Probabilistic Flood Assessment Methodology for Nuclear Power Plants Considering Extreme Rainfall
Abstract
1. Introduction
2. Study Area
3. Probabilistic Flood Assessment Method
3.1. Internal Flood Analysis of Nuclear Power Plants by External Flooding
- The entire power plant is classified into large flooded areas;
- The large flooded areas are subdivided into smaller flooded areas that require detailed analysis.
3.1.1. Large Flooded Area Selection
3.1.2. Small Flooded Area Selection
3.1.3. Determination of Analysis Target Facilities
3.1.4. Determination of Flood Source and Flood Flow Path
3.2. 2D Internal Flood Analysis Method
3.3. Probabilistic Flood Assessment
4. Internal Flood Hazard Assessment
4.1. Flow Path Determination
4.2. 2D Internal Flood Analysis
5. Probabilistic Flood Assessment Application
5.1. Estimation of Probabilistic Flood Hazard Curve for External Flooding
5.2. Fragility Assessment of the Major Facilities
5.3. Probabilistic Flood Assessment Combining Hazard and Fragility Curves
6. Conclusions
- (1)
- Through walkdowns, the path of the flood propagation to the MCC areas located 20 ft beneath the control buildings of NPPs 3 and 4 in an external flood event was identified. A threshold height of 0.25 m between flood areas C and D, where the MCC is located, has also been identified.
- (2)
- As a result of the 2D internal flood analysis, flooding into area C exceeded the threshold height of 0.25 m in area D, where the MCC was located. It was confirmed that the flood from area C propagated to area D, causing the MCC to flood. Based on the results of the 2D flood analysis according to the return period, a flood hazard curve was calculated based on the flood depth at the location 20 ft underground.
- (3)
- For probabilistic flood assessment, the fragility curve was estimated by applying the proper distribution type through AIC verification to the threshold height of 0.25 m located in the C and D areas. A probabilistic flood assessment was then conducted through statistical analysis by combining the developed flood hazard curve and fragility curve.
- (4)
- On the basis of the analyