Analysis of Video Transmission Capabilities in a Simulated OFDM-Based Supplementary BPL-PLC System
Abstract
1. Introduction
- Low cost of implementation, comparable to the narrowband PLC technology;
- High transmission speeds;
- Easy installation.
- Power grid supervision system;
- Control of street lighting and traffic lights;
- Access systems control and monitoring, etc.
2. Related Work
- Relatively quick way to build the telecom infrastructure;
- Low weight and portability of user terminals;
- Easy integration with sensor systems connected to the rescuer’s equipment.
- Relatively low bandwidth; therefore, in most cases, only voice transmission is possible;
- Communication protocols are most often based on TDD;
- When transmitting a signal over long distances, it is required to utilize signal amplifiers and repeaters, which reduces the throughput of data transmission and lowers QoS for multimedia services, particularly those in real-time;
- The matter of developing efficient algorithms, network scaling issues, as well as ways of deploying network nodes, etc., is also problematic, especially whenever a malfunction or unexpected event occurs.
3. Materials and Methods
3.1. Methodology
3.2. Type of Coupling
3.3. Transmission Link
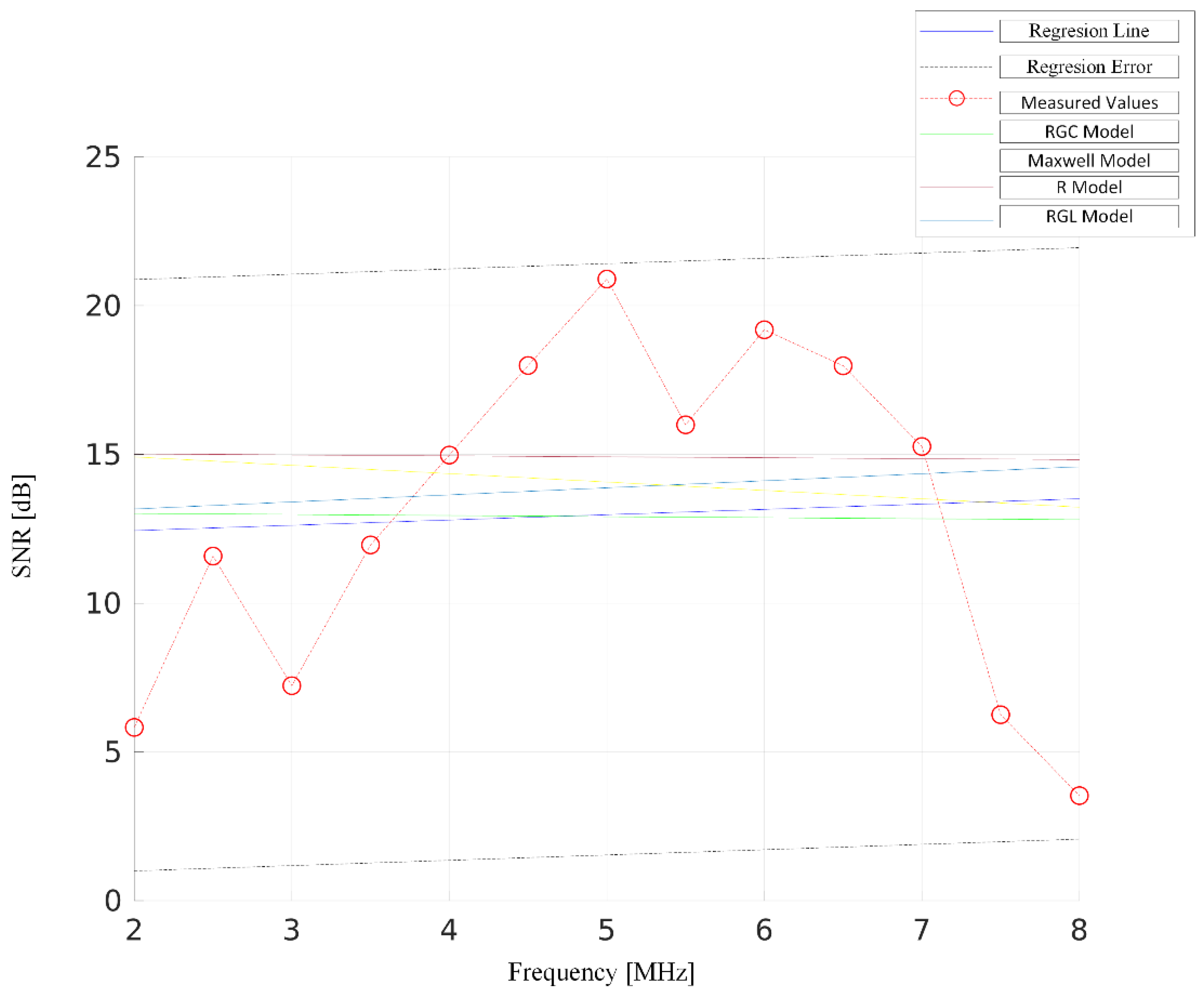
4. Results
- Walking man—static background with a single man walking along the street;
- Windmill—static angle with numerous fast moving (rotating) windmills;
- Traffic—static angle with cars passing along the road, at various speeds.
