An Environmental and Societal Analysis of the US Electrical Energy Industry Based on the Water–Energy Nexus
Abstract
1. Introduction
2. Materials and Methods
2.1. Data
2.1.1. Energy Consumption and Electricity Generation
2.1.2. Water Use
2.1.3. Air Pollutants
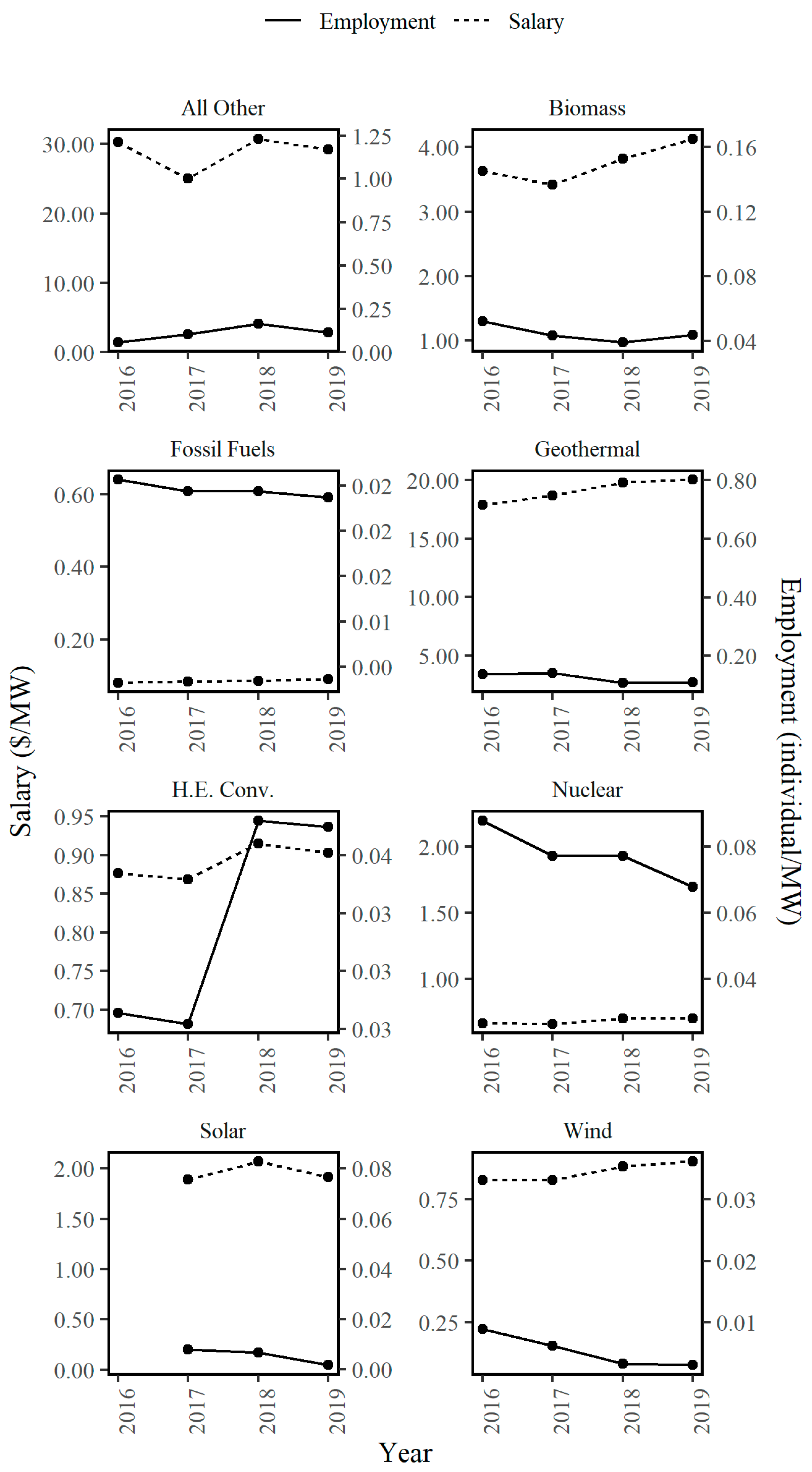
2.1.4. Worker Safety and Employee
2.2. Modeling Approach
2.3. Data Quality and Control
3. Results
3.1. Water Use Estimates
3.2. Energy-Water Network
3.3. Social Impact Assessment of Electricity Generation in the Energy-Water Nexus
4. Discussion
5. Conclusions
Supplementary Materials
Author Contributions
Funding
Institutional Review Board Statement
Informed Consent Statement
Data Availability Statement
Acknowledgments
Conflicts of Interest
References
- Wachs, L.; Singh, S. Projecting the Urban Energy Demand for Indiana, USA, in 2050 and 2080. Clim. Chang. 2020. [Google Scholar] [CrossRef]
- Kammen, D.; Kapadia, K. Putting Renewables to Work: How Many Jobs Can the Clean Energy Industry Generate. RAEL Rep. Univ. 2004, 24. [Google Scholar] [CrossRef]
- IRENA. Global Renewables Outlook: Energy Transformation 2050, 2020th ed.; International Renewable Energy Agency: Abu Dhabi, United Arab Emirates, 2020. [Google Scholar]
- Gopal, C.; Mohanraj, M.; Chandramohan, P.; Chandrasekar, P. Renewable Energy Source Water Pumping Systems—A Literature Review. Renew. Sustain. Energy Rev. 2013, 25, 351–370. [Google Scholar] [CrossRef]
- Atilgan, B.; Azapagic, A. An Integrated Life Cycle Sustainability Assessment of Electricity Generation in Turkey. Energy Policy 2016, 93, 168–186. [Google Scholar] [CrossRef]
- Klein, S.J.W.; Whalley, S. Comparing the Sustainability of U.S. Electricity Options through Multi-Criteria Decision Analysis. Energy Policy 2015, 79, 127–149. [Google Scholar] [CrossRef]
- Gielen, D.; Boshell, F.; Saygin, D.; Bazilian, M.D.; Wagner, N.; Gorini, R. The Role of Renewable Energy in the Global Energy Transformation. Energy Strateg. Rev. 2019, 24, 38–50. [Google Scholar] [CrossRef]
- Scott, C.A.; Pierce, S.A.; Pasqualetti, M.J.; Jones, A.L.; Montz, B.E.; Hoover, J.H. Policy and Institutional Dimensions of the Water-Energy Nexus. Energy Policy 2011, 39, 6622–6630. [Google Scholar] [CrossRef]
- Jin, Y.; Behrens, P.; Tukker, A.; Scherer, L. Water Use of Electricity Technologies: A Global Meta-Analysis. Renew. Sustain. Energy Rev. 2019, 115, 109391. [Google Scholar] [CrossRef]
