Novel Adaptive Extended State Observer for Dynamic Parameter Identification with Asymptotic Convergence
Abstract
:1. Introduction
2. Background and Problem Formulation
2.1. Nomenclature
2.2. Process Model and Essential Assumptions
2.3. Extended State Observer for State Estimation
2.4. Gradient Approach for Parameter Estimation
3. Parameter Identifying ESO
3.1. State Independent Regressor
3.2. State Dependent Regressor
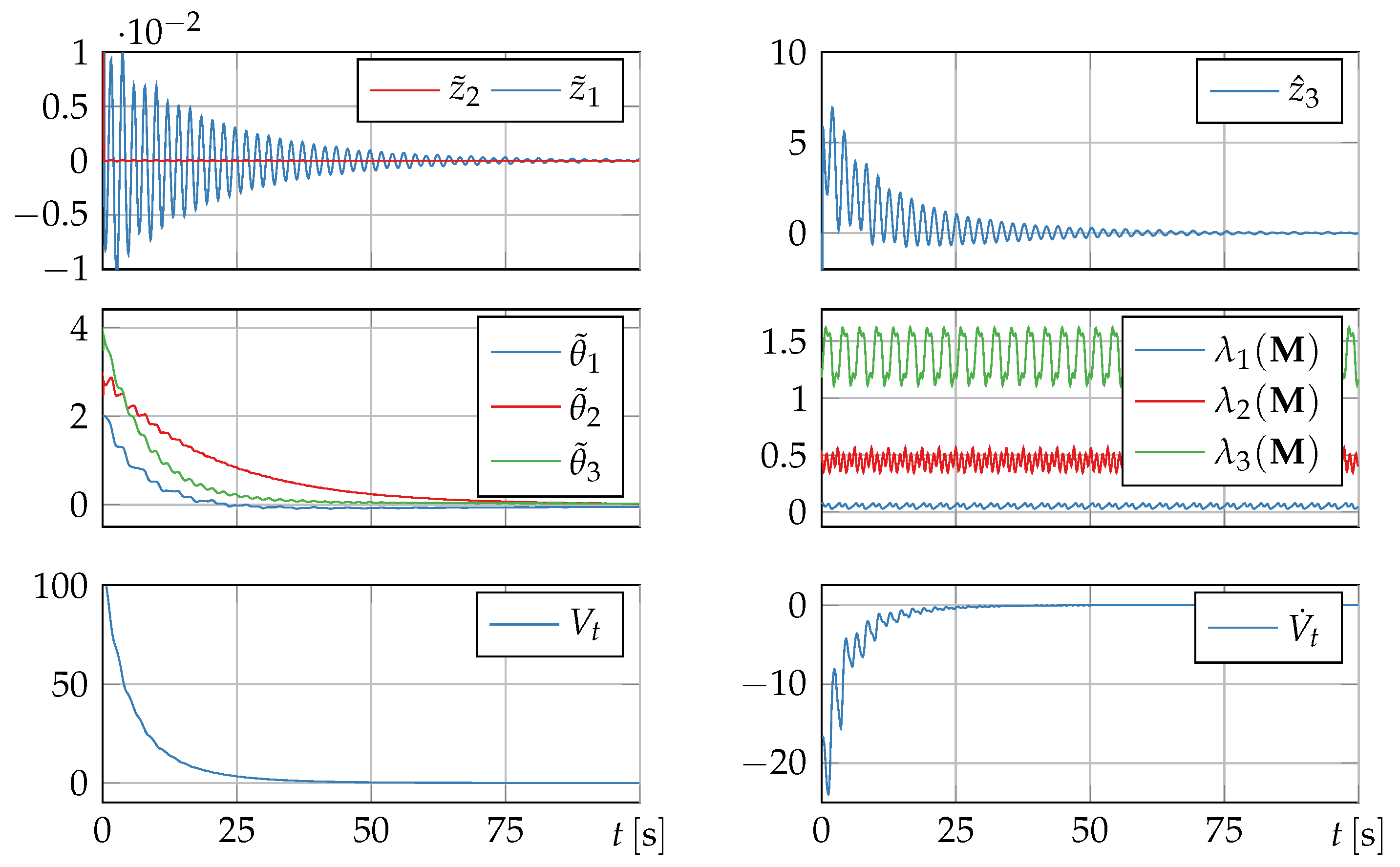
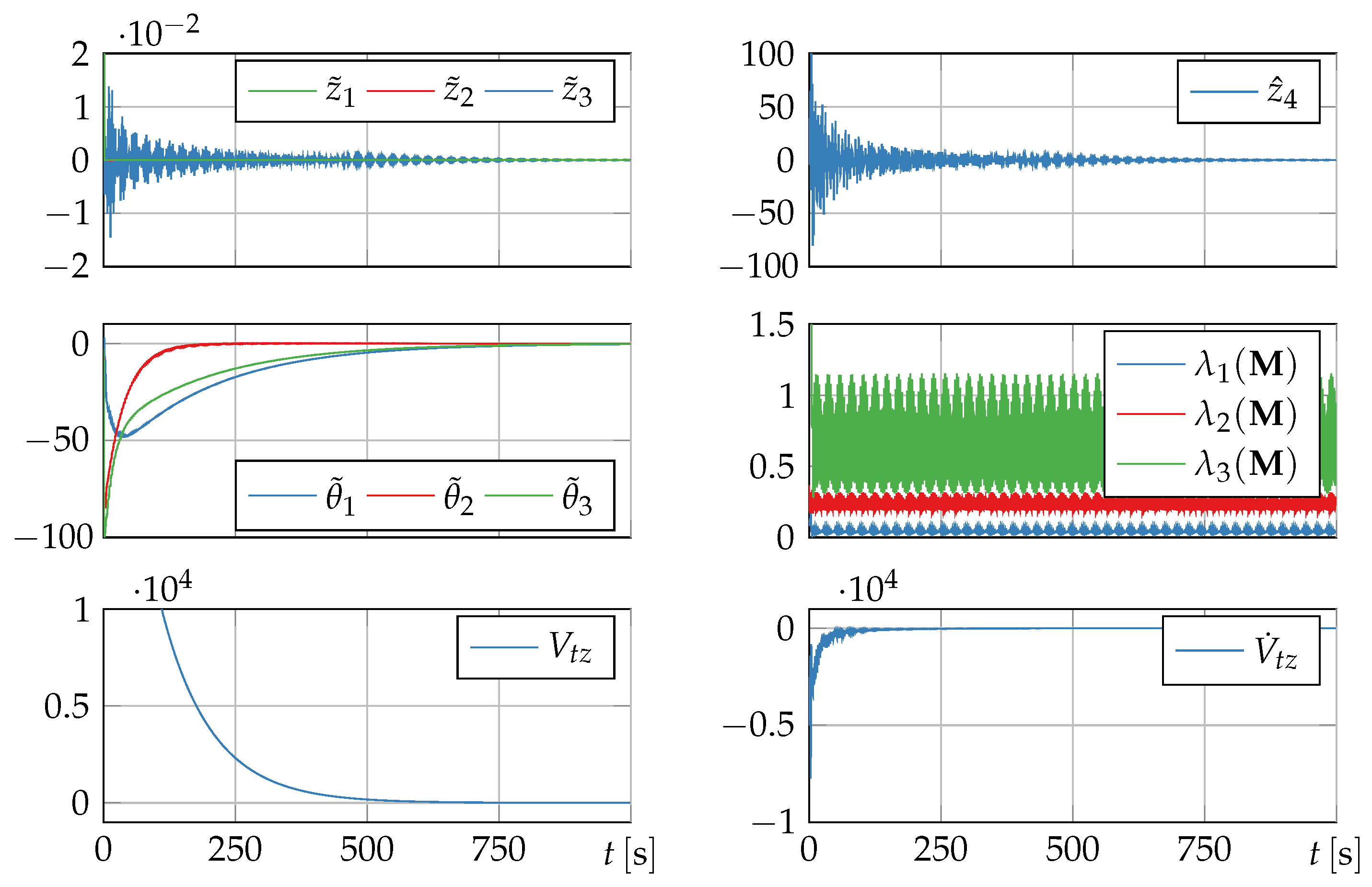
4. Exemplary Scenarios and Simulation Validation
4.1. Nominal Cases
4.2. Harmonic Disturbance Frequency Identification
5. Experimental Validation
6. Conclusions
Author Contributions
Funding
Institutional Review Board Statement
Informed Consent Statement
Data Availability Statement
Acknowledgments
Conflicts of Interest
References
- Sastry, S.; Bodson, M. Adaptive Control: Stability, Convergence, and Robustness; Prentice Hall: Englewood Cliff, NJ, USA, 1989. [Google Scholar]
- Krstic, M.; Kokotovic, P.V.; Kanellakopoulos, I. Nonlinear and Adaptive Control Design; John Wiley & Sons, Inc.: New York, NY, USA, 1995. [Google Scholar]
- Narendra, K.S.; Annaswamy, A.M. Stable Adaptive Systems; Prentice Hall: Englewood Cliff, NJ, USA, 1989. [Google Scholar]
- Aranovskiy, S.; Bobtsov, A.; Ortega, R.; Pyrkin, A. Parameters estimation via dynamic regressor extension and mixing. In Proceedings of the 2016 American Control Conference (ACC), Boston, MA, USA, 6–8 July 2016; pp. 6971–6976. [Google Scholar]
- Aranovskiy, S.; Belov, A.; Ortega, R.; Barabanov, N.; Bobtsov, A. Parameter identification of linear time-invariant systems using dynamic regressor extension and mixing. Int. J. Adapt. Control. Signal Process. 2019, 33, 1016–1030. [Google Scholar] [CrossRef]
- Di Bernardo, M.; Montanaro, U.; Santini, S. Novel switched model reference adaptive control for continuous piecewise affine systems. In Proceedings of the 2008 47th IEEE Conference on Decision and Control, Cancun, Mexico, 9–11 December 2008; pp. 1925–1930. [Google Scholar] [CrossRef]
- Siciliano, B.; Book, W.J. Model reference adaptive control of a link flexible arm. In Proceedings of the 1986 25th IEEE Conference on Decision and Control, Athens, Greece, 10–12 December 1986; pp. 91–95. [Google Scholar]