- Toddler fountain—playful child walking around a fountain, with lots of movement in the background;
- Toddler montage—similar material with a playful child recorded in slow-motion (much higher framerate).
5. Conclusions
Author Contributions
Funding
Institutional Review Board Statement
Informed Consent Statement
Data Availability Statement
Acknowledgments
Conflicts of Interest
References
- Mahmood, S.H.; Salih, A.M.; Khalil, M.I. Broadband services on power line communication systems: A review. In Proceedings of the 22nd International Conference on Control Systems and Computer Science (CSCS), Bucharest, Romania, 28–30 May 2019; pp. 465–470. [Google Scholar]
- Yousuf, M.S.; El-Shafei, M. Power line communications: An overview-part I. In Proceedings of the 2007 Innovations in Information Technologies (IIT), Dubai, United Arab Emirates, 18–20 November 2007; pp. 218–222. [Google Scholar]
- Jeong, G.; Koh, D.; Lee, J. Analysis of the competitiveness of broadband over power line communication in Korea. ETRI J. 2008, 30, 469–479. [Google Scholar] [CrossRef][Green Version]
- Meng, H.; Chen, S.; Guan, Y.L.; Law, C.L.; So, P.L.; Gunawan, E.; Lie, T.T. Modeling of transfer characteristics for the broadband power line communication channel. IEEE Trans. Power Deliv. 2004, 19, 1057–1064. [Google Scholar] [CrossRef]
- Mlynek, P.; Misurec, J.; Koutny, M. Modeling and evaluation of power line for smart grid communication. Prz. Elektrotech. 2011, 87, 228–232. [Google Scholar]
- Pyda, D.; Habrych, M.; Rutecki, K.; Miedziński, B. Analysis of narrow band PLC technology performance in low-voltage network. Prz. Elektrotech. 2014, 20, 61–64. [Google Scholar] [CrossRef]
- Habrych, M.; Wąsowski, M. Analysis of the transmission capacity of various PLC systems working in the same network. Prz. Elektrotech. 2018, 94, 130–134. [Google Scholar] [CrossRef]
- Lazaropoulos, A.G.; Cottis, P.G. Transmission characteristics of overhead medium-voltage power-line communication channels. IEEE Trans. Power Del. 2009, 24, 1164–1173. [Google Scholar] [CrossRef]
- Henry, P.S. Interference characteristics of broadband power line communication systems using aerial medium voltage wires. IEEE Commun. Mag. 2005, 43, 92–98. [Google Scholar] [CrossRef]
- Debita, G.; Falkowski-Gilski, P.; Habrych, M.; Miedziński, B.; Wandzio, J.; Jedlikowski, P. Quality evaluation of voice transmission using BPL communication system in MV mine cable network. Elektron. Elektrotech. 2019, 25, 43–46. [Google Scholar] [CrossRef]
- Debita, G.; Falkowski-Gilski, P.; Habrych, M.; Wiśniewski, G.; Miedziński, B.; Jedlikowski, P.; Wandzio, J.; Polnik, B. BPL-PLC voice communication system for the oil and mining industry. Energies 2020, 13, 4763. [Google Scholar] [CrossRef]
- Falkowski-Gilski, P.; Debita, G.; Habrych, M.; Miedziński, B.; Jedlikowski, P.; Polnik, B.; Wandzio, J.; Wang, X. Subjective quality evaluation of speech signals transmitted via BPL-PLC wired system. In Proceedings of the 21st International Speech Communication Association Conference (Interspeech), Shanghai, China, 25–29 October 2020; pp. 4601–4605. [Google Scholar]
- Qi, S.Q. Power Line Communication Technology and Its Application; Electric Power Press: Beijing, China, 2005. [Google Scholar]
- Carcell, X. Power Line Communications in Practice; Artec House: London, UK, 2006. [Google Scholar]
- Milioudis, A.N.; Syranidis, K.N.; Andreou, G.T.; Labridis, D.P. Modeling of medium-voltage power-line communication systems noise levels. IEEE Tran. Power Del. 2013, 28, 2004–2013. [Google Scholar] [CrossRef]
- Varma, M.K.; Jaffery, Z.A. Broadband power line communication: The channel and noise analysis for a power line network. Int. J. Comput. Netw. Commun. 2019, 11, 81–92. [Google Scholar] [CrossRef]