- Sanderson, M.R.; Bergtold, J.S.; Heier Stamm, J.L.; Caldas, M.M.; Ramsey, S.M. Bringing the “Social” into Sociohydrology: Conservation Policy Support in the Central Great Plains of Kansas, USA. Water Resour. Res. 2017, 53, 6725–6743. [Google Scholar] [CrossRef]
- Vakilifard, N.; Anda, M.; Bahri, P.A.; Ho, G. The Role of Water-Energy Nexus in Optimising Water Supply Systems—Review of Techniques and Approaches. Renew. Sustain. Energy Rev. 2018, 82, 1424–1432. [Google Scholar] [CrossRef]
- USAID. Watergy: Taking Advantage of Untapped Energy and Water Efficiency Opportunities in Municipal Water Systems. Alliance Save Energy 2002, 11, 140. [Google Scholar]
- Griffiths-Sattenspiel, B.; Wilson, W. The Carbon Footprint of Water; River Network: Portland, OR, USA, 2009. [Google Scholar]
- Averyt, K.; Macknick, J.; Rogers, J.; Madden, N.; Fisher, J.; Meldrum, J.; Newmark, R. Water Use for Electricity in the United States: An Analysis of Reported and Calculated Water Use Information for 2008. Environ. Res. Lett. 2013, 8, 15001. [Google Scholar] [CrossRef]
- Dieter, C.A.; Maupin, M.A.; Caldwell, R.R.; Harris, M.A.; Ivahnenko, T.I.; Lovelace, J.K.; Barber, N.L.; Linsey, K.S. Estimated Use of Water in the United States in 2015 (No. 1441); U.S. Geological Survey: Reston, VA, USA, 2018. [Google Scholar]
- Davies, E.G.R.; Kyle, P.; Edmonds, J.A. An Integrated Assessment of Global and Regional Water Demands for Electricity Generation to 2095. Adv. Water Resour. 2013, 52, 296–313. [Google Scholar] [CrossRef]
- Peer, R.A.M.; Kelly, T.S. Characterizing Cooling Water Source and Usage Patterns across US Thermoelectric Power Plants: A Comprehensive Assessment of Self-Reported Cooling Water Data. Environ. Res. Lett. 2016, 11, 124030. [Google Scholar] [CrossRef]
- Diehl, T.H.; Harris, M.A.; Murphy, J.C.; Hutson, S.S.; Ladd, D.E. Methods for Estimating Water Consumption for Thermoelectric Power Plants in the United States; U.S. Geological Survey: Reston, VA, USA, 2013. [Google Scholar]
- Macknick, J.; Newmark, R.; Heath, G.; Hallett, K.C. Operational Water Consumption and Withdrawal Factors for Electricity Generating Technologies: A Review of Existing Literature. Environ. Res. Lett. 2012, 7, 45802. [Google Scholar] [CrossRef]
- Harris, M.A.; Diehl, T.H. A Comparison of Three Federal Datasets for Thermoelectric Water Withdrawals in the United States for 2010. J. Am. Water Resour. Assoc. 2017, 53, 1062–1080. [Google Scholar] [CrossRef]
- U.S. Energy Information Administration. Monthly Energy Review. 2020. Available online: https://www.eia.gov/totalenergy/data/monthly/ (accessed on 11 November 2020).
