Numerical Modeling of the Effects of Pore Characteristics on the Electric Breakdown of Rock for Plasma Pulse Geo Drilling
Abstract
:1. Introduction
2. Model Description
2.1. Sample-Scale Simulation
2.1.1. Simulation Domain and Parameters
2.1.2. Electric Field Distribution
2.2. Pore-Scale Simulation
2.2.1. Simulation Domain and Parameters
2.2.2. Electric Field Distribution
2.3. Dielectric Strength of the Pore Fluid
2.3.1. Air Dielectric Strength
2.3.2. Dielectric Strength of Water
3. Results and Discussion
3.1. Sample-Scale Electric Field
3.2. Pore-Scale Electric Field
3.3. Pore Fluid Dielectric Strength
3.4. Granite Dielectric Strength
4. Conclusions
- 1
- The electric field enhancement factor is always largest in the near-electrode region, with an average value of 4.5, causing local rock damage. However, an average enhancement factor of only 0.9 tends to result in the inter-electrode region. Therefore, local electric breakdowns (i.e., the plasma formation inside the pores), and the associated fracturing of the rock, are more likely to occur near the electrodes and between them.
- 2
- The pore-scale electric field enhancement factor for air-filled pores varies between1.5 and 2, depending on the pore shape and orientation. Values of 1.5 and 2 apply to an ellipse with its major axis oriented parallel and perpendicular to the predominant electric field direction, respectively. Hence, pores near the electrodes that are elongated parallel to the rock surface (given our model geometry) and pores in the mid-point region between the electrodes with perpendicular elongations yield increased electric field enhancement factors, promoting local electric breakdown and associated rock damage, and thus PPGD operations.
- 3
- The average enhancement factor for the air-filled pores is 1.75, that for water is typically less than 0.2, and that for brine is between these two values. Therefore, rock saturated with a pore fluid of electric permittivity lower than that of water ( = 80), such as air ( = 1) or brine ( = 54), facilitates the PPGD process. Additionally, this finding can pose a challenge for PPGD as rocks at great depths, particularly crystalline basement rocks that are more common at greater depths, are unlikely to have gas-filled (e.g., air or methane) pores and are more likely liquid water-filled or, for the PPGD process better, brine-filled.
- 4
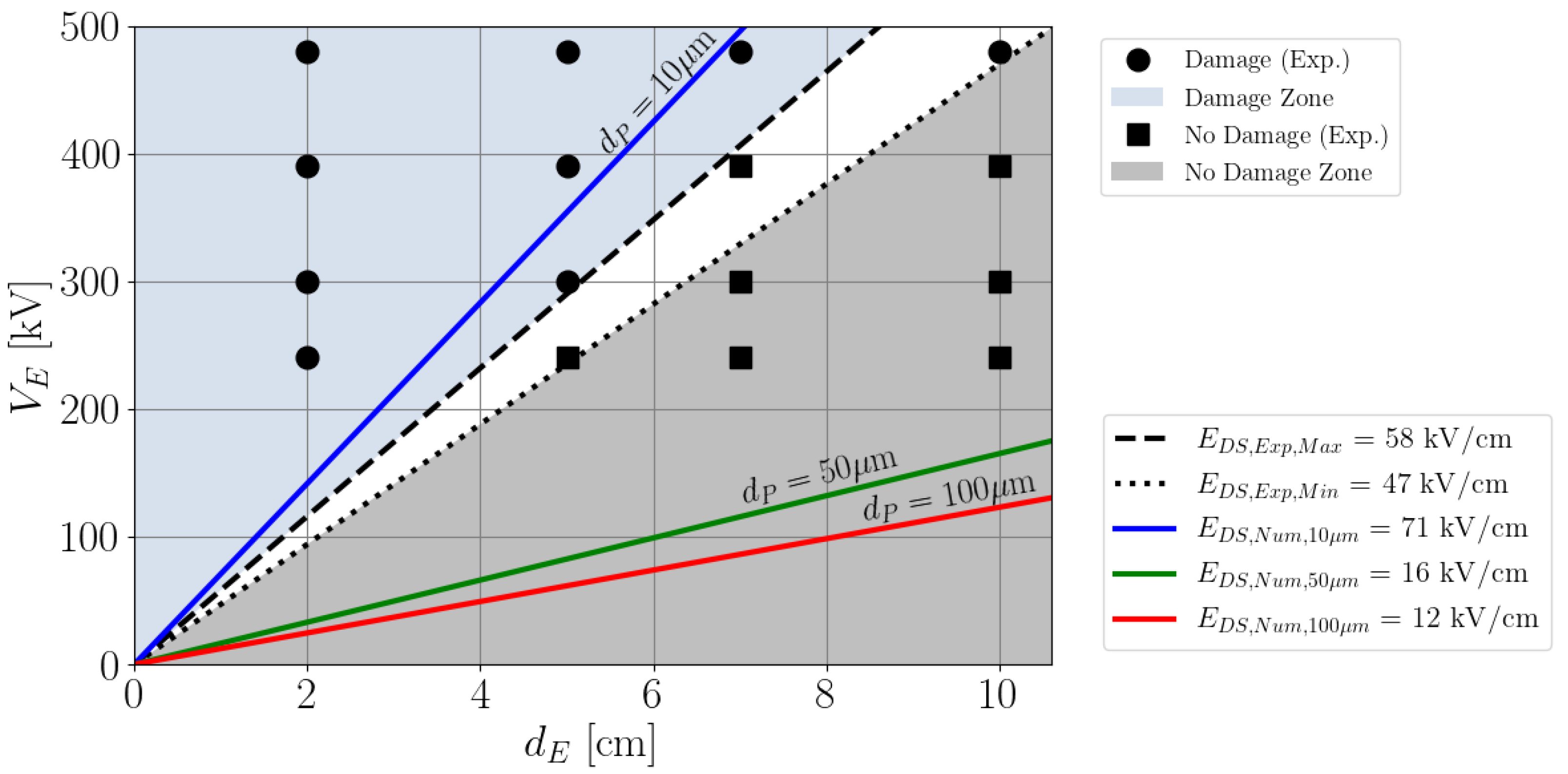
- The dielectric strength of air-filled pores, required to be overcome to cause local electric breakdown to damage the rock, decreases with pore size (larger than 10 m) and increases with air pressure in the pore (less than 2.5 MPa). Therefore, achieving damage in rocks that exhibit rather large pore (e.g., sandstones and tuffs) is easier than in rocks with comparatively smaller pores (e.g., granites), which is consistent with the experimental observations of Lisitsyn et al. [19].
- 5
