Modeling and Analysis of the Harmonic Interaction between Grid-Connected Inverter Clusters and the Utility Grid
Abstract
:1. Introduction
2. Description of a VSG Grid-Connected Inverter
2.1. Topology Description of a VSG Grid-Connected System
2.2. Control Loops Description of a VSG Grid-Connected Inverter
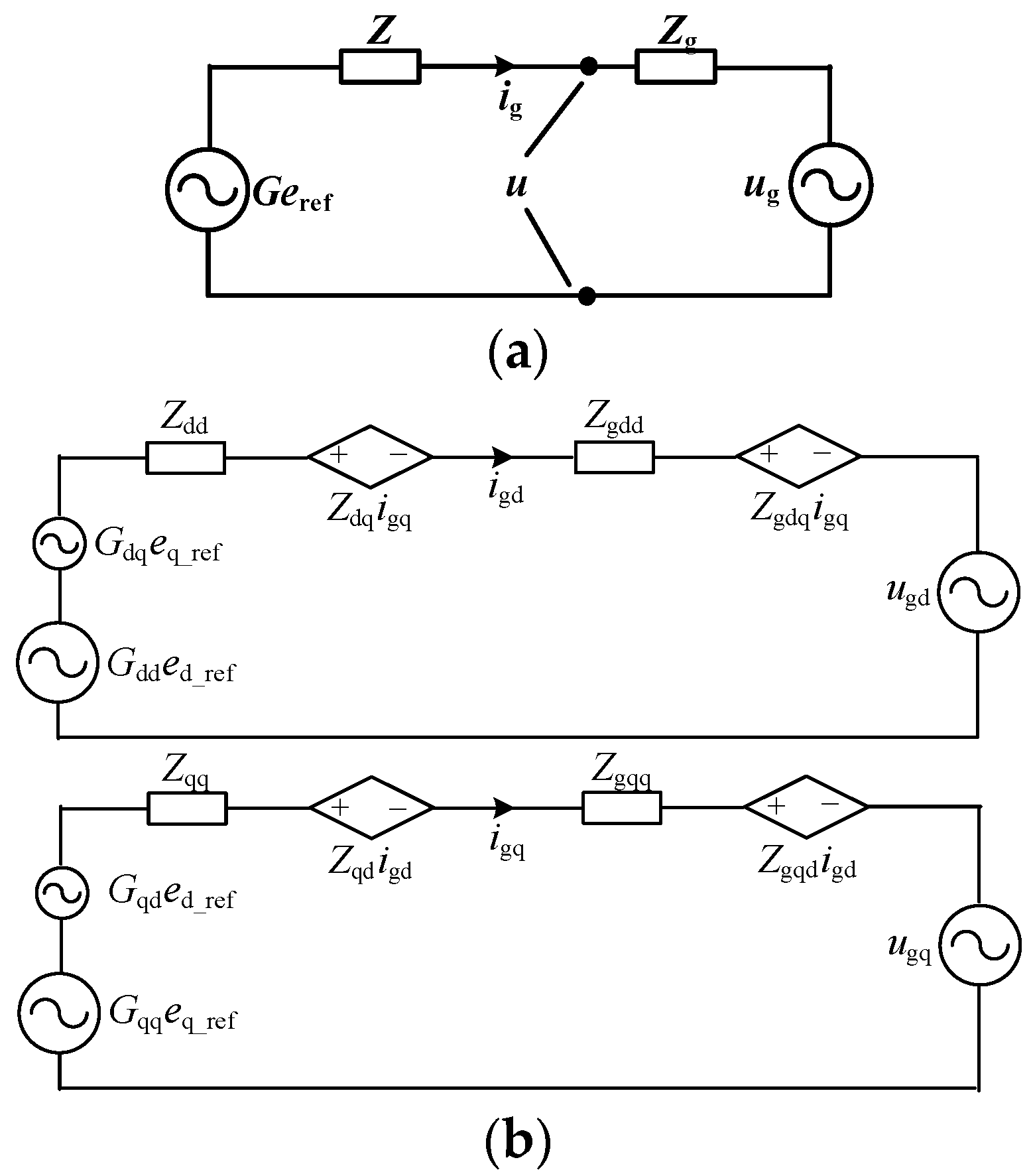
3. Output Impedance Model of a VSG
3.1. Output Impedance Model of a Single VSG
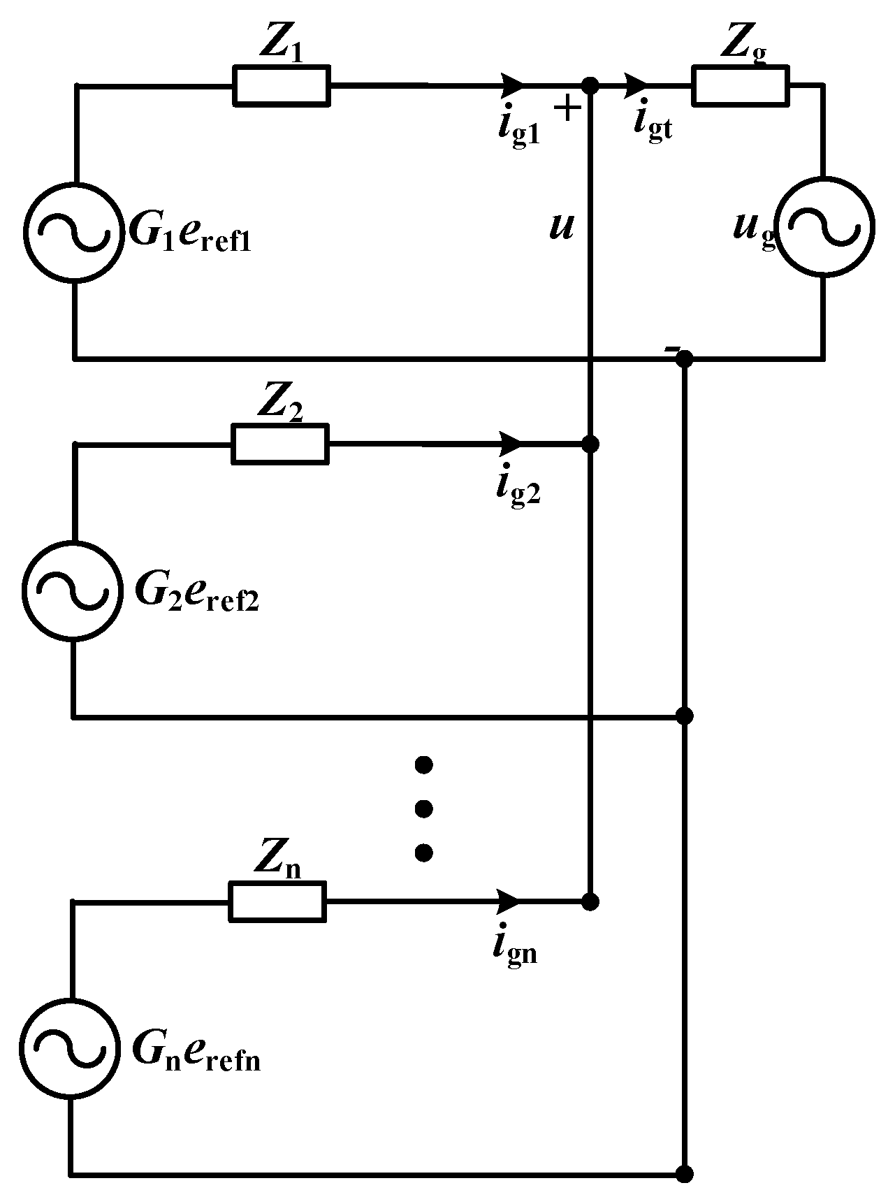
3.2. Output Impedance Model of a VSG Cluster
4. Parameter Sensitivity Analysis of a VSG cluster
4.1. Sensitivity Analysis of Filter Parameter
4.2. Sensitivity Analysis of the Inner-Loop Controller Parameter
5. Simulation and Experimental Results
6. Conclusions
- (1)
- In this paper, the output impedance model of the VSG cluster was established, which revealed that the VSG-type grid-connected inverters had a resonant risk. Furthermore, the simulation and experimental results verified the effectiveness of the output impedance model.