- Guzman, E.; Moreno, J.A. A new finite-time convergent and robust direct model reference adaptive control for SISO linear time invariant systems. In Proceedings of the 2011 50th IEEE Conference on Decision and Control and European Control Conference, Orlando, FL, USA, 12–15 December 2011; pp. 7027–7032. [Google Scholar]
- Hovakimyan, N.; Cao, C. L1 Adaptive Control Theory: Guaranteed Robustness with Fast Adaptation; SIAM: Philadelphia, PA, USA, 2010. [Google Scholar]
- Jafari, S.; Ioannou, P.; Rudd, L.E. What is L1 adaptive control. In Proceedings of the AIAA Guidance, Navigation, and Control (GNC) Conference, Boston, MA, USA, 19–22 August 2013; p. 4513. [Google Scholar]
- Luders, G.; Narendra, K. An adaptive observer and identifier for a linear system. IEEE Trans. Autom. Control. 1973, 18, 496–499. [Google Scholar] [CrossRef]
- Carroll, R.; Lindorff, D. An adaptive observer for single-input single-output linear systems. IEEE Trans. Autom. Control. 1973, 18, 428–435. [Google Scholar] [CrossRef]
- Afri, C.; Andrieu, V.; Bako, L.; Dufour, P. Identification of linear systems with nonlinear luenberger observers. In Proceedings of the 2015 American Control Conference (ACC), Chicago, IL, USA, 1–3 July 2015; pp. 3373–3378. [Google Scholar]
- Besancon, G.; de León-Morales, J.; Huerta-Guevara, O. On adaptive observers for state affine systems. Int. J. Control. 2006, 79, 581–591. [Google Scholar] [CrossRef]
- Zhang, Q. Adaptive observer for multiple-input-multiple-output (MIMO) linear time-varying systems. IEEE Trans. Autom. Control. 2002, 47, 525–529. [Google Scholar] [CrossRef]
- Postoyan, R.; Zhang, Q. Local adaptive observer for linear time-varying systems with parameter-dependent state matrices. In Proceedings of the 2018 IEEE Conference on Decision and Control (CDC), Miami Beach, FL, USA, 17–19 December 2018; pp. 4649–4654. [Google Scholar]
- Bobtsov, A.; Ortega, R.; Yi, B.; Nikolaev, N. Adaptive state estimation of state-affine systems with unknown time-varying parameters. Int. J. Control. 2021. [Google Scholar] [CrossRef]
- Cho, Y.M.; Rajamani, R. A systematic approach to adaptive observer synthesis for nonlinear systems. IEEE Trans. Autom. Control. 1997, 42, 534–537. [Google Scholar]
- Besancon, G.; Ţiclea, A. On adaptive observers for systems with state and parameter nonlinearities. IFAC Pap. 2017, 50, 15416–15421. [Google Scholar] [CrossRef]
