Steam-Water Modelling and the Coal-Saving Scheduling Strategy of Combined Heat and Power Systems
Abstract
:1. Introduction
2. Model Development
2.1. Thermodynamic Modelling
2.2. Analysis Modelling
2.2.1. Analysis of Energy Utilization Efficiency
2.2.2. Analysis of Exergy Efficiency
2.2.3. Analysis of Coal Consumption
3. Optimization Model Development
3.1. Objective Function
3.2. Constraints
3.3. Optimization Method
4. Case Study
4.1. Reference CHP Unit
4.2. Model Validation
4.3. Calculation Results of Heat-Power Characteristics
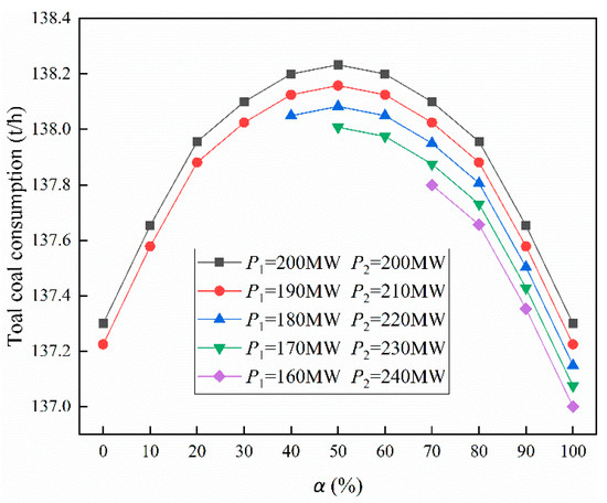
4.4. Results of Economic Analysis
4.5. Results of Economic Analysis
5. Conclusions
Author Contributions
Funding
Institutional Review Board Statement
Data Availability Statement
Conflicts of Interest
References
- Wang, C.; Song, J.; Zhu, L.; Zheng, W.; Liu, Z.; Lin, C. Peak shaving and heat supply flexibility of thermal power plants. Appl. Therm. Eng. 2021, 193, 117030. [Google Scholar] [CrossRef]
- Liu, M.; Ma, G.; Wang, S.; Wang, Y.; Yan, J. Thermo-economic comparison of heat–power decoupling technologies for combined heat and power plants when participating in a power-balancing service in an energy hub. Renew. Sustain. Energy Rev. 2021, 152, 111715. [Google Scholar] [CrossRef]
- Cao, L.; Wang, Z.; Pan, T.; Dong, E.; Hu, P.; Liu, M.; Ma, T. Analysis on wind power accommodation ability and coal consumption of heat–power decoupling technologies for CHP units. Energy 2021, 231, 120833. [Google Scholar] [CrossRef]
- Lepiksaar, K.; Mašatin, V.; Latõšov, E.; Siirde, A.; Volkova, A. Improving CHP flexibility by integrating thermal energy storage and power-to-heat technologies into the energy system. Smart Energy 2021, 2, 100022. [Google Scholar] [CrossRef]
- Lai, F.; Wang, S.; Liu, M.; Yan, J. Operation optimization on the large-scale CHP station composed of multiple CHP units and a thermocline heat storage tank. Energy Convers. Manag. 2020, 211, 112767. [Google Scholar] [CrossRef]
- Cho, H.; Sarwar, R.; Mago, P.J.; Luck, R. Design and feasibility study of combined heat and power systems integrated with heat pump. Appl. Therm. Eng. 2016, 93, 155–165. [Google Scholar] [CrossRef]
- Liu, M.; Wang, S.; Zhao, Y.; Tang, H.; Yan, J. Heat–power decoupling technologies for coal-fired CHP plants: Operation flexibility and thermodynamic performance. Energy 2019, 188, 116074. [Google Scholar] [CrossRef]
- Ge, Z.H.; Sun, S.M.; Wan, Y.; Zhao, S.; He, J. Applicability Analysis of High Back-pressure Heating Retrofit for Large-scale Steam Turbine Unit. Proc. CSEE 2017, 37, 3216–3222, 3377. [Google Scholar]
- E, Z.Z.; Zhang, L.; Yang, B.Y.; Wang, Z.Y.; Wang, S.; Liu, M. Theoretical Study on Heat-electricity Decoupling and Energy Saving of Low-pressure Cylinder Zero Output Renovation of Heat and Power Cogeneration Units. Turbine Technol. 2019, 61, 383–386, 391. (In Chinese) [Google Scholar]
- Feng, L.; Dai, X.; Mo, J.; Shi, L. Feasibility Analysis of the Operation Strategies for Combined Cooling, Heating and Power Systems (CCHP) based on the Energy-Matching Regime. J. Therm. Sci. 2020, 29, 1149–1164. [Google Scholar] [CrossRef]
- Zhang, H.; Li, Z.; Zhao, H. Thermodynamic performance analysis of a novel electricity-heating cogeneration system (EHCS) based on absorption heat pump applied in the coal-fired power plant. Energy Convers. Manag. 2015, 105, 1125–1137. [Google Scholar] [CrossRef]
- Mohamed, A.; Hamdy, M.; Hasan, A.; Sirén, K. The performance of small scale multi-generation technologies in achieving cost-optimal and zero-energy office building solutions. Appl. Energy 2015, 152, 94–108. [Google Scholar] [CrossRef] [Green Version]
- Benalcazar, P. Optimal sizing of thermal energy storage systems for CHP plants considering specific investment costs: A case study. Energy 2021, 234, 121323. [Google Scholar] [CrossRef]
- Wang, W.; Liu, J.; Zeng, D.; Niu, Y.; Cui, C. Modeling for condensate throttling and its application on the flexible load control of power plants. Appl. Therm. Eng. 2016, 95, 303–310. [Google Scholar] [CrossRef]