- (2)
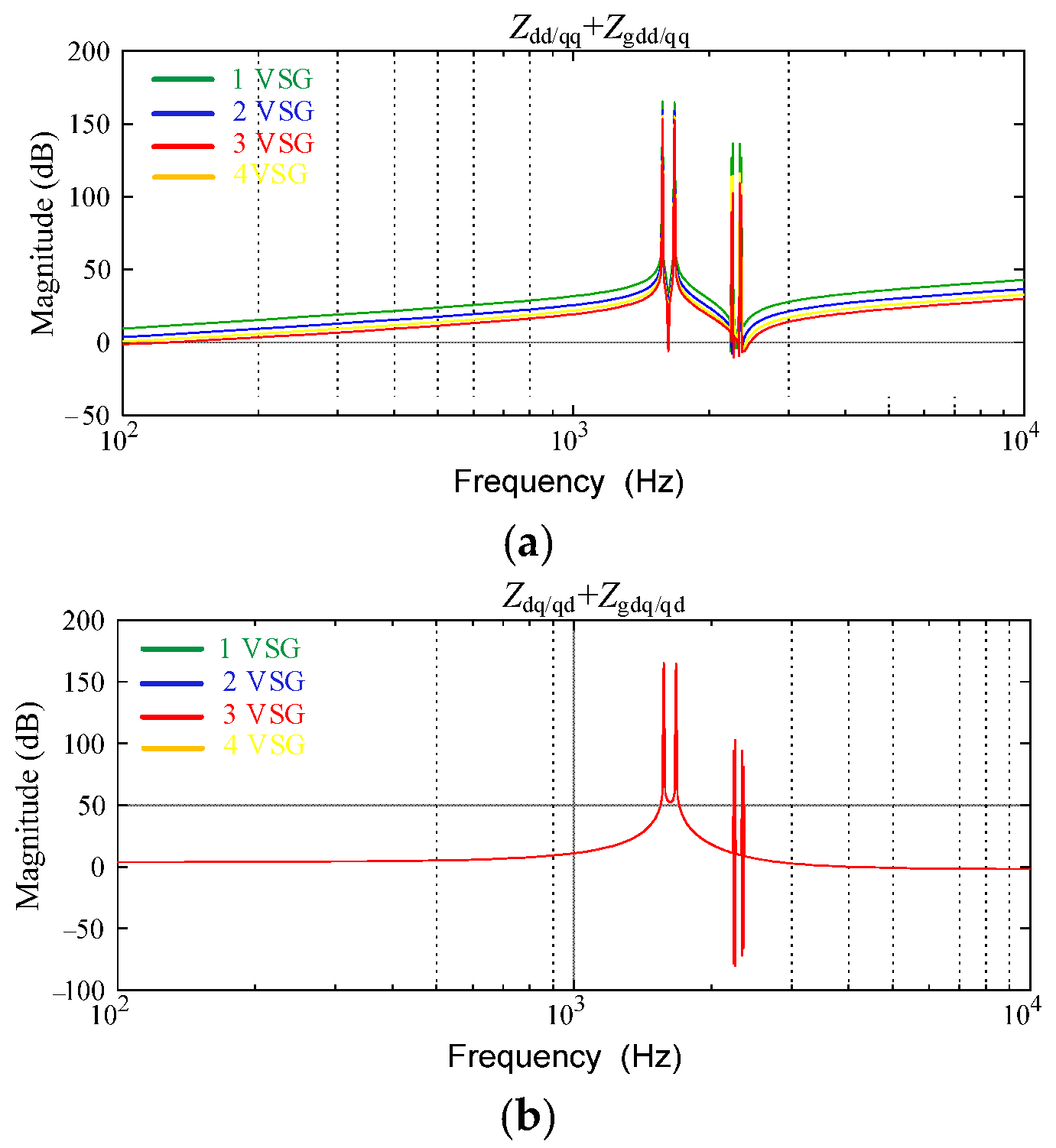
- The influence of the filter parameters, controller parameters, and grid parameters on the output impedance characteristics was addressed. It was concluded that the resonant frequency of the inverter-grid system based on a VSG was mainly determined by the filter. In the experimental case, the resonant point was around 2.3 kHz when the number of grid-connected inverters increased to three.