- Experimental results from Inoue et al. [20] show a range of granite dielectric strengths between 47 kV/cm and 58 kV/cm, compared to our numerical model estimates, which range from 47 kV/cm to 71 kV/cm. Using an average pore enhancement factor of 7.87 and pore sizes of 13 and 10 m, we estimate a range of dielectric strengths for granite from 47 kV/cm to 71 kV/cm, which agrees well with the values observed by Inoue et al. [20].
Author Contributions
Funding
Institutional Review Board Statement
Informed Consent Statement
Data Availability Statement
Acknowledgments
Conflicts of Interest
References
- Malek, A.E.; Adams, B.; Rossi, E.; Schiegg, H.O.; Saar, M.O. Electric Power Generation, Specific Capital Cost, and Specific Power for Advanced Geothermal Systems (AGS). In Proceedings of the 46th Workshop on Geothermal Reservoir Engineering, Online, 16–18 February 2021. [Google Scholar] [CrossRef]
- Amann, F.; Gischig, V.; Evans, K.; Doetsch, J.; Jalali, R.; Valley, B.; Krietsch, H.; Dutler, N.; Villiger, L.; Brixel, B.; et al. The seismo-hydromechanical behavior during deep geothermal reservoir stimulations: Open questions tackled in a decameter-scale in situ stimulation experiment. Solid Earth 2018, 9, 115–137. [Google Scholar] [CrossRef] [Green Version]
- Gischig, V.S.; Giardini, D.; Amann, F.; Hertrich, M.; Krietsch, H.; Loew, S.; Maurer, H.; Villiger, L.; Wiemer, S.; Bethmann, F.; et al. Hydraulic stimulation and fluid circulation experiments in underground laboratories: Stepping up the scale towards engineered geothermal systems. Geomech. Energy Environ. 2020, 24, 100175. [Google Scholar] [CrossRef]
- Schiegg, H.O.; Rødland, A.; Zhu, G.; Yuen, D.A. Electro-pulse-boring (EPB): Novel super-deep drilling technology for low cost electricity. J. Earth Sci. 2015, 26, 37–46. [Google Scholar] [CrossRef]
- Randolph, J.B.; Saar, M.O. Combining geothermal energy capture with geologic carbon dioxide sequestration. Geophys. Res. Lett. 2011, 38, 1–7. [Google Scholar] [CrossRef] [Green Version]
- Adams, B.M.; Vogler, D.; Kuehn, T.H.; Bielicki, J.M.; Garapati, N.; Saar, M.O. Heat depletion in sedimentary basins and its effect on the design and electric power output of CO2 Plume Geothermal (CPG) systems. Renew. Energy 2021, 172, 1393–1403. [Google Scholar] [CrossRef]
- Ezekiel, J.; Kumbhat, D.; Ebigbo, A.; Adams, B.M.; Saar, M.O. Sensitivity of reservoir and operational parameters on the energy extraction performance of combined co2-egr–cpg systems. Energies 2021, 14, 6122. [Google Scholar] [CrossRef]
- Ezekiel, J.; Adams, B.M.; Saar, M.O.; Ebigbo, A. Numerical analysis and optimization of the performance of CO2-Plume Geothermal (CPG) production wells and implications for electric power generation. Geothermics 2022, 98, 102270. [Google Scholar] [CrossRef]
- Adams, B.M.; Kuehn, T.H.; Bielicki, J.M.; Randolph, J.B.; Saar, M.O. A comparison of electric power output of CO2 Plume Geothermal (CPG) and brine geothermal systems for varying reservoir conditions. Appl. Energy 2015, 140, 365–377. [Google Scholar] [CrossRef]
- Chamorro, C.R.; García-Cuesta, J.L.; Mondéjar, M.E.; Pérez-Madrazo, A. Enhanced geothermal systems in Europe: An estimation and comparison of the technical and sustainable potentials. Energy 2014, 65, 250–263. [Google Scholar] [CrossRef]
