An Experimental-Numerical Investigation of the Wake Structure of a Hovering Rotor by PIV Combined with a Γ2 Vortex Detection Criterion
Abstract
1. Introduction
2. Experimental Setup and Test Conditions
2.1. PIV System and Evaluation
2.2. Vortex-Identification Criterion
3. Numerical Methodology
3.1. Governing Equation
3.2. Boundary Conditions
3.3. Novel Boundary Integral Formulation
3.4. Numerical Solution
3.5. Vortex Core Model
4. Results
4.1. Numerical Test Set-Up and Computational Resources
4.2. Rotor Wake Ensemble-Averaged Flow Field
- in the experimental PIV the origin of the shear layer is identified at about x/R = 0.96 and slightly above z/R = 0 because of the deflection produced by the blade elasticity. Instead, the numerical results show the origin of the shear layer exactly at x/R = 1 and z/R = 0, and this is because the blade was modelled as a fully rigid body;
- the diffusion produced by the viscous effects causes a marked thickening of the experimental shear layer moving downstream from the rotor disk, while the dissipation produces a reduction of the velocity magnitude which is already visible at around z/R = −0.7. These effects are less visible in the numerical results, despite diffusion and dissipation models were applied in the simulations.
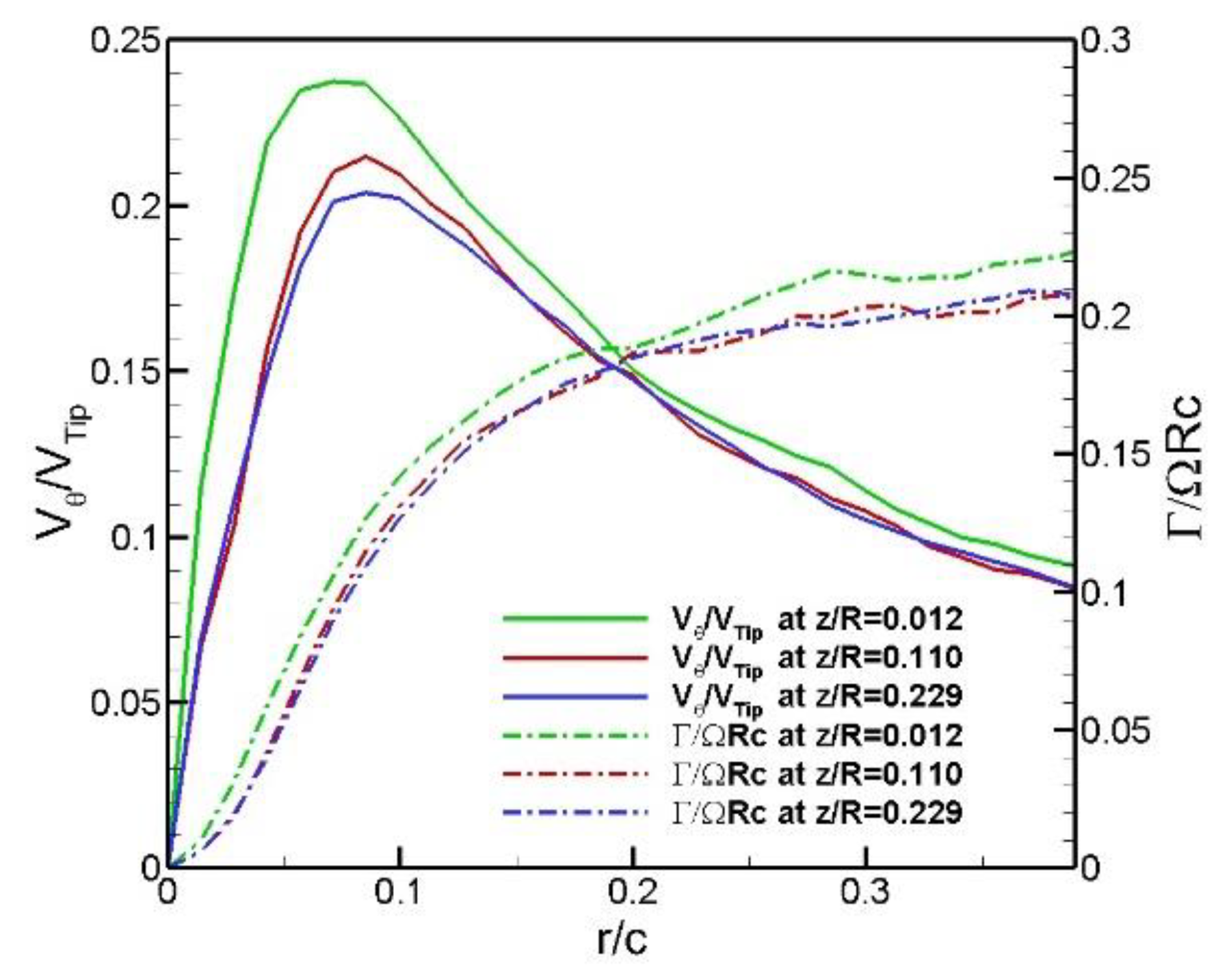
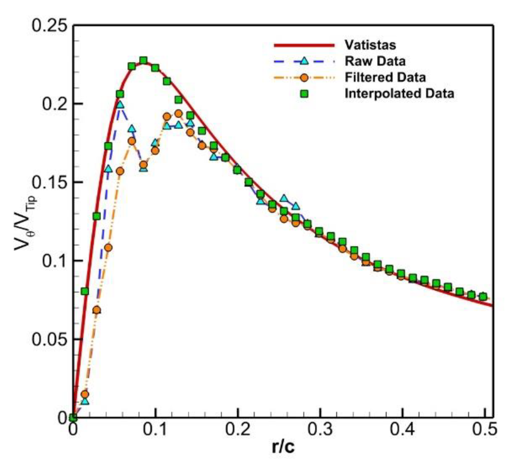
4.3. Blade Tip Vortices
5. Conclusions
Author Contributions
Funding
Institutional Review Board Statement
Informed Consent Statement
Conflicts of Interest
Abbreviations
| AR | blade aspect ratio |
| c | blade chord [m] |
| CT | thrust coefficient = T/(ρπR2Ω2R2) |
| D | Γ2 domain radius |
| Ktip | reduced frequency |
| Mtip | tip Mach number |
| Nb | number of blades |
| r | local blade radius [m] |
| rc | vortex core radius [m] |
| R | rotor radius [m] |
| Retip | tip Reynolds number |
| t | time [s] |
| T | rotor thrust [N] |
| |U| | modulus of the induced velocity [m/s] |
| v | induced velocity [m/s] |
| VB | local tangential velocity = Ω r [m/s] |
| Vtip | velocity at blade tip [m/s] |
| Vθ | swirl velocity [m/s] |
| w | axial induced velocity component [m/s] |
| x | spanwise distance [m] |
| z | axial distance from the rotor disk [m] |
| Γ, Γv | tip vortex circulation [m2/s] |
| Γ2 | vortex detection scalar value |
| Γ0 | tip vortex circulation at t = 0 [m2/s] |
| Γ2 | vortex detection scalar value, [-] |
| δ | eddy viscosity [m2/s] |