- Liu, J.; Liu, Y.; Wang, W. A Matrix Method for Study on Static Load Response of Thermal Power Units Caused by Condensate Throttling Based on Steam-Water Distribution Equation. J. Chin. Soc. Power Eng. 2015, 35, 318–324. [Google Scholar]
- Han, Z.; Xiang, P. Modeling condensate throttling to improve the load change performance of cogeneration units. Energy 2020, 192, 116684. [Google Scholar] [CrossRef]
- Long, D.; Wang, W.; Yao, C.; Liu, J. An experiment-based model of condensate throttling and its utilization in load control of 1000 MW power units. Energy 2017, 133, 941–954. [Google Scholar] [CrossRef]
- Wang, W.; Jing, S.; Sun, Y.; Liu, J.; Niu, Y.; Zeng, D.; Cui, C. Combined heat and power control considering thermal inertia of district heating network for flexible electric power regulation. Energy 2018, 169, 988–999. [Google Scholar] [CrossRef]
- De, S.; Kaiadi, M.; Fast, M.; Assadi, M. Development of an artificial neural network model for the steam process of a coal biomass cofired combined heat and power (CHP) plant in Sweden. Energy 2007, 32, 2099–2109. [Google Scholar] [CrossRef]
- Zhou, S.; Rong, F.; Ning, X. Optimization Control Strategy for Large Doubly-Fed Induction Generator Wind Farm Based on Grouped Wind Turbine. Energies 2021, 14, 4848. [Google Scholar] [CrossRef]
- Zahedi Vahid, M.; Ali, Z.M.; Seifi Najmi, E.; Ahmadi, A.; Gandoman, F.H.; Aleem, S.H. Optimal Allocation and Planning of Distributed Power Generation Resources in a Smart Distribution Network Using the Manta Ray Foraging Optimization Algorithm. Energies 2021, 14, 4856. [Google Scholar] [CrossRef]
- Sahu, R.K.; Panda, S.; Sekhar, G.C. A novel hybrid PSO-PS optimized fuzzy PI controller for AGC in multi area interconnected power systems. Int. J. Electr. Power Energy Syst. 2015, 64, 880–893. [Google Scholar] [CrossRef]
- Zhang, J.; Cho, H.; Mago, P.J.; Zhang, H.; Yang, F. Multi-Objective Particle Swarm Optimization (MOPSO) for a Distributed Energy System Integrated with Energy Storage. J. Therm. Sci. 2019, 28, 1221–1235. [Google Scholar] [CrossRef]
- Lü, X.; Wu, Y.; Lian, J.; Zhang, Y. Energy management and optimization of PEMFC/battery mobile robot based on hybrid rule strategy and AMPSO. Renew. Energy 2021, 171, 881–901. [Google Scholar]
- ICAP. Emissions Trading Worldwide: Status Report 2021; International Carbon 470 Action Partnership: Berlin, Germany, 2021. [Google Scholar]














| Items | Value |
|---|---|
| Design power/MW | 330 |
| Pressure of main steam/MPa | 16.70 |
| Temperature of main steam/°C | 537 |
| Pressure of hot reheat steam/MPa | 3.20 |
| Temperature of hot reheat steam/°C | 537 |
| Maximum flow rate of industrial extraction steam/th-1 | 100 |
| Pressure of industrial steam demanded/MPa | 2.20 |
| Temperature of industrial steam demanded/°C | 315 |
| Pressure of exhaust steam/KPa | 6.57 |
Publisher’s Note: MDPI stays neutral with regard to jurisdictional claims in published maps and institutional affiliations. |
© 2021 by the authors. Licensee MDPI, Basel, Switzerland. This article is an open access article distributed under the terms and conditions of the Creative Commons Attribution (CC BY) license (https://creativecommons.org/licenses/by/4.0/).
Share and Cite
Guo, J.; Zheng, W.; Cong, Z.; Shang, P.; Wang, C.; Song, J. Steam-Water Modelling and the Coal-Saving Scheduling Strategy of Combined Heat and Power Systems. Energies 2022, 15, 141. https://doi.org/10.3390/en15010141
Guo J, Zheng W, Cong Z, Shang P, Wang C, Song J. Steam-Water Modelling and the Coal-Saving Scheduling Strategy of Combined Heat and Power Systems. Energies. 2022; 15(1):141. https://doi.org/10.3390/en15010141
Chicago/Turabian StyleGuo, Junshan, Wei Zheng, Zhuang Cong, Panfeng Shang, Congyu Wang, and Jiwei Song. 2022. "Steam-Water Modelling and the Coal-Saving Scheduling Strategy of Combined Heat and Power Systems" Energies 15, no. 1: 141. https://doi.org/10.3390/en15010141
APA StyleGuo, J., Zheng, W., Cong, Z., Shang, P., Wang, C., & Song, J. (2022). Steam-Water Modelling and the Coal-Saving Scheduling Strategy of Combined Heat and Power Systems. Energies, 15(1), 141. https://doi.org/10.3390/en15010141
