Numerical Study on the Effect of the Pipe Groove Height and Pitch on the Flow Characteristics of Corrugated Pipe
Abstract
:1. Introduction
2. Numerical Study
2.1. The Govering Equations
- Mass conservation equation
- Momentum equation
- Turbulence energy equation
- Turbulence dissipation equation
- Turbulence viscositywhere ρ is the fluid density, μ is the dynamic viscosity, ui is components of the velocity vector, k is turbulence kinetic energy, ε is turbulence dissipation rate, and σij is the Reynolds stress tensor.
2.2. Computaional Domain and Boundary Conditions
2.3. Grid Independent Test
2.4. Numercial Analysis Validaiotn
3. Results and Discussion
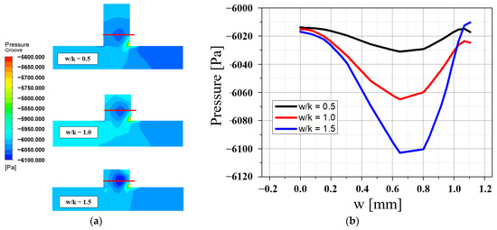
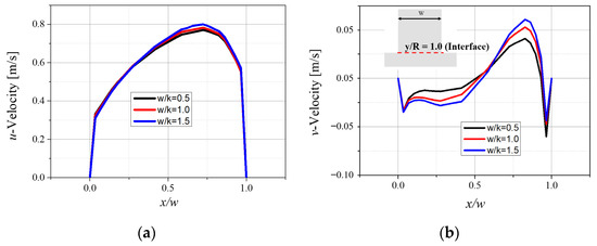
3.1. The Effect of the Groove Height
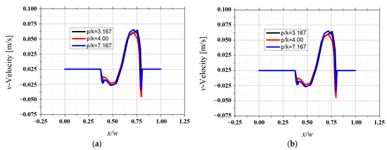
3.2. The Effect of the Groove Pitch
4. Conclusions
Author Contributions
Funding
Institutional Review Board Statement
Informed Consent Statement
Data Availability Statement
Conflicts of Interest
References
- García, A.; Solano, J.P.; Vicente, P.G.; Viedma, A. The influence of artificial roughness shape on heat transfer enhance-ment: Corrugated tubes, dimpled tubes and wire coils. Appl. Therm. Eng. 2012, 35, 196–201. [Google Scholar] [CrossRef]
- Ünal, E.; Ahn, H.; Sorgüven, E. Experimental Investigation on Flows in a Corrugated Channel. J. Fluids Eng. 2016, 138, 070908. [Google Scholar] [CrossRef]
- Popiel, C.O.; Kozak, M.; Małecka, J.; Michalak, A. Friction Factor for Transient Flow in Transverse Corrugated Pipes. J. Fluids Eng. 2013, 135, 074501. [Google Scholar] [CrossRef]
- Bernhard, D.M.; Hsieh, C.K. Pressure Drop in Corrugated Pipes. J. Fluids Eng. 1996, 118, 409–410. [Google Scholar] [CrossRef]
- Eiamsa-Ard, S.; Promvonge, P. Numerical study on heat transfer of turbulent channel flow over periodic grooves. Int. Commun. Heat Mass Transf. 2008, 35, 844–852. [Google Scholar] [CrossRef]
- Perry, A.E.; Schofield, W.H.; Joubert, P.N. Rough wall turbulent boundary layers. J. Fluid Mech. 1969, 37, 383–413. [Google Scholar] [CrossRef]
- Tani, I. Turbulent Boundary Layer Development over Rough Surfaces. In Perspectives in Turbulence Studies; Meier, H.U., Bradshaw, P., Eds.; Springer: Berlin, Germany, 1987; pp. 223–249. [Google Scholar]
- Vijiapurapu, S.; Cui, J. Simulation of Turbulent Flow in a Ribbed Pipe Using Large Eddy Simulation. Numer. Heat Transfer Part A Appl. 2007, 51, 1137–1165. [Google Scholar] [CrossRef]
- Djenidi, L.; Antonia, R.A.; Anselmet, F. LDA measurements in a turbulent boundary layer over a d-type rough wall. Exp. Fluids 1994, 16, 323–329. [Google Scholar] [CrossRef]
- Stel, H.; Morales, R.E.M.; Franco, A.T.; Junqueira, S.L.M.; Erthal, R.H.; Gonçalves, M.A.L. Numerical and Experimental Analysis of Turbulent Flow in Corrugated Pipes. J. Fluids Eng. 2010, 132, 071203. [Google Scholar] [CrossRef]
- Stel, H.; Franco, A.T.; Junqueira, S.L.M.; Erthal, R.H.; Mendes, R.; Gonçalves, M.A.L.; Morales, R.E.M. Turbulent Flow in D-Type Corrugated Pipes: Flow Pattern and Friction Factor. J. Fluids Eng. 2012, 134, 121202. [Google Scholar] [CrossRef]