| θ0 | blade collective pitch [deg] |
| ν | kinematic viscosity [m2/s] |
| ρ | air density [kg/m3] |
| σ | rotor solidity |
| φ | velocity potential [m2/s] |
| Ψ | rotor azimuth angle |
| ω | out-of-plane vorticity [1/s] |
| Ω | rotor speed [rad/s] |
| BEM | Boundary Element Method |
| CIRA | Centro Italiano Ricerche Aerospaziali |
| PIV | Particle Image Velocimetry |
| TE | Trailing-Edge |
| RMS | Root Mean Square |
| W | Wake |
References
- Martin, P.B.; Pugliese, G.J.; Leishman, J.G.; Anderson, S.L. Stereo PIV measurement in the wake of a hovering rotor. In Proceedings of the 56th Annual Forum of the American Helicopter Society, Virginia Beach, VA, USA, 2–4 May 2000. [Google Scholar]
- Heineck, J.T.; Yamauchi, G.K.; Wadcock, A.J.; Lorenco, L.; Abrego, A. Application of three-component PIV to a hovering rotor wake. In Proceedings of the 56th Annual Forum of the American Helicopter Society, Virginia Beach, VA, USA, 2–4 May 2000. [Google Scholar]
- McAlister, K.W. Rotor Wake Development during the First Revolution. J. Am. Helicopter Soc. 2004, 49, 371–390. [Google Scholar] [CrossRef]
- Richard, H.; van der Wall, B.G. Detailed Investigation of Rotor Blade Tip Vortex in Hover Condition by 2C and 3C-PIV. In Proceedings of the 32nd European Rotorcraft Forum, Maastricht, The Netherlands, 12–14 September 2006. [Google Scholar]
- De Gregorio, F.; Pengel, K.; Kindler, K. A comprehensive PIV Measurement Campaign on a Fully Equipped Helicopter Model. Exp. Fluids 2011, 53, 37–49. [Google Scholar] [CrossRef]
- Raffel, M.; Bauknecht, A.; Ramasamy, M.; Yamauchi, G.K.; Heineck, J.T.; Jenkins, L.N. Contributions of Particle Image Velocimetry to Helicopter Aerodynamics. AIAA J. 2017, 55, 2859–2874. [Google Scholar] [CrossRef] [PubMed]
- Leishman, J.G. Principles of Helicopter Aerodynamics, 2nd ed.; Cambridge University Press: New York, NY, USA, 2006; pp. 771–814. [Google Scholar]
- Johnson, W. Rotorcraft Aeromechanics, 1st ed.; Cambridge University Press: New York, NY, USA, 2013; pp. 359–365. [Google Scholar]
- Antoniadis, A.F.; Drikakis, D.; Zhong, B.; Barakos, G.; Steijl, R.; Biava, M.; Vigevano, L.; Brocklehurst, A.; Boelens, O.; Dietz, M.; et al. Assessment of CFD Methods Against Experimental Flow Measurements for Helicopter Flows. Aerosp. Sci. Technol. 2012, 19, 86–100. [Google Scholar] [CrossRef]