- Tester, J.; Anderson, B.; Batchelor, A.; Blackwell, D.; DiPippo, R.; Drake, E.; Garnish, J.; Livesay, B.; Moore, M.; Nichols, K.; et al. The Future of Geothermal Energy; Idaho National Laboratory: Idaho Falls, ID, USA, 2006. [Google Scholar]
- Lukawski, M.Z.; Anderson, B.J.; Augustine, C.; Capuano, L.E.; Beckers, K.F.; Livesay, B.; Tester, J.W. Cost analysis of oil, gas, and geothermal well drilling. J. Pet. Sci. Eng. 2014, 118, 1–14. [Google Scholar] [CrossRef]
- Ushakov, V.Y.; Vajov, V.F.; Zinoviev, N.T. Electro-Discharge Technology for Drilling Wells and Concrete Destruction; Springer: Cham, Switzerland, 2019. [Google Scholar]
- Vogler, D.; Walsh, S.D.; von Rohr, P.R.; Saar, M.O. Simulation of rock failure modes in thermal spallation drilling. Acta Geotech. 2020, 15, 2327–2340. [Google Scholar] [CrossRef]
- Rossi, E.; Kant, M.A.; Madonna, C.; Saar, M.O.; Rudolf von Rohr, P. The Effects of High Heating Rate and High Temperature on the Rock Strength: Feasibility Study of a Thermally Assisted Drilling Method. Rock Mech. Rock Eng. 2018, 51, 2957–2964. [Google Scholar] [CrossRef]
- Rossi, E.; Adams, B.; Vogler, D.; Rudolf von Rohr, P.; Kammermann, B.; Saar, M.O. Advanced drilling technologies to improve the economics of deep geo-resource utilization. In Proceedings of the 2nd Applied Energy Symposium: MIT A+ B (MITAB 2020) (virtual). ETH Zurich, Geothermal Energy & Geofluids, Cambridge, MA, USA, 12–14 August 2020; p. 148. [Google Scholar] [CrossRef]
- Buckstegge, F.; Michel, T.; Zimmermann, M.; Roth, S.; Schmidt, M. Advanced Rock Drilling Technologies Using High Laser Power. Phys. Procedia 2016, 83, 336–343. [Google Scholar] [CrossRef] [Green Version]
- Woskov, P.P.; Einstein, H.H.; Oglesby, K.D. Penetrating rock with intense millimeter-waves. In Proceedings of the 2014 39th International Conference on Infrared, Millimeter, and Terahertz Waves (IRMMW-THz), Tucson, AZ, USA, 14–19 September 2014; pp. 1–2. [Google Scholar] [CrossRef]
- Lisitsyn, I.; Inoue, H.; Nishizawa, I.; Katsuki, S.; Akiyama, H. Breakdown and destruction of heterogeneous solid dielectrics by high voltage pulses. J. Appl. Phys. 1998, 84, 6262–6267. [Google Scholar] [CrossRef]
- Inoue, H.; Lisitsyn, I.V.; Akiyama, H.; Nishizawa, I. Pulsed Electric Breakdown and Destruction of Granite. Jpn. J. Appl. Phys. 1999, 38, 6502–6505. [Google Scholar] [CrossRef]
- Yan, F.; Xu, J.; Peng, S.; Zou, Q.; Zhou, B.; Long, K.; Zhao, Z. Breakdown process and fragmentation characteristics of anthracite subjected to high-voltage electrical pulses treatment. Fuel 2020, 275, 117926. [Google Scholar] [CrossRef]
- Zhu, X.; Luo, Y.; Liu, W.; He, L.; Gao, R.; Jia, Y. On the Mechanism of High-Voltage Pulsed Fragmentation from Electrical Breakdown Process. Rock Mech. Rock Eng. 2021, 54, 4593–4616. [Google Scholar] [CrossRef]
- Ezzat, M.; Vogler, D.; Saar, M.O.; Adams, B.M. Simulating Plasma Formation in Pores under Short Electric Pulses for Plasma Pulse Geo Drilling (PPGD). Energies 2021, 14, 4717. [Google Scholar] [CrossRef]