- Zamlyńska, M.; Debita, G.; Falkowski-Gilski, P. Quality analysis of audio-video transmission in an OFDM-based communication system. In Mobile and Ubiquitous Systems: Computing, Networking and Services. MobiQuitous 2021; Hara, T., Yamaguchi, H., Eds.; Springer: Cham, Switzerland, 2022; pp. 724–736. [Google Scholar]
- Mansour, I.M. Effective visible light communication system for underground mining industry. Indones. J. Electr. Eng. Inform. 2020, 8, 331–339. [Google Scholar]
- Gaber, T.; El Jazouli, Y.; Eldesouky, E.; Ali, A. Autonomous haulage systems in the mining industry: Cybersecurity, communication and safety issues and challenges. Electronics 2021, 10, 1357. [Google Scholar] [CrossRef]
- Mardonova, M.; Choi, Y. Review of wearable device technology and its applications to the mining industry. Energies 2018, 11, 547. [Google Scholar] [CrossRef]
- Molaei, F.; Rahimi, E.; Siavoshi, H.; Afrouz, S.G.; Tenorio, V. A comprehensive review on internet of things (IoT) and its implications in the mining industry. Am. J. Eng. Appl. Sci. 2020, 13, 499–515. [Google Scholar] [CrossRef]
- Jang, H.; Topal, E. Transformation of the Australian mining industry and future prospects. Min. Technol. 2020, 129, 120–134. [Google Scholar] [CrossRef]
- Stankiewicz, K. Smart mining communication systems. J. Mach. Constr. M.-Probl. Eksploat. 2019, 2, 105–111. [Google Scholar] [CrossRef]
- Eldemerdash, T.; Abdulla, R.; Jayapal, V.; Nataraj, C.; Abbas, M.K. IoT based smart helmet for mining industry application. Int. J. Adv. Sci. Technol. 2020, 29, 373–387. [Google Scholar]
- Barkand, T.D.; Damiano, N.W.; Shumaker, W.A. Through-the-earth, two-way, mine emergency, voice communication systems. In Proceedings of the 2006 IEEE Industry Applications Conference Forty-First IAS Annual Meeting (IAS 2006), Tampa, FL, USA, 8–12 October 2006; pp. 955–958. [Google Scholar]
- Song, W.; Wang, F.; Dai, J. A Emergency Communication System based on WMN in underground mine. In Proceedings of the 2010 International Conference on Computer Application and System Modeling (ICCASM 2010), Taiyuan, China, 22–24 October 2010; pp. 624–627. [Google Scholar]
- Stolarczyk, L.G. Emergency and operational low and medium frequency band radio communications system for underground mines. IEEE Trans. Ind. Appl. 1991, 27, 780–790. [Google Scholar] [CrossRef]
- Li, W.; Gao, J.; Bai, P. Mine multimedia emergency communication system. In Proceedings of the 2007 International Conference on Wireless Communications, Networking and Mobile Computing (WICOM 2007), Shanghai, China, 21–25 September 2007; pp. 2865–2868. [Google Scholar]
- Miller, D.; Mirzaeva, G.; Goodwin, G. Power line communication in emergency power microgrid for mining industry. In Proceedings of the 2020 IEEE Industry Applications Society Annual Meeting (IAS 2020), Detroit, MI, USA, 10–16 October 2020; pp. 1–6. [Google Scholar]
- Mallett, L.; Vaught, C.; Brnich, M.J., Jr. Sociotechnical communication in an underground mine fire: A study of warning messages during an emergency evacuation. Saf. Sci. 1993, 16, 709–728. [Google Scholar] [CrossRef]
- Moridi, M.A.; Kawamura, Y.; Sharifzadeh, M.; Chanda, E.K.; Wagner, M.; Jang, H.; Okawa, H. Development of underground mine monitoring and communication system integrated ZigBee and GIS. Int. J. Min. Sci. Technol. 2015, 25, 811–818. [Google Scholar] [CrossRef]
- Ranjan, A.; Panigrahi, B.; Sahu, H.B.; Misra, P. SkyHelp: Leveraging UAVs for emergency communication support in deep open pit mines. In Proceedings of the 10th International Conference on Communication Systems & Networks (COMSNETS 2018), Bengaluru, India, 3–7 January 2018; pp. 546–548. [Google Scholar]
- Novak, T.; Snyder, D.P.; Kohler, J.L. Postaccident mine communications and tracking systems. IEEE Trans. Ind. Appl. 2010, 46, 712–719. [Google Scholar] [CrossRef]
- ETSI Standard EN 300 744; Digital Video Broadcasting (DVB); Framing Structure, Channel Coding and Modulation for Digital Terrestrial Television. ETSI: Sophia Antipolis Cedex, France, 2009.
- Aragón-Zavala, A.; Angueira, P.; Montalban, J.; Vargas-Rosales, C. Radio propagation in terrestrial broadcasting television systems: A comprehensive survey. IEEE Access 2021, 9, 34789–34817. [Google Scholar] [CrossRef]
- Harada, H.; Prasad, R. Simulation and Software Radio for Mobile Communications; Artech House: Norwood, MA, USA, 2002. [Google Scholar]
- Russell, M.; Stüber, G.L. Terrestrial digital video broadcasting for mobile reception using OFDM. Wirel. Pers. Commun. 1995, 2, 45–66. [Google Scholar] [CrossRef]
- Cioni, S.; Corazza, G.E.; Neri, M.; Vanelli-Coralli, A. On the use of OFDM radio interface for satellite digital multimedia broadcasting systems. Int. J. Satell. Commun. Netw. 2006, 24, 153–167. [Google Scholar] [CrossRef]
- Thibeault, J. Streaming video fundamentals. SMPTE Motion Imaging J. 2020, 129, 10–15. [Google Scholar] [CrossRef]
- Falkowski-Gilski, P. On the consumption of multimedia content using mobile devices: A year to year user case study. Arch. Acoust. 2020, 45, 321–328. [Google Scholar]
- Falkowski-Gilski, P.; Uhl, T. Current trends in consumption of multimedia content using online streaming platforms: A user-centric survey. Comput. Sci. Rev. 2020, 37, 100268. [Google Scholar] [CrossRef]
- Netflix Open Content–Chimera Database. Available online: http://download.opencontent.netflix.com/?prefix=AV1/Chimera/Old/ (accessed on 26 February 2022).
- Miranda, G.; Macedo, D.F.; Marquez-Barja, J.M. A QoE inference method for DASH video using ICMP probing. In Proceedings of the 16th International Conference on Network and Service Management (CNSM), Izmir, Turkey, 2–6 November 2020; pp. 1–5. [Google Scholar]
- 3GPP Technical Specification 23.203; Technical Specification Group Services and System Aspects; Policy and Charging Control Architecture. 3GPP: Sophia Antipolis Cedex, France, 2011.
- ITU Recommendation BT.500-14; Methodologies for the Subjective Assessment of the Quality of Television Images. ITU: Geneva, Switzerland, 2019.
- Zamojski, W.; Mazurkiewicz, J.; Sugier, J.; Walkowiak, T.; Kacprzyk, J. (Eds.) Theory and Applications of Dependable Computer Systems: Proceedings of the Fifteenth International Conference on Dependability of Computer Systems DepCoS-RELCOMEX, June 29–July 3, 2020, Brunów, Poland; Springer: Cham, Switzerland, 2020. [Google Scholar]
- Korshunov, P.; Shuting, C.; Touradj, E. Crowdsourcing approach for evaluation of privacy filters in video surveillance. In Proceedings of the ACM Workshop on Crowdsourcing for Multimedia (CrowdMM), Nara, Japan, 29 October 2012; pp. 35–40. [Google Scholar]
- Figuerola Salas, Ó.; Adzic, V.; Shah, A.; Kalva, H. Assessing Internet video quality using crowdsourcing. In Proceedings of the 2nd ACM International Workshop on Crowdsourcing for Multimedia (CrowdMM), Barcelona, Spain, 21 October 2013; pp. 23–28. [Google Scholar]
- Anegekuh, L.; Sun, L.; Ifeachor, E. A screening methodology for crowdsourcing video QoE evaluation. In Proceedings of the 2014 IEEE Global Communications Conference (GLOBECOM), Austin, TX, USA, 8–12 December 2014; pp. 1152–1157. [Google Scholar]
- ITU-T Technical Report PSTR-CROWDS. Subjective Evaluation of Media Quality Using a Crowdsourcing Approach; ITU: Geneva, Switzerland, 2018. [Google Scholar]
- Liao, Y.; Gibson, J.D. Routing-aware multiple description video coding over mobile ad-hoc networks. IEEE Trans. Multimed. 2010, 13, 132–142. [Google Scholar] [CrossRef]
- Bhaskaranand, M.; Gibson, J.D. Global motion assisted low complexity video encoding for UAV applications. IEEE J. Sel. Top. Signal Process. 2014, 9, 139–150. [Google Scholar] [CrossRef]
- Ding, S.; Liu, J.; Yue, M. The use of ZigBee wireless communication technology in industrial automation control. Wirel. Commun. Mob. Comput. 2021, 2021, 8317862. [Google Scholar] [CrossRef]
- Hao, S.; Zhang, H.Y. A cross-layered theoretical model of IEEE 1901 power-line communication networks considering retransmission protocols. IEEE Access 2021, 9, 28805–28821. [Google Scholar] [CrossRef]
- Jeena Jacob, I.; Kolandapalayam Shanmugam, S.; Piramuthu, S.; Falkowski-Gilski, P. (Eds.) Data Intelligence and Cognitive Informatics: Proceedings of ICDICI 2020; Springer: Singapore, 2021. [Google Scholar]
- Memon, S.K.; Nisar, K.; Hijazi, M.H.A.; Chowdhry, B.S.; Sodhro, A.H.; Pirbhulal, S.; Rodrigues, J.J. A survey on 802.11 MAC industrial standards, architecture, security & supporting emergency traffic: Future directions. J. Ind. Inf. Integr. 2021, 24, 100225. [Google Scholar]
- Bolton, T.; Dargahi, T.; Belguith, S.; Al-Rakhami, M.S.; Sodhro, A.H. On the security and privacy challenges of virtual assistants. Sensors 2021, 21, 2312. [Google Scholar] [CrossRef] [PubMed]










| Parameter | Description | 
|---|---|
| Resolution and refresh rate | 480 × 270, 24 FPS | 
| Color model | RGB | 
| Compression algorithm | 8 × 8, DCT, quantization, lossless compression | 
| Protection coding | FEC 3/4 (BCH + LDPC 3/4) | 
| Modulation and coding scheme | 256 QAM, OFDM | 
| No. of subcarriers | 81 | 
| Carrier spacing | 42 kHz | 
| Channel bandwidth | 3.4 MHz | 
| Channel model | AWGN | 
| Parameter | Description | 
|---|---|
| Code rate | 3/4 | 
| 64,800 bits (normal frame) | |
| 48,408 bits | |
| 48,600 bits | 
| Service | Acceptable Delay [ms] | Acceptable BER | 
|---|---|---|
| Live streaming (real-time video) | 150 | 10−3 | 
| Buffered streaming (non-real-time video) | 300 | 10−6 | 
| Publisher’s Note: MDPI stays neutral with regard to jurisdictional claims in published maps and institutional affiliations. | 
© 2022 by the authors. Licensee MDPI, Basel, Switzerland. This article is an open access article distributed under the terms and conditions of the Creative Commons Attribution (CC BY) license (https://creativecommons.org/licenses/by/4.0/).
Share and Cite
Debita, G.; Falkowski-Gilski, P.; Zamłyńska, M.; Habrych, M.; Miedziński, B.; Kupczyk, T.; Polnik, B. Analysis of Video Transmission Capabilities in a Simulated OFDM-Based Supplementary BPL-PLC System. Energies 2022, 15, 3621. https://doi.org/10.3390/en15103621
Debita G, Falkowski-Gilski P, Zamłyńska M, Habrych M, Miedziński B, Kupczyk T, Polnik B. Analysis of Video Transmission Capabilities in a Simulated OFDM-Based Supplementary BPL-PLC System. Energies. 2022; 15(10):3621. https://doi.org/10.3390/en15103621
Chicago/Turabian StyleDebita, Grzegorz, Przemysław Falkowski-Gilski, Monika Zamłyńska, Marcin Habrych, Bogdan Miedziński, Teresa Kupczyk, and Bartosz Polnik. 2022. "Analysis of Video Transmission Capabilities in a Simulated OFDM-Based Supplementary BPL-PLC System" Energies 15, no. 10: 3621. https://doi.org/10.3390/en15103621
APA StyleDebita, G., Falkowski-Gilski, P., Zamłyńska, M., Habrych, M., Miedziński, B., Kupczyk, T., & Polnik, B. (2022). Analysis of Video Transmission Capabilities in a Simulated OFDM-Based Supplementary BPL-PLC System. Energies, 15(10), 3621. https://doi.org/10.3390/en15103621
 
        




 
       