- Duraisamy, K.; Ramasamy, M.; Baeder, J.D.; Leishman, J.G. High-Resolution Computational and Experimental Study of Rotary-Wing Tip Vortex Formation. AIAA J. 2007, 45, 2593–2602. [Google Scholar] [CrossRef]
- Caradonna, F. Performance Measurement and Wake Characteristics of a model rotor in axial flight. JAHS 1999, 44, 101–108. [Google Scholar] [CrossRef]
- Brown, R.; Line, A. Efficient high-resolution wake modeling using the vorticity transport equation. AIAA J. 2005, 43, 1434–1443. [Google Scholar] [CrossRef]
- Mohd, N.N.A.R.; Barakos, G.N. Computational Aerodynamics of Hovering Helicopter Rotors. J. Mek. 2018, 34, 16–46. [Google Scholar]
- Lee, T.E.; Leishman, J.G.; Ramasamy, M. Fluid Dynamics of Interacting Blade Tip Vortices with a Ground Plane. J. Am. Helicopter Soc. 2010, 55, 22005. [Google Scholar] [CrossRef]
- Visingardi, A.; De Gregorio, F.; Schwarz, T.; Schmid, M.; Bakker, R.; Voutsinas, S.; Gallas, Q.; Boisard, R.; Gibertini, G.; Zagaglia, D.; et al. Forces on obstacles in rotor wake—A GARTEUR Action Group. In Proceedings of the 43rd European Rotorcraft Forum, Milan, Italy, 12–15 September 2017. [Google Scholar]
- De Gregorio, F.; Visingardi, A.; Nargi, R.E. Investigation of a helicopter model rotor wake interacting with a cylindrical sling load. In Proceedings of the 44th European Rotorcraft Forum, Delft, The Netherlands, 18–21 September 2018. [Google Scholar]
- Dallmann, U. Topological Structures of Three-Dimensional Flow Separation. In Proceedings of the AIAA 16th Fluid and Plasma Dynamics Conference, Danvers, MA, USA, 12–14 July 1983. [Google Scholar]
- Vollmers, H.; Kreplin, H.-P.; Meier, H.U. Separation and vortical type flow around a prolate spheroid—Evaluation of relevant parameters. In Proceeding of the AGARD Symposium on Aerodynamics of Vortical Type Flows in Three Dimensions, AGARD CP-342, Rotterdam, The Netherlands, 25–28 April 1983; pp. 14.1–14.14. [Google Scholar]
- Chong, M.S. A general classification of three-dimensional flow fields. Phys. Fluids A Fluid Dyn. 1990, 2, 765–777. [Google Scholar] [CrossRef]
- Hunt, J.C.R.; Wray, A.A.; Moin, P. Eddies, Stream, and Convergence Zones in Turbulent Flows; Proceedings of the1988 summer program, Report CTR-S88; Center for Turbulence Research: Stanford, CA, USA, 1988; pp. 193–208. [Google Scholar]
- Jeong, J.; Hussain, F. On the identification of a vortex. J. Fluid Mech. 1995, 285, 69–94. [Google Scholar] [CrossRef]
