployment of FlexCHP System. Available online: https://www.osti.gov/servlets/purl/1238362 (accessed on 20 April 2022).
- Renzi, M.; Patuzzi, F.; Baratieri, M. Syngas feed of micro gas turbines with steam injection: Effects on performance, combustion and pollutants formation. Appl. Energy 2017, 206, 697–707. [Google Scholar] [CrossRef]
- Ito, S.; Uchida, M.; Suda, T.; Fujimori, T. Development of ammonia gas turbine co-generation technology. IHI Eng. Rev. 2020, 53, 1–6. [Google Scholar]
- Bull, M.G. Development of an Ammonia-Burning Gas Turbine Engine; Solar Turbines International: San Diego, CA, USA, 1968. [Google Scholar]
- Backman, J.L.H.; Kaikko, J. Microturbine Systems for Small Combined Heat and Power (CHP) Applications. In Small and Micro Combined Heat and Power (CHP) Systems; Woodhead Publishing: Sawston, UK, 2011; pp. 147–178. [Google Scholar]










| Component | Δp/p |
|---|---|
| Combustor | 0.08 |
| Recuperator–air side | 0.03 |
| Recuperator–exhaust side | 0.05 |
| RHE–exhaust side | 0.05 |
| RHE–water side | 1 |
| Compressor | Turbine | ||||
|---|---|---|---|---|---|
| Inlet temperature | K | 288.15 | Inlet temperature | K | 1223.15 |
| Inlet pressure | bar | 1.01 | Inlet pressure | bar | 4.15 |
| Outlet pressure | bar | 4.56 | Outlet pressure | bar | 1.014 |
| Airflow | kg/s | 0.7934 | Exhaust flow | kg/s | 0.8 |
| Corrected flow (CF) | kg-mol/s | 0.0276 | Corrected flow (FF) | m2 | 0.0017 |
| Corrected speed (CS) | rpm | 70,000 | Corrected speed (CS) | rpm | 33,975 |
| Pressure ratio (βc) | 4.5 | Pressure ratio (βc) | 4.09 | ||
| Isentropic efficiency (ηis,c) | % | 78.5 | Isentropic efficiency (ηis,t) | % | 82.9 |
| Polytropic efficiency (ηy,c) | % | 82.5 | Polytropic efficiency (ηy,t) | % | 80.3 |
| Parameter | Datasheet [32] | Model | Δ (%) |
|---|---|---|---|
| Fuel LHV (MJ/kg) | 49.56 | 50.047 | 1.0 |
| Fuel flow (kg/s) | 0.00672 | 0.0068 | 1.2 |
| Turbine inlet temperature (°C) | 950 | 950 | 0 |
| Turbine outlet temperature (°C) | 650 | 652.9 | 0.4 |
| Fuel input (kW) | 333 | 338.1 | 1.5 |
| Exhaust gas flow (kg/s) | 0.8 | 0.8 | 0 |
| Rotational speed (rpm) | 70,000 | 70,000 | 0 |
| Heat exchanger–inlet exhaust gas temperature (°C) | 270 | 270 | 0 |
| Heat exchanger–outlet exhaust gas temperature (°C) | 70 | 70 | 0 |
| Heat exchanger–inlet water temperature (°C) | 50 | 50 | 0 |
| Heat exchanger–outlet water temperature (°C) | 70 | 70 | 0 |
| Thermal power (kW) | 165 | 165.7 | 0.4 |
| Electric power (kW) | 100 | 101.9 | 1.9 |
| Electric efficiency (%) | 30 | 30.14 | 0.5 |
| Total efficiency (%) | 80 | 79.1 | −1.1 |
| Parameter | Reference [35] | Model | Δ (%) |
|---|---|---|---|
| Syngas flow (kg/s) | 0.0405 | 0.0386 | −4.7 |
| Air flow (kg/s) | 0.77 | 0.7738 | 0.5 |
| Exhaust flow (kg/s) | 0.82 | 0.8123 | −0.9 |
| Compressor power (kW) | 156.9 | 155.9 | −0.6 |
| Compressor outlet temperature (°C) | 212.2 | 212.6 | 0.2 |
| Pressure ratio (βc) | 4.55 | 4.62 | 1.5 |
| Isentropic compressor efficiency (ηis,c) | 0.788 | 0.791 | 0.4 |
| Turbine power (kW) | 294.7 | 281.6 | −4.4 |
| Expansion ratio (βexp) | 4.14 | 4.26 | 2.9 |
| Isentropic turbine efficiency (ηis,t) | 0.827 | 0.812 | −1.8 |
Publisher’s Note: MDPI stays neutral with regard to jurisdictional claims in published maps and institutional affiliations. |
© 2022 by the authors. Licensee MDPI, Basel, Switzerland. This article is an open access article distributed under the terms and conditions of the Creative Commons Attribution (CC BY) license (https://creativecommons.org/licenses/by/4.0/).
Share and Cite
Bonasio, V.; Ravelli, S. Performance Analysis of an Ammonia-Fueled Micro Gas Turbine. Energies 2022, 15, 3874. https://doi.org/10.3390/en15113874
Bonasio V, Ravelli S. Performance Analysis of an Ammonia-Fueled Micro Gas Turbine. Energies. 2022; 15(11):3874. https://doi.org/10.3390/en15113874
Chicago/Turabian StyleBonasio, Vittorio, and Silvia Ravelli. 2022. "Performance Analysis of an Ammonia-Fueled Micro Gas Turbine" Energies 15, no. 11: 3874. https://doi.org/10.3390/en15113874
APA StyleBonasio, V., & Ravelli, S. (2022). Performance Analysis of an Ammonia-Fueled Micro Gas Turbine. Energies, 15(11), 3874. https://doi.org/10.3390/en15113874