- Xing, Y.; Na, J.; Costa-Castelló, R.; Gao, G. Adaptive parameter estimation-based observer design for nonlinear systems. In Proceedings of the 2020 59th IEEE Conference on Decision and Control (CDC), Jeju Island, Korea, 14–18 December 2020; pp. 4170–4175. [Google Scholar]
- Ortega, R.; Bobtsov, A.; Pyrkin, A.; Aranovskiy, S. A parameter estimation approach to state observation of nonlinear systems. Syst. Control. Lett. 2015, 85, 84–94. [Google Scholar] [CrossRef] [Green Version]
- Åström, K.J.; Torsten, B. Numerical identification of linear dynamic systems from normal operating records. IFAC Proc. Vol. 1965, 2, 96–111. [Google Scholar] [CrossRef] [Green Version]
- Narendra, K.S.; Annaswamy, A.M. Persistent excitation in adaptive systems. Int. J. Control. 1987, 45, 127–160. [Google Scholar] [CrossRef]
- Panteley, E.; Loria, A.; Teel, A. Relaxed persistency of excitation for uniform asymptotic stability. IEEE Trans. Autom. Control. 2001, 46, 1874–1886. [Google Scholar] [CrossRef]
- Lee, T.C. On the equivalence relations of detectability and PE conditions with applications to stability analysis of time-varying systems. In Proceedings of the 2003 American Control Conference, Denver, CO, USA, 4–6 June 2003; Volume 3, pp. 1873–1878. [Google Scholar]
- Loría, A.; Panteley, E.; Teel, A. A new notion of persistency-of-excitation for UGAS of NLTV systems: Application to stabilisation of nonholonomic systems. In Proceedings of the 1999 European Control Conference (ECC), Karlsruhe, Germany, 31 August–3 September 1999; pp. 1363–1368. [Google Scholar]
- Gibson, T.E.; Annaswamy, A.M. Adaptive control and the definition of exponential stability. In Proceedings of the 2015 American Control Conference (ACC), Chicago, IL, USA, 1–3 July 2015; pp. 1549–1554. [Google Scholar]
- Loría, A.; Kelly, R.; Teel, A.R. Uniform parametric convergence in the adaptive control of mechanical systems. Eur. J. Control. 2005, 11, 87–100. [Google Scholar] [CrossRef]
- Lorıa, A.; Panteley, E. Uniform exponential stability of linear time-varying systems: Revisited. Syst. Control. Lett. 2002, 47, 13–24. [Google Scholar] [CrossRef]
- Mazenc, F.; De Queiroz, M.; Malisoff, M. Uniform global asymptotic stability of a class of adaptively controlled nonlinear systems. IEEE Trans. Autom. Control. 2009, 54, 1152–1158. [Google Scholar] [CrossRef]