- Vijiapurapu, S.; Cui, J. Performance of turbulence models for flows through rough pipes. Appl. Math. Model. 2010, 34, 1458–1466. [Google Scholar] [CrossRef]
- Launder, B.E.; Spalding, D.B. Lectures in Mathematical Models of Turbulence; Academic Press: London, UK, 1972; p. 741. [Google Scholar]


















| Case | D (mm) | s (mm) | P (mm) | w (mm) | K (mm) | w/K | P/K |
|---|---|---|---|---|---|---|---|
| Case 1 | 25.9 | 4.403 | 5.5685 | 1.1655 | 2.331 | 0.5 | 2.389 |
| Case 2 | 25.9 | 4.403 | 5.5685 | 1.1655 | 1.1655 | 1.0 | 4.78 |
| Case 3 | 25.9 | 4.403 | 5.5685 | 1.1655 | 0.777 | 1.5 | 7.167 |
| Case 4 | 25.9 | 2.331 | 3.4965 | 1.1655 | 0.777 | 1.5 | 4.00 |
| Case 5 | 25.9 | 1.295 | 2.4605 | 1.1655 | 0.777 | 1.5 | 3.167 |
| Number | w/k | Number of Mesh (Δy) | Friction Factor | Comparison |
|---|---|---|---|---|
| 1 | 1.5 | 1,939,427 (0.20 mm) | 0.053426 | f1/f2 = 1.26% |
| 2 | 1.5 | 1,754,918 (0.24 mm) | 0.052761 | f2/f3 = 3.48% |
| 3 | 1.5 | 1,637,979 (0.28 mm) | 0.050987 | - |
| Re | fexp | fnum | fexp/fnum (Error Rate [%]) |
|---|---|---|---|
| 43,000 | 0.0215 | 0.0224 | 0.960 (4.02) |
| 58,000 | 0.0201 | 0.0204 | 0.989 (1.47) |
| 70,000 | 0.0187 | 0.0196 | 0.955 (4.59) |
| Case | w/k | Friction Factor | Pressure Difference [Pa] | f/fsmooth |
|---|---|---|---|---|
| Case 1 | 0.5 | 0.0553 | 2397.223 | 2.916 |
| Case 2 | 1.0 | 0.0519 | 2249.835 | 2.736 |
| Case 3 | 1.5 | 0.0528 | 2288.849 | 2.781 |
| Smooth | - | 0.0196 | 849.649 | 1.000 |
| p/k | Friction Factor | Pressure Difference [Pa] | f/fp/k=7.167 |
|---|---|---|---|
| 7.167 | 0.0528 | 2288.849 | 1.000 |
| 4.00 | 0.0569 | 2466.582 | 1.078 |
| 3.167 | 0.0615 | 2665.989 | 1.165 |
Publisher’s Note: MDPI stays neutral with regard to jurisdictional claims in published maps and institutional affiliations. |
© 2021 by the authors. Licensee MDPI, Basel, Switzerland. This article is an open access article distributed under the terms and conditions of the Creative Commons Attribution (CC BY) license (https://creativecommons.org/licenses/by/4.0/).
Share and Cite
Hong, K.-B.; Kim, D.-W.; Kwark, J.; Nam, J.-S.; Ryou, H.-S. Numerical Study on the Effect of the Pipe Groove Height and Pitch on the Flow Characteristics of Corrugated Pipe. Energies 2021, 14, 2614. https://doi.org/10.3390/en14092614
Hong K-B, Kim D-W, Kwark J, Nam J-S, Ryou H-S. Numerical Study on the Effect of the Pipe Groove Height and Pitch on the Flow Characteristics of Corrugated Pipe. Energies. 2021; 14(9):2614. https://doi.org/10.3390/en14092614
Chicago/Turabian StyleHong, Ki-Bea, Dong-Woo Kim, Jihyun Kwark, Jun-Seok Nam, and Hong-Sun Ryou. 2021. "Numerical Study on the Effect of the Pipe Groove Height and Pitch on the Flow Characteristics of Corrugated Pipe" Energies 14, no. 9: 2614. https://doi.org/10.3390/en14092614
APA StyleHong, K.-B., Kim, D.-W., Kwark, J., Nam, J.-S., & Ryou, H.-S. (2021). Numerical Study on the Effect of the Pipe Groove Height and Pitch on the Flow Characteristics of Corrugated Pipe. Energies, 14(9), 2614. https://doi.org/10.3390/en14092614