- U.S. Energy Information Administration. Form EIA-923 Detailed Data with Previous Form Data (EIA 906/920). Available online: https://www.eia.gov/electricity/data/eia923/ (accessed on 11 November 2020).
- Wu, S.R.; Celik, I.; Apul, D.; Chen, J. A Social Impact Quantification Framework for the Resource Extraction Industry. Int. J. Life Cycle Assess. 2019, 24, 1898–1910. [Google Scholar] [CrossRef]
- Vaseghi, G.; Celik, I.; Burian, S.J.; Apul, D. Economic, Environmental, And Social Criteria Evaluation of Rainwater Harvesting System Options for An Office and Lab Building on the University of Utah Campus. Front. Civ. Eng. 2017, 2, 115–147. [Google Scholar]
- Sheikh, N.J.; Kocaoglu, D.F.; Lutzenhiser, L. Social and Political Impacts of Renewable Energy: Literature Review. Technol. Forecast. Soc. Change 2016, 108, 102–110. [Google Scholar] [CrossRef]
- Kumar, M.D. Impact of Electricity Prices and Volumetric Water Allocation on Energy and Groundwater Demand Management: Analysis from Western India. Energy Policy 2005, 33, 39–51. [Google Scholar] [CrossRef]
- Kis, Z.; Pandya, N.; Koppelaar, R.H. Electricity Generation Technologies: Comparison of Materials Use, Energy Return on Investment, Jobs Creation and CO2 Emissions Reduction. Energy Policy 2018, 120, 144–157. [Google Scholar]
- Sumner, S.A.; Layde, P.M. Expansion of Renewable Energy Industries and Implications for Occupational Health. JAMA J. Am. Med. Assoc. 2009, 302, 787–789. [Google Scholar]
- Pollack, E. Counting Up to Green: Assessing the Green Economy and Its Implications for Growth and Equity; Economic Policy Institute: Washington, DC, USA, 2012; pp. 1–18. [Google Scholar]
- Mulloy, K.B.; Sumner, S.A.; Rose, C.; Conway, G.A.; Reynolds, S.J.; Davidson, M.E.; Heidel, D.S.; Layde, P.M. Renewable Energy and Occupational Health and Safety Research Directions: A White Paper from the Energy Summit, Denver Colorado, 11–13 April 2011. Am. J. Ind. Med. 2013, 56, 1359–1370. [Google Scholar] [CrossRef] [PubMed]
- EIA. Form EIA-860 Detailed Data with Previous Form Data (EIA-860A/860B). Available online: https://www.eia.gov/electricity/data/eia860/ (accessed on 12 December 2020).
- EIA. Electric Power Annual 2019. Available online: https://www.eia.gov/electricity/annual/ (accessed on 12 December 2020).
- EIA. State Electricity Profiles. Available online: https://www.eia.gov/electricity/state/ (accessed on 12 December 2020).
- EIA. Emissions by Plant and by Region. Available online: https://www.eia.gov/electricity/data/emissions/ (accessed on 12 December 2020).
- U.S. Bureau of Labor Statistics. Census of Fatal Occupational Injuries. Available online: https://www.bls.gov/iif/oshcfoi1.htm (accessed on 11 November 2020).
- U.S. Bureau of Labor Statistics. Industry Injury and Illness Data. Available online: https://www.bls.gov/iif/ (accessed on 11 November 2020).