- Graftieaux, L.; Michard, M.; Grosjean, N. Combining PIV, POD and vortex identification algorithms for the study of unsteady turbulent swirling flows. Meas. Sci. Technol. 2001, 12, 1422–1429. [Google Scholar] [CrossRef]
- Mulleners, K.; Raffel, M. The onset of dynamic stall revisited. Exp. Fluids 2011, 52, 779–793. [Google Scholar] [CrossRef]
- De Gregorio, F.; Visingardi, A.; Coletta, M.; Iuso, G. An assessment of vortex detection criteria for 2C-2D PIV Data. J. Phys. Conf. Ser. 2020, 1589, 012001. [Google Scholar] [CrossRef]
- Hart, D.P. Super-resolution PIV by recursive local-correlation. J. Vis. 2000, 3, 187–194. [Google Scholar] [CrossRef]
- Raffel, M.; Willert, C.E.; Wereley, S.T.; Kompenhans, J. Particle Image Velocimetry—A Practical Guide, 2nd ed.; Springer: Berlin/Heidelberg, Germany, 2007. [Google Scholar] [CrossRef]
- De Gregorio, F.; Visingardi, A. Vortex detection criteria assessment for PIV data in rotorcraft applications. Exp. Fluids 2020, 61, 179. [Google Scholar] [CrossRef]
- Westerweel, J.; Scarano, F. Universal outlier detection for PIV data. Exp. Fluids 2005, 39, 1096–1100. [Google Scholar] [CrossRef]
- Vatistas, G.H. New Model for Intense Self-Similar Vortices. J. Propuls. Power 1998, 14, 462–469. [Google Scholar] [CrossRef]
- Visingardi, A.; D’Alascio, A.; Pagano, A.; Renzoni, P. Validation of CIRA’s Rotorcraft Aerodynamic Modelling System with DNW Experimental Data. In Proceedings of the 22nd European Rotorcraft Forum, Brighton, UK, 16–19 September 1996. [Google Scholar]
- Morino, L. A General Theory of Unsteady Compressible Potential Aerodynamics. NASA CR-2464; National Aeronautics and Space Administration: Washington, DC, USA, 1974. [Google Scholar]
- Gennaretti, M.; Bernardini, G. A novel potential-flow boundary integral formulation for helicopter rotors in BVI conditions. In Proceedings of the 11th AIAA/CEAS Aeroacoustics Conference (26th AIAA Aeroacoustics Conference), Monterey, CA, USA, 23–25 May 2005. [Google Scholar]
- Scully, M.P. Computation of Helicopter Rotor Wake Geometry and Its Influence on Rotor Harmonic Airloads; MIT Aeroelastic and Structures Research Laboratory: Cambridge, MA, USA, 1975. [Google Scholar]
- Squire, H.B. The Growth of a Vortex in Turbulent Flow. Aeronaut. Q. 1965, 16, 302–306. [Google Scholar] [CrossRef]
- Bhagwat, M.J.; Leishman, J.G. Generalized Viscous Vortex Model for Application to Free-Vortex Wake and Aeroacoustic Calculations. In Proceedings of the 58th Annual Forum of the American Helicopter Society, Montreal, QC, Canada, 11–13 June 2002. [Google Scholar]