- (3)
- In addition, the capacitor current control for grid-connected inverters based on a VSG was proposed. With the dual-loop control strategy, the resonant peak was suppressed. Therefore, for an LCL-type grid-connected VSG cluster control, it is significant to add a capacitor current inner-loop controller to suppress the resonant peak and improve the system stability. The total harmonic distortion (THD) was reduced to 3.2%, which meets the requirements of IEEE standard 519.
- (4)
- Furthermore, the inverter-grid system based on a VSG presented low-impedance characteristics, indicating weak harmonic interaction characteristics. With the number of clustered VSG increasing, the weak interaction characteristics did not change. Therefore, the weak interaction characteristics are conducive for the VSG cluster to be connected to the grid.
Author Contributions
Funding
Institutional Review Board Statement
Informed Consent Statement
Conflicts of Interest
References
- Hirase, Y.; Ohara, Y.; Matsuura, N.; Yamazaki, T. Dynamics Analysis Using Koopman Mode Decomposition of a Microgrid Including Virtual Synchronous Generator-Based Inverters. Energies 2021, 14, 4581. [Google Scholar] [CrossRef]
- Guo, J.; Chen, Y.; Wang, L.; Wu, W.; Wang, X.; Shuai, Z.; Guerrero, J.M. Impedance Analysis and Stabilization of Virtual Synchronous Generators with Different DC-Link Voltage Controllers under Weak Grid. IEEE Trans. Power Electron. 2021, 36, 11397–11408. [Google Scholar] [CrossRef]
- Wen, T.; Zhu, D.; Zou, X.; Jiang, B.; Peng, L.; Kang, Y. Power Coupling Mechanism Analysis and Improved Decoupling Control for Virtual Synchronous Generator. IEEE Trans. Power Electron. 2021, 36, 3028–3041. [Google Scholar] [CrossRef]
- Cheng, H.; Shuai, Z.; Shen, C.; Liu, X.; Li, Z.; Shen, Z.J. Transient Angle Stability of Paralleled Synchronous and Virtual Synchronous Generators in Islanded Microgrids. IEEE Trans. Power Electron. 2020, 35, 8751–8765. [Google Scholar] [CrossRef]
- Chen, M.; Zhou, D.; Blaabjerg, F. Active Power Oscillation Damping Based on Acceleration Control in Paralleled Virtual Synchronous Generators System. IEEE Trans. Power Electron. 2021, 36, 9501–9510. [Google Scholar] [CrossRef]
- Zhong, Q.-C.; Weiss, G. Synchronverters: Inverters that mimic synchronous generators. IEEE Trans. Ind. Electron. 2011, 58, 1259–1267. [Google Scholar] [CrossRef]
- Sun, Y.; Zhao, Y.; Dou, Z.; Li, Y.; Guo, L. Model Predictive Virtual Synchronous Control of Permanent Magnet Synchronous Generator-Based Wind Power System. Energies 2020, 13, 5022. [Google Scholar] [CrossRef]
- Zhong, Q.; Nguyen, P.; Ma, Z.; Sheng, W. Self-synchronised synchronverters: Inverters without a dedicated synchronisation unit. IEEE Trans. Power Electron. 2014, 29, 617–630. [Google Scholar] [CrossRef]
- Hu, Y.; Shao, Y.; Yang, R.; Long, X.; Chen, G. A Configurable Virtual Impedance Method for Grid-Connected Virtual Synchronous Generator to Improve the Quality of Output Current. IEEE J. Emerg. Sel. Top. Power Electron. 2020, 8, 2404–2419. [Google Scholar] [CrossRef]