- U.S. Bureau of Labor Statistics. Occupational Employment Statistics. Available online: https://www.bls.gov/oes/home.htm (accessed on 11 November 2020).
- Harris, M.A.; Diehl, T.H. Withdrawal and Consumption of Water by Thermoelectric Power Plants in the United States, 2015; No. 2019-5103; U.S. Geological Survey: Reston, VA, USA, 2019. [Google Scholar]
- Canty, A.; Ripley, B. Boot: Bootstrap R (S-Plus) Functions; R Package Version 1.3-25; 2020. [Google Scholar]
- Davison, A.C.; Hinkley, D.V. Bootstrap Methods and Their Applications (No. 1); Cambridge University Press: Cambridge, UK, 2013. [Google Scholar]
- RStudio Team. RStudio: Integrated Development for R. RStudio; PBC: Boston, MA, USA, 2020. [Google Scholar]
- Swinscow, T.D.V.; Campbell, M.J. XVIII: Correlation. In Statistics at Square One; BMJ Publishing Group: London, UK, 2002; pp. 111–125. [Google Scholar]
- U.S. Bureau of Labor Statistics. North American Industry Classification System (NAICS). Available online: https://www.bls.gov/bls/naics.htm (accessed on 11 November 2020).
- Allan, G.J.; Ross, A.G. The Characteristics of Energy Employment in a System-Wide Context. Energy Econ. 2019, 81, 238–258. [Google Scholar] [CrossRef]
- Cartelle Barros, J.J.; Lara Coira, M.; de la Cruz López, M.P.; del Caño Gochi, A. Comparative Analysis of Direct Employment Generated by Renewable and Non-Renewable Power Plants. Energy 2017, 139, 542–554. [Google Scholar] [CrossRef]
- Miller, G. Hidden Tragedy: Underreporting of Workplace Injuries and Illnesses; U.S. House of Representatives Committee on Education and Labor: Washington, DC, USA, 2008. [Google Scholar]
- International Energy Administration. Solar. Available online: https://www.iea.org/fuels-and-technologies/solar (accessed on 12 December 2020).
- EIA. U.S. Renewable Energy Consumption Surpasses Coal for the First Time in Over 130 Years. Available online: https://www.eia.gov/todayinenergy/detail.php?id=43895 (accessed on 12 December 2020).
- GALLUP. Energy. Available online: https://news.gallup.com/poll/2167/energy.aspx (accessed on 12 December 2020).
- Logan, L.H.; Stillwell, A.S. Water Temperature Duration Curves for Thermoelectric Power Plant Mixing Zone Analysis. J. Water Resour. Plan. Manag. 2018, 144, 4018058. [Google Scholar] [CrossRef]
- Van Vliet, M.T.H.; Wiberg, D.; Leduc, S.; Riahi, K. Power-Generation System Vulnerability and Adaptation to Changes in Climate and Water Resources. Nat. Clim. Chang. 2016, 6, 375–380. [Google Scholar] [CrossRef]
- U.S. Department of Energy. Environment Baseline: Energy-Water Nexus; U.S. Department of Energy: Washington, DC, USA, 2017; Volume 4, p. 93.
- EPA. Steam Electric Power Generating Effluent Guidelines—2015 Final Rule. Available online: https://www.epa.gov/eg/steam-electric-power-generating-effluent-guidelines-2015-final-rule (accessed on 12 December 2020).