- Donaldson, C.; Bilanin, A.J. Vortex Wakes of Conventional Aircraft; AGARD: Neuilly sur Seine, France, May 1975. [Google Scholar]
- Ramasamy, M.; Leishman, J.G. The interdependence of straining and viscous diffusion effects on vorticity in rotor flow fields. In Proceedings of the 59th Annual Forum of the American Helicopter Society, Phoenix, AZ, USA, 6–8 May 2003. [Google Scholar]
- Ramasamy, M.; Leishman, J.G. Reynolds number based blade tip vortex model. In Proceedings of the 61st Annual Forum of the American Helicopter Society, Gravepine, TX, USA, 1–3 June 2005. [Google Scholar]


















| Fx (N) | Fy (N) | Fz (N) | Mx (Nm) | My (Nm) | Mz (Nm) | |
|---|---|---|---|---|---|---|
| Full scale | ±20 | ±20 | ±60 | ±1 | ±1 | ±1 |
| Accuracy (%FS) | 0.25 | 0.25 | 0.60 | 0.0125 | 0.0125 | 0.0125 |
| Ω/2π (Hz) | Vtip (m/s) | Mtip | Retip |
|---|---|---|---|
| 29 | 65.6 | 0.19 | 1.47*105 |
Publisher’s Note: MDPI stays neutral with regard to jurisdictional claims in published maps and institutional affiliations. |
© 2021 by the authors. Licensee MDPI, Basel, Switzerland. This article is an open access article distributed under the terms and conditions of the Creative Commons Attribution (CC BY) license (https://creativecommons.org/licenses/by/4.0/).
Share and Cite
De Gregorio, F.; Visingardi, A.; Iuso, G. An Experimental-Numerical Investigation of the Wake Structure of a Hovering Rotor by PIV Combined with a Γ2 Vortex Detection Criterion. Energies 2021, 14, 2613. https://doi.org/10.3390/en14092613
De Gregorio F, Visingardi A, Iuso G. An Experimental-Numerical Investigation of the Wake Structure of a Hovering Rotor by PIV Combined with a Γ2 Vortex Detection Criterion. Energies. 2021; 14(9):2613. https://doi.org/10.3390/en14092613
Chicago/Turabian StyleDe Gregorio, Fabrizio, Antonio Visingardi, and Gaetano Iuso. 2021. "An Experimental-Numerical Investigation of the Wake Structure of a Hovering Rotor by PIV Combined with a Γ2 Vortex Detection Criterion" Energies 14, no. 9: 2613. https://doi.org/10.3390/en14092613
APA StyleDe Gregorio, F., Visingardi, A., & Iuso, G. (2021). An Experimental-Numerical Investigation of the Wake Structure of a Hovering Rotor by PIV Combined with a Γ2 Vortex Detection Criterion. Energies, 14(9), 2613. https://doi.org/10.3390/en14092613