- Shi, K.; Song, W.; Ge, H.; Xu, P.; Yang, Y.; Blaabjerg, F. Transient Analysis of Microgrids with Parallel Synchronous Generators and Virtual Synchronous Generators. IEEE Trans. Energy Convers. 2020, 35, 95–105. [Google Scholar] [CrossRef]
- Wu, H.; Ruan, X.; Yang, D.; Chen, X.; Zhao, W.; Lv, Z.; Zhong, Q.-C. Small-Signal Modeling and Parameters Design for Virtual Synchronous Generators. IEEE Trans. Ind. Electron. 2016, 63, 4292–4303. [Google Scholar] [CrossRef]
- Deng, J.; Xia, N.; Yin, J.; Jin, J.; Peng, S.; Wang, T. Small-Signal Modeling and Parameter Optimization Design for Photovoltaic Virtual Synchronous Generator. Energies 2020, 13, 398. [Google Scholar] [CrossRef] [Green Version]
- Arco, D.; Suul, J. Equivalence of virtual synchronous machines and frequency-droops for converter-based microgrids. IEEE Trans. Smart Grid 2014, 5, 394–395. [Google Scholar] [CrossRef]
- Alipoor, J.; Miura, Y.; Ise, T. Power system stabilization using virtual synchronous generator with alternating moment of inertia. IEEE J. Emerg. Sel. Top. Power Electron. 2015, 3, 451–458. [Google Scholar] [CrossRef]
- Zheng, T.; Chen, L.; Wang, R.; Li, C.; Mei, S. Adaptive damping control strategy of virtual synchronous generator for frequency oscillation suppression. In Proceedings of the 12th IET International Conference on AC and DC Power Transmission (ACDC), Beijing, China, 28–29 May 2016. [Google Scholar]
- Wang, F.; Zhang, L.; Feng, X.; Guo, H. An adaptive control strategy for virtual synchronous generator. IEEE Trans. Ind. Appl. 2018, 54, 5124–5133. [Google Scholar] [CrossRef]
- Shi, R.; Zhang, X.; Liu, F.; Xu, H.; Tao, L. A dynamic voltage transient suppression control strategy for microgrid inverter. IEEE Trans. Ind. Electron. 2016, 63, 4292–4303. [Google Scholar] [CrossRef]
- Zhu, K.; Sun, P.; Zhou, L.; Du, X.; Luo, Q. Frequency-Division Virtual Impedance Shaping Control Method for Grid-Connected Inverters in a Weak and Distorted Grid. IEEE Trans. Power Electron. 2020, 35, 8116–8129. [Google Scholar] [CrossRef]
- Shi, R.; Zhang, X.; Liu, F.; Xu, H.; Hu, C.; Cao, W. Multiloop control strategy for virtual synchronous generator using only output voltage feedback. J. Power Supply 2017, 15, 17–25. [Google Scholar]
- Shi, R.; Zhang, X.; Liu, F.; Xu, H.; Hu, C.; Yu, Y.; Ni, H. A control strategy for unbalanced and nonlinear mixed loads of virtual synchronous generators. Proc. CSEE 2016, 36, 6086–6095. [Google Scholar] [CrossRef]
- Wu, W.; Zhou, L.; Chen, Y.; Luo, A.; Zhou, X.; He, Z.; Yang, L.; Liu, J. Stability comparison and analysis between the virtual synchronous generator and the traditional grid-connected inverter in the view of sequence impedance. Proc. CSEE 2019, 39, 1411–1421. [Google Scholar]
- Wu, W.; Chen, Y.; Zhou, L.; Luo, A.; Zhou, X.; He, Z.; Yang, L.; Xie, Z.; Liu, J.; Zhang, M. Sequence Impedance Modeling and Stability Comparative Analysis of Voltage-Controlled VSGs and Current-Controlled VSGs. IEEE Trans. Ind. Electron. 2019, 66, 6460–6472. [Google Scholar] [CrossRef]