- Haerer, D.; Pratson, L. Employment Trends in the U.S. Electricity Sector, 2008–2012. Energy Policy 2015, 82, 85–98. [Google Scholar] [CrossRef]
- Kelsh, M.A.; Lu, E.T.; Ramachandran, K.; Jesser, C.; Fordyce, T.; Yager, J.W. Occupational Injury Surveillance among Electric Utility Employees. J. Occup. Environ. Med. 2004, 46, 974–984. [Google Scholar] [CrossRef]
- Hirschberg, S.; Burgherr, P.; Spiekerman, G.; Dones, R. Severe Accidents in the Energy Sector: Comparative Perspective. J. Hazard. Mater. 2004, 111, 57–65. [Google Scholar] [CrossRef]
- IPCC. Summary for Policy Makers. In Renewable Energy Sources and Climate Change Mitigation: Special Report of the Intergovernmental Panel on Climate Change; Edenhofer, O., Pichs-Madruga, R., Sokona, Y., Seyboth, K., Matschoss, P., Kadner, S., Zwickel, T., Eickemeier, P., Hansen, G., Schloemer, S., et al., Eds.; Cambridge University Press: Cambridge, UK; New York, NY, USA, 2011; pp. 3–27. [Google Scholar]
- Alanne, K.; Saari, A. Distributed Energy Generation and Sustainable Development. Renew. Sustain. Energy Rev. 2006, 10, 539–558. [Google Scholar] [CrossRef]
- Wolsink, M. Distributed Energy Systems as Common Goods: Socio-Political Acceptance of Renewables in Intelligent Microgrids. Renew. Sustain. Energy Rev. 2020, 127, 109841. [Google Scholar] [CrossRef]
- Boden, L.I.; Ozonoff, A. Capture-Recapture Estimates of Nonfatal Workplace Injuries and Illnesses. Ann. Epidemiol. 2008, 18, 500–506. [Google Scholar] [CrossRef]
- Mendeloff, J.; Burns, R. States with Low Non-Fatal Injury Rates Have High Fatality Rates and Vice-Versa. Am. J. Ind. Med. 2013, 56, 509–519. [Google Scholar] [CrossRef] [PubMed]
- Spieler, E.A.; Wagner, G.R. Counting Matters: Implications of Undercounting in the BLS Survey of Occupational Injuries and Illnesses. Am. J. Ind. Med. 2014, 57, 1077–1084. [Google Scholar] [CrossRef] [PubMed]
- Boden, L.I. Capture-Recapture Estimates of the Undercount of Workplace Injuries and Illnesses: Sensitivity Analysis. Am. J. Ind. Med. 2014, 57, 1090–1099. [Google Scholar]
- Rosenman, K.D.; Kalush, A.; Reilly, M.J.; Gardiner, J.C.; Reeves, M.; Luo, Z. How Much Work-Related Injury and Illness Is Missed by the Current National Surveillance System? J. Occup. Environ. Med. 2006, 48, 357–365. [Google Scholar] [CrossRef]






| Energy Source | WF | SE | Bias | n | CI 95% | |
|---|---|---|---|---|---|---|
| Lower | Upper | |||||
| Natural gas | 62.43 | 4.62 | −0.09 | 1576 | 53.46 | 71.57 |
| Nuclear | 28.69 | 3.71 | −0.16 | 99 | 21.57 | 36.12 |
| Petroleum | 98.12 | 44.51 | −1.99 | 38 | 12.86 | 187.35 |
| Coal | 40.35 | 1.93 | 0.06 | 972 | 36.52 | 44.07 |
| Biomass | 18.48 | 6.43 | 0.01 | 93 | 5.87 | 31.06 |
| Solar | 3.74 | 0.16 | −0.01 | 14 | 3.43 | 4.07 |
| Other | 268.88 | 50.32 | 1.53 | 13 | 168.73 | 365.97 |
| Energy source | CF | SE | Bias | n | CI 95% | |
|---|---|---|---|---|---|---|
| Lower | Upper | |||||
| Natural gas | 2.21 | 0.02 | * | 1610 | 2.17 | 2.25 |
| Nuclear | 1.86 | 0.09 | * | 96 | 1.68 | 2.04 |
| Petroleum | 1.79 | 0.48 | * | 40 | 0.84 | 2.74 |
| Coal | 1.58 | 0.01 | * | 1004 | 1.55 | 1.61 |
| Biomass | 3.31 | 0.64 | * | 96 | 2.06 | 4.58 |
| Solar | 2.59 | 0.41 | −0.01 | 14 | 1.80 | 3.39 |
| Other | 35.39 | 11.33 | 0.54 | 12 | 12.65 | 57.05 |
| Year | Net Electricity Generated | Energy CF | Water CF | Water WF | CO2 | SO2 | NOx |
|---|---|---|---|---|---|---|---|