- Loria, A.; Panteley, E.; Maghenem, M. Strict Lyapunov functions for model-reference adaptive control based on the Mazenc construction. In Proceedings of the Congreso Nacional de Control Automático (CNCA 2019), Asociación de México de Control Automático, Puebla, Mexico, 23–25 October 2019; pp. 407–412. [Google Scholar]
- Gao, Z. Active disturbance rejection control: A paradigm shift in feedback control system design. In Proceedings of the 2006 American Control Conference, Minneapolis, MN, USA, 14–16 June 2006; pp. 2399–2405. [Google Scholar]
- Gao, Z.; Huang, Y.; Han, J. An alternative paradigm for control system design. In Proceedings of the 40th IEEE Conference on Decision and Control, Orlando, FL, USA, 4–7 December 2001; Volume 5, pp. 4578–4585. [Google Scholar]
- Han, J. From PID to Active Disturbance Rejection Control. IEEE Trans. Ind. Electron. 2009, 56, 900–906. [Google Scholar] [CrossRef]
- Qi, X.; Li, J.; Xia, Y.; Gao, Z. On the robust stability of active disturbance rejection control for SISO systems. Circuits Syst. Signal Process. 2017, 36, 65–81. [Google Scholar] [CrossRef]
- Xue, W.; Huang, Y. On performance analysis of ADRC for a class of MIMO lower-triangular nonlinear uncertain systems. ISA Trans. 2014, 53, 955–962. [Google Scholar] [CrossRef]
- Chen, Z.; Wang, Y.; Sun, M.; Sun, Q. Convergence and stability analysis of active disturbance rejection control for first-order nonlinear dynamic systems. Trans. Inst. Meas. Control. 2019, 41, 2064–2076. [Google Scholar] [CrossRef]
- Xue, W.; Huang, Y. On performance analysis of ADRC for nonlinear uncertain systems with unknown dynamics and discontinuous disturbances. In Proceedings of the 32nd Chinese Control Conference, Xi’an, China, 26–28 July 2013; pp. 1102–1107. [Google Scholar]
- Patelski, R.; Dutkiewicz, P. On the stability of ADRC for manipulators with modelling uncertainties. ISA Trans. 2020, 102, 295–303. [Google Scholar] [CrossRef]
- Wang, Y.; Liu, J.; Chen, Z.; Sun, M.; Sun, Q. On the stability and convergence rate analysis for the nonlinear uncertain systems based upon active disturbance rejection control. Int. J. Robust Nonlinear Control. 2020, 30, 5728–5750. [Google Scholar] [CrossRef]
- Zheng, Q. On Active Disturbance Rejection Control: Stability Analysis and Applications in Disturbance Decoupling Control. Ph.D. Thesis, Cleveland State University, Cleveland, OH, USA, 2009. [Google Scholar]