- Anders, E.; Voigt, M.; Lehmann, F.; Mezzetti, M. Electric Impulse Drilling: The Future of Drilling Technology Begins Now. In Proceedings of the 36th International Conference on Ocean, Offshore & Arctic Engineering, Trondheim, Norway, 25–30 June 2017; OMAE: Trondheim, Norway, 2017; Volume 8. [Google Scholar] [CrossRef]
- Rodland, A. Deep geothermal energy; photonics for harvesting. In Proceedings of the Swissphotonics-Workshop, Photonics for Deep Geothermal Energy Harvesting, Neuchâtel, Switzerland, 7 November 2012. [Google Scholar]
- Wang, E.; Shi, F.; Manlapig, E. Pre-weakening of mineral ores by high voltage pulses. Miner. Eng. 2011, 24, 455–462. [Google Scholar] [CrossRef]
- Zhu, C.; Lu, X.; Gao, Z.; Yan, F.; Guo, C.; Zhang, X. Effect of high-voltage thermal breakdown on pore characteristics of coal. Int. J. Min. Sci. Technol. 2017, 27, 1051–1055. [Google Scholar] [CrossRef]
- Li, C.; Duan, L.; Tan, S.; Chikhotkin, V.; Fu, W. Damage model and numerical experiment of high-voltage electro pulse boring in granite. Energies 2019, 12, 727. [Google Scholar] [CrossRef] [Green Version]
- Vorob’ev, A.; Vorob’ev, G.; Chepikov, A. Regularities of Breakdown of a Solid Dielectric at the Interface with a Liquid Dielectric under the Action of a Voltage Pulse; Certificate of the Opening of NA-122; Vyshaya Shkola: Moscow, Russia, 1961. (In Russian) [Google Scholar]
- Jonscher, A.; Lacoste, R. On a cumulative model of dielectric breakdown in solids. IEEE Trans. Electr. Insul. 1984, 6, 567–577. [Google Scholar] [CrossRef]
- Lehr, J.; Ron, P. Foundations of Pulsed Power Technology; John Wiley & Sons: Hoboken, NJ, USA, 2017. [Google Scholar]
- Timoshkin, I.V.; Mackersie, J.W.; MacGregor, S.J. Plasma channel miniature hole drilling technology. IEEE Trans. Plasma Sci. 2004, 32, 2055–2061. [Google Scholar] [CrossRef]
- Li, C.; Duan, L.; Wu, L.; Tan, S.; Zheng, J.; Chikhotkin, V. Experimental and numerical analyses of electro-pulse rock-breaking drilling. J. Nat. Gas Sci. Eng. 2020, 77, 103263. [Google Scholar] [CrossRef]
- Zhao, L. Theoretical calculation on formative time lag in polymer breakdown on a nanosecond time scale. IEEE Trans. Dielectr. Electr. Insul. 2020, 27, 1051–1058. [Google Scholar] [CrossRef]
- Vogler, D.; Walsh, S.D.; Saar, M.O. A numerical investigation into key factors controlling hard rock excavation via electropulse stimulation. J. Rock Mech. Geotech. Eng. 2020, 12, 793–801. [Google Scholar] [CrossRef]
- Vazhov, V.F.; Gafarov, R.R.; Datskevich, S.Y.; Zhurkov, M.Y.; Lopatin, V.V.; Muratov, V.M.; Jeffryes, B. Breakage of rocks by pulsed electric discharge at elevated pressures and temperatures. Tech. Phys. Lett. 2011, 37, 383. [Google Scholar] [CrossRef]
- Griffiths, D.J. Introduction to Electrodynamics, 4th ed.; Cambridge University Press: Cambridge, UK, 2017. [Google Scholar] [CrossRef]
- Sychev, V.V. Insulators. In Complex Thermodynamic Systems; Springer: New York, NY, USA, 1973; pp. 95–117. [Google Scholar]
- Permann, C.J.; Gaston, D.R.; Andrš, D.; Carlsen, R.W.; Kong, F.; Lindsay, A.D.; Miller, J.M.; Peterson, J.W.; Slaughter, A.E.; Stogner, R.H.; et al. MOOSE: Enabling massively parallel multiphysics simulation. SoftwareX 2020, 11, 100430. [Google Scholar] [CrossRef]