| MWh | MMBTu/MWh | m3/MWh | m3/MWh | MT/MWh | MT/MWh | MT/MWh | |
| 2014 | 4,093,606,011 | 10.28 | 2.15 | 65.50 | 0.53 | 0.0008 | 0.0004 |
| 2015 | 4,077,600,941 | 10.12 | 2.16 | 65.30 | 0.49 | 0.0006 | 0.0004 |
| 2016 | 4,076,674,984 | 10.07 | 2.17 | 65.40 | 0.47 | 0.0004 | 0.0003 |
| 2017 | 4,034,270,561 | 10.06 | 2.17 | 65.50 | 0.46 | 0.0003 | 0.0003 |
| 2018 | 4,178,277,346 | 9.96 | 2.17 | 65.90 | 0.44 | 0.0003 | 0.0003 |
| 2019 | 4,126,882,155 | 9.78 | 2.17 | 65.70 | 0.41 | 0.0002 | 0.0003 |
| Avg | 4,097,885,333 | 10.05 | 2.16 | 65.54 | 0.47 | 0.0004 | 0.0003 |
| Year | NAICS 221 | NAICS 2211 | NAICS 22113 | |||
|---|---|---|---|---|---|---|
| Emp. | Salary | Emp. | Salary | Emp. | Salary | |
| 2014 | 88,360 | USD 68,820 | 59,020 | USD 74,080 | 16,650 | USD 48,190 |
| 2015 | 85,240 | USD 70,900 | 55,240 | USD 76,950 | 16,770 | USD 48,640 |
| 2016 | 81,850 | USD 72,760 | 52,380 | USD 79,240 | 16,920 | USD 49,580 |
| 2017 | 78,500 | USD 74,370 | 49,920 | USD 81,430 | 16,820 | USD 49,570 |
| 2018 | 79,190 | USD 75,800 | 50,300 | USD 83,710 | 17,580 | USD 49,400 |
| 2019 | 77,180 | USD 77,270 | 77,180 | USD 77,270 | 18,770 | USD 51,870 |
| Avg | 81,720 | USD 73,320 | 57,340 | USD 78,780 | 17,252 | USD 49,542 |
| Emp./MW | USD/MW | Emp./MW | USD/MW | Emp./MW | USD/MW | |
| 2014 | 0.075 | USD 0.06 | 0.050 | USD 0.06 | 0.014 | USD 0.04 |
| 2015 | 0.073 | USD 0.06 | 0.047 | USD 0.07 | 0.014 | USD 0.04 |
| 2016 | 0.070 | USD 0.06 | 0.044 | USD 0.07 | 0.014 | USD 0.04 |
| 2017 | 0.066 | USD 0.06 | 0.042 | USD 0.07 | 0.014 | USD 0.04 |
| 2018 | 0.066 | USD 0.06 | 0.042 | USD 0.07 | 0.015 | USD 0.04 |
| 2019 | 0.064 | USD 0.06 | 0.064 | USD 0.06 | 0.016 | USD 0.04 |
| Avg | 0.069 | USD 0.06 | 0.048 | USD 0.07 | 0.015 | USD 0.04 |
Publisher’s Note: MDPI stays neutral with regard to jurisdictional claims in published maps and institutional affiliations. |
© 2021 by the authors. Licensee MDPI, Basel, Switzerland. This article is an open access article distributed under the terms and conditions of the Creative Commons Attribution (CC BY) license (https://creativecommons.org/licenses/by/4.0/).
Share and Cite
Shirkey, G.; Belongeay, M.; Wu, S.; Ma, X.; Tavakol, H.; Anctil, A.; Marquette-Pyatt, S.; Stewart, R.A.; Sinha, P.; Corkish, R.; et al. An Environmental and Societal Analysis of the US Electrical Energy Industry Based on the Water–Energy Nexus. Energies 2021, 14, 2633. https://doi.org/10.3390/en14092633
Shirkey G, Belongeay M, Wu S, Ma X, Tavakol H, Anctil A, Marquette-Pyatt S, Stewart RA, Sinha P, Corkish R, et al. An Environmental and Societal Analysis of the US Electrical Energy Industry Based on the Water–Energy Nexus. Energies. 2021; 14(9):2633. https://doi.org/10.3390/en14092633
Chicago/Turabian StyleShirkey, Gabriela, Megan Belongeay, Susie Wu, Xiaoguang Ma, Hassan Tavakol, Annick Anctil, Sandra Marquette-Pyatt, Rodney A. Stewart, Parikith Sinha, Richard Corkish, and et al. 2021. "An Environmental and Societal Analysis of the US Electrical Energy Industry Based on the Water–Energy Nexus" Energies 14, no. 9: 2633. https://doi.org/10.3390/en14092633
APA StyleShirkey, G., Belongeay, M., Wu, S., Ma, X., Tavakol, H., Anctil, A., Marquette-Pyatt, S., Stewart, R. A., Sinha, P., Corkish, R., Chen, J., & Celik, I. (2021). An Environmental and Societal Analysis of the US Electrical Energy Industry Based on the Water–Energy Nexus. Energies, 14(9), 2633. https://doi.org/10.3390/en14092633