- Yao, J.; Jiao, Z.; Ma, D. Adaptive robust control of DC motors with extended state observer. IEEE Trans. Ind. Electron. 2013, 61, 3630–3637. [Google Scholar] [CrossRef]
- Deng, W.; Yao, J. Extended-state-observer-based adaptive control of electrohydraulic servomechanisms without velocity measurement. IEEE/ASME Trans. Mechatron. 2019, 25, 1151–1161. [Google Scholar] [CrossRef]
- Madoński, R.; Gao, Z.; Łakomy, K. Towards a turnkey solution of industrial control under the active disturbance rejection paradigm. In Proceedings of the 2015 54th Annual Conference of the Society of Instrument and Control Engineers of Japan (SICE), Hangzhou, China, 28–30 July 2015; pp. 616–621. [Google Scholar]
- Madoński, R. On Active Disturbance Rejection in Robotic Motion Control. Ph.D. Thesis, Poznan University of Technology, Poznan, Poland, 2016. [Google Scholar]
- Huang, C.; Guo, L. Control of a class of nonlinear uncertain systems by combining state observers and parameter estimators. In Proceedings of the 10th World Congress on Intelligent Control and Automation, Beijing, China, 6–8 July 2012; pp. 2054–2059. [Google Scholar] [CrossRef]
- Wang, Y.; Chen, Z.; Sun, M.; Sun, Q.; Piao, M. On Sign Projected Gradient Flow Optimized Extended State Observer Design for a Class of Systems with Uncertain Control Gain. IEEE Trans. Ind. Electron. 2022. [Google Scholar] [CrossRef]
- Jiang, T.; Huang, C.; Guo, L. Control of uncertain nonlinear systems based on observers and estimators. Automatica 2015, 59, 35–47. [Google Scholar] [CrossRef]
- Lozada-Castillo, N.; Luviano-Juárez, A.; Chairez, I. Robust control of uncertain feedback linearizable systems based on adaptive disturbance estimation. ISA Trans. 2019, 87, 1–9. [Google Scholar] [CrossRef]
- Palomino-Resendiz, S.I.; Lozada-Castillo, N.B.; Flores-Hernández, D.A.; Gutiérrez-Frías, O.O.; Luviano-Juárez, A. Adaptive Active Disturbance Rejection Control of Solar Tracking Systems with Partially Known Model. Mathematics 2021, 9, 2871. [Google Scholar] [CrossRef]
- Madonski, R.; Stanković, M.; Shao, S.; Gao, Z.; Yang, J.; Li, S. Active disturbance rejection control of torsional plant with unknown frequency harmonic disturbance. Control. Eng. Pract. 2020, 100, 104413. [Google Scholar] [CrossRef]
- Yang, X.; Huang, Y. Capabilities of extended state observer for estimating uncertainties. In Proceedings of the 2009 American Control Conference, Saint Louis, MO, USA, 10–12 June 2009; pp. 3700–3705. [Google Scholar]
- Guo, B.Z.; Zhao, Z.L. On the convergence of an extended state observer for nonlinear systems with uncertainty. Syst. Control. Lett. 2011, 60, 420–430. [Google Scholar] [CrossRef]
- Madoński, R.; Herman, P. Survey on methods of increasing the efficiency of extended state disturbance observers. ISA Trans. 2015, 56, 18–27. [Google Scholar] [CrossRef]
- Lion, P.M. Rapid identification of linear and nonlinear systems. AIAA J. 1967, 5, 1835–1842. [Google Scholar] [CrossRef]
- Morgan, A.; Narendra, K. On the uniform asymptotic stability of certain linear nonautonomous differential equations. SIAM J. Control. Optim. 1977, 15, 5–24. [Google Scholar] [CrossRef]
- Anderson, B. Exponential stability of linear equations arising in adaptive identification. IEEE Trans. Autom. Control. 1977, 22, 83–88. [Google Scholar] [CrossRef]
- Gao, Z. Scaling and bandwidth-parameterization based controller tuning. In Proceedings of the American Control Conference, Minneapolis, MN, USA, 14–16 June 2006; Volume 6, pp. 4989–4996. [Google Scholar]
- Lavretsky, E.; Gibson, T.E.; Annaswamy, A.M. Projection Operator in Adaptive Systems. arXiv 2012, arXiv:nlin.AO/1112.4232. [Google Scholar]
- Yao, B.; Tomizuka, M. Smooth robust adaptive sliding mode control of manipulators with guaranteed transient performance. In Proceedings of the 1994 American Control Conference—ACC ’94, Baltimore, MD, USA, 29 June–1 July 1994; Volume 1, pp. 1176–1180. [Google Scholar] [CrossRef]
- Astolfi, D.; Marconi, L.; Praly, L.; Teel, A.R. Low-power peaking-free high-gain observers. Automatica 2018, 98, 169–179. [Google Scholar] [CrossRef] [Green Version]
- Barreiro, A.; Delgado, E. Reset observers alleviating the peaking and the robustness tradeoffs: A case study on force estimation in teleoperation. ISA Trans. 2019, 94, 36–46. [Google Scholar] [CrossRef]
- Kasac, J.; Pender, A.; Pranjic, M.; Kotarski, D. Frequency-shifting-based algebraic approach to extended state observer design. Asian J. Control. 2021, 23, 2171–2184. [Google Scholar] [CrossRef]
- Stanković, M.R.; Rapaić, M.R.; Manojlović, S.M.; Mitrović, S.T.; Simić, S.M.; Naumović, M.B. Optimised active disturbance rejection motion control with resonant extended state observer. Int. J. Control. 2019, 92, 1815–1826. [Google Scholar] [CrossRef]
- Stanković, M.R.; Madonski, R.; Shao, S.; Mikluc, D. On dealing with harmonic uncertainties in the class of active disturbance rejection controllers. Int. J. Control. 2021, 94, 2795–2810. [Google Scholar] [CrossRef]
- Łakomy, K.; Patelski, R.; Pazderski, D. ESO architectures in the trajectory tracking ADR controller for a mechanical system: A comparison. In Advanced, Contemporary Control, Proceedings of the KKA 2020—The 20th Polish Control Conference, Lodz, Poland, 14–29 October 2020; Springer: Berlin/Heidelberg, Germany, 2020; pp. 1323–1335. [Google Scholar]
- Hou, M. Estimation of sinusoidal frequencies and amplitudes using adaptive identifier and observer. IEEE Trans. Autom. Control. 2007, 52, 493–499. [Google Scholar] [CrossRef]
- Patelski, R.; Pazderski, D. Extended State Observer Based Parameter Identification of the Hovercraft System. In Proceedings of the 26th International Conference on Methods and Models in Automation and Robotics, Miedzyzdroje, Poland, 22–25 August 2022. (in review). [Google Scholar]











| 50 |
| 50 |
| 250 | 100 |
| 50 | 0 | 100 |
| 5 | 1000 |
Publisher’s Note: MDPI stays neutral with regard to jurisdictional claims in published maps and institutional affiliations. |
© 2022 by the authors. Licensee MDPI, Basel, Switzerland. This article is an open access article distributed under the terms and conditions of the Creative Commons Attribution (CC BY) license (https://creativecommons.org/licenses/by/4.0/).
Share and Cite
Patelski, R.; Pazderski, D. Novel Adaptive Extended State Observer for Dynamic Parameter Identification with Asymptotic Convergence. Energies 2022, 15, 3602. https://doi.org/10.3390/en15103602
Patelski R, Pazderski D. Novel Adaptive Extended State Observer for Dynamic Parameter Identification with Asymptotic Convergence. Energies. 2022; 15(10):3602. https://doi.org/10.3390/en15103602
Chicago/Turabian StylePatelski, Radosław, and Dariusz Pazderski. 2022. "Novel Adaptive Extended State Observer for Dynamic Parameter Identification with Asymptotic Convergence" Energies 15, no. 10: 3602. https://doi.org/10.3390/en15103602
APA StylePatelski, R., & Pazderski, D. (2022). Novel Adaptive Extended State Observer for Dynamic Parameter Identification with Asymptotic Convergence. Energies, 15(10), 3602. https://doi.org/10.3390/en15103602