- Haffen, S.; Géraud, Y.; Rosener, M.; Diraison, M. Thermal conductivity and porosity maps for different materials: A combined case study of granite and sandstone. Geothermics 2017, 66, 143–150. [Google Scholar] [CrossRef]
- Archer, D.G.; Wang, P. The dielectric constant of water and Debye-Hückel limiting law slopes. J. Phys. Chem. Ref. Data 1990, 19, 371–411. [Google Scholar] [CrossRef] [Green Version]
- Gavish, N.; Promislow, K. Dependence of the dielectric constant of electrolyte solutions on ionic concentration: A microfield approach. Phys. Rev. E 2016, 94, 012611. [Google Scholar] [CrossRef] [Green Version]
- Hector, L.G.; Schultz, H.L. The Dielectric Constant of Air at Radiofrequencies. Physics 1936, 7, 133–136. [Google Scholar] [CrossRef]
- Fu, Y.; Zhang, P.; Verboncoeur, J.P.; Wang, X. Electrical breakdown from macro to micro/nano scales: A tutorial and a review of the state of the art. Plasma Res. Express 2020, 2, 013001. [Google Scholar] [CrossRef]
- Husain, E.; Nema, R.S. Analysis of Paschen Curves for air, N2 and SF6 Using the Townsend Breakdown Equation. IEEE Trans. Electr. Insul. 1982, EI-17, 350–353. [Google Scholar] [CrossRef]
- Hopf, A.; Rossner, M.; Berger, F.; Prucker, U. Dielectric Strength of Alternative Insulation Gases at High pressureStreamer influence on Paschen’s law at high pressure. In Proceedings of the Electroenergetica Glasamy Molodeshny, Ivanovo, Russia, 21 November 2015; pp. 394–399. [Google Scholar]
- Slade, P.; Taylor, E. Electrical breakdown in atmospheric air between closely spaced (0.2 mum–40 mum) electrical contacts. IEEE Trans. Compon. Packag. Technol. 2002, 25, 390–396. [Google Scholar] [CrossRef]
- Tirumala, R.; Go, D.B. An analytical formulation for the modified Paschen’s curve. Appl. Phys. Lett. 2010, 97, 151502. [Google Scholar] [CrossRef]
- Loveless, A.M.; Meng, G.; Ying, Q.; Wu, F.; Wang, K.; Cheng, Y.; Garner, A.L. The transition to Paschen’s law for microscale gas breakdown at subatmospheric pressure. Sci. Rep. 2019, 9, 5669. [Google Scholar] [CrossRef] [Green Version]
- Martin, J.; Reess, T.; De Ferron, A.; Ruscassié, R.; Bethbeder, F.R. Influence of hydrostatic pressure and temperature on the water dielectric strength and on the dynamic pressure wave. In Proceedings of the 2012 IEEE International Power Modulator and High Voltage Conference (IPMHVC), San Diego, CA, USA, 3–7 June 2012; pp. 370–373. [Google Scholar] [CrossRef]
- Zicheng, Z.; Jiande, Z.; Jianhua, Y. Experimental Study on High Electrical Breakdown of Water Dielectric. Plasma Sci. Technol. 2005, 7, 3161–3165. [Google Scholar] [CrossRef]
- Walsh, S.D.; Vogler, D. Simulating electropulse fracture of granitic rock. Int. J. Rock Mech. Min. Sci. 2020, 128, 104238. [Google Scholar] [CrossRef] [Green Version]
- Walsh, S.; Czaszejko, T.; Vogler, D. Electropulse stimulation of rock: Insights from grain-scale experimental studies and numerical models. In Proceedings of the ISRM International Symposium-EUROCK 2020, OnePetro, physical Event Not Held, 14–19 June 2020. [Google Scholar]