- Wang, S.; Liu, Z.; Liu, J. Modeling of d-q small-signal impedance of virtual synchronous generator. In Proceedings of the 2018 IEEE International Power Electronics and Application Conference and Exposition (PEAC), Shenzhen, China, 4–7 November 2018; pp. 1–6. [Google Scholar]
- Wang, F.F.; Duarte, J.L.; Hendrix, M.A.M.; Ribeiro, P. Modeling and Analysis of Grid Harmonic Distortion Impact of Aggregated DG Inverters. IEEE Trans. Power Electron. 2011, 26, 786–797. [Google Scholar] [CrossRef]
- Shuai, Z.; Li, Y.; Wu, W.; Tu, C.; Luo, A.; Shen, J.Z. Divided DQ Small-Signal Model: A New Perspective for the Stability Analysis of Three-Phase Grid-Tied Inverters. IEEE Trans. Ind. Electron. 2019, 66, 6493–6504. [Google Scholar] [CrossRef]
- Rathnayake, D.B.; Razzaghi, R.; Bahrani, B. Generalized virtual synchronous generator control design for renewable power systems. IEEE Trans. Sustain. Energy 2022, 13, 1021–1036. [Google Scholar] [CrossRef]






















| Parameter | Value | Parameter | Value |
|---|---|---|---|
| Grid voltage | 220 V | Proportional coefficient of capacitor voltage Kp | 0.1 |
| Grid frequency | 50 Hz | Integral coefficient of capacitor voltage Ki | 20 |
| DC bus voltage | 800 V | Proportional coefficient of capacitor current Kic | 20 |
| Inverter-side inductor | 2.4 mH | Rotational inertia | 0.057 |
| Grid-side inductor | 2.4 mH | Droop coefficient | 1592 |
| Filter capacitor | 4 μF | Grid resistance | 0.5 Ω |
| Switching frequency | 16 kHz | Grid inductor | 0.08 mH |
| Injected Harmonics | THD |
|---|---|
| 2.1 kHz | 5.64% |
| 2.3 kHz | 32% |
| 2.5 kHz | 5.78% |
| Without CC Control | With CC Control | |
|---|---|---|
| THD | 32% | 3.2% |
Publisher’s Note: MDPI stays neutral with regard to jurisdictional claims in published maps and institutional affiliations. |
© 2022 by the authors. Licensee MDPI, Basel, Switzerland. This article is an open access article distributed under the terms and conditions of the Creative Commons Attribution (CC BY) license (https://creativecommons.org/licenses/by/4.0/).
Share and Cite
Ren, L.; Guo, H.; Dou, Z.; Wang, F.; Zhang, L. Modeling and Analysis of the Harmonic Interaction between Grid-Connected Inverter Clusters and the Utility Grid. Energies 2022, 15, 3490. https://doi.org/10.3390/en15103490
Ren L, Guo H, Dou Z, Wang F, Zhang L. Modeling and Analysis of the Harmonic Interaction between Grid-Connected Inverter Clusters and the Utility Grid. Energies. 2022; 15(10):3490. https://doi.org/10.3390/en15103490
Chicago/Turabian StyleRen, Lintao, Hui Guo, Zhenlan Dou, Fei Wang, and Lijun Zhang. 2022. "Modeling and Analysis of the Harmonic Interaction between Grid-Connected Inverter Clusters and the Utility Grid" Energies 15, no. 10: 3490. https://doi.org/10.3390/en15103490
APA StyleRen, L., Guo, H., Dou, Z., Wang, F., & Zhang, L. (2022). Modeling and Analysis of the Harmonic Interaction between Grid-Connected Inverter Clusters and the Utility Grid. Energies, 15(10), 3490. https://doi.org/10.3390/en15103490