- Vazhov, V.F.; Gafarov, R.; Datskevich, S.Y.; Zhurkov, M.Y.; Muratov, V.M. Electric-pulse breakdown and the breakage of granite. Tech. Phys. 2010, 55, 833–838. [Google Scholar] [CrossRef]
- Vazhov, V.F.; Datskvich, S.Y.; Zhurkov, M.Y.; Muratov, V.M. Electric pulse breakdown and rock fracture in a coupled environment of increased pressure and temperature. J. Phys. Conf. Ser. 2014, 552, 012050. [Google Scholar] [CrossRef] [Green Version]







| Name | Symbol | Value | Unit | Reference |
|---|---|---|---|---|
| Sample width | 13 | cm | Inoue et al. [20] | |
| Sample height | 3 | cm | Inoue et al. [20] | |
| Electrode gap distance | 5 | cm | Inoue et al. [20] | |
| Electrode voltage | 380 | kV | Inoue et al. [20] | |
| Electric permittivity of granite | 6 | - | Ezzat et al. [23] | |
| Left electrode: Dirichlet BC | - | 380 | kV | Inoue et al. [20] |
| Right electrode: Dirichlet BC | - | 0 | kV | Inoue et al. [20] |
| Rest of boundaries: Neumann BC | - | 0 | kV/cm | Inoue et al. [20] |
| Name | Symbol | Value | Unit | Reference |
|---|---|---|---|---|
| Domain width | 1 | unit length | Justified | |
| Domain height | 1 | unit length | Justified | |
| Porosity | 1% | - | Haffen et al. [40] | |
| Electric permittivity of granite | 6 | - | Ezzat et al. [23] | |
| Electric permittivity of air | 1 | - | Hector and Schultz [43] | |
| Electric permittivity of water | 80 | - | Archer and Wang [41] | |
| Left side: Dirichlet BC | - | 1 | unit voltage | Justified |
| Right side: Dirichlet BC | - | 0 | unit voltage | Justified |
| Top and bottom sides: Neumann BC | - | 0 | unit voltage/unit length | Justified |
Publisher’s Note: MDPI stays neutral with regard to jurisdictional claims in published maps and institutional affiliations. |
© 2021 by the authors. Licensee MDPI, Basel, Switzerland. This article is an open access article distributed under the terms and conditions of the Creative Commons Attribution (CC BY) license (https://creativecommons.org/licenses/by/4.0/).
Share and Cite
Ezzat, M.; Adams, B.M.; Saar, M.O.; Vogler, D. Numerical Modeling of the Effects of Pore Characteristics on the Electric Breakdown of Rock for Plasma Pulse Geo Drilling. Energies 2022, 15, 250. https://doi.org/10.3390/en15010250
Ezzat M, Adams BM, Saar MO, Vogler D. Numerical Modeling of the Effects of Pore Characteristics on the Electric Breakdown of Rock for Plasma Pulse Geo Drilling. Energies. 2022; 15(1):250. https://doi.org/10.3390/en15010250
Chicago/Turabian StyleEzzat, Mohamed, Benjamin M. Adams, Martin O. Saar, and Daniel Vogler. 2022. "Numerical Modeling of the Effects of Pore Characteristics on the Electric Breakdown of Rock for Plasma Pulse Geo Drilling" Energies 15, no. 1: 250. https://doi.org/10.3390/en15010250
APA StyleEzzat, M., Adams, B. M., Saar, M. O., & Vogler, D. (2022). Numerical Modeling of the Effects of Pore Characteristics on the Electric Breakdown of Rock for Plasma Pulse Geo Drilling. Energies, 15(1), 250. https://doi.org/10.3390/en15010250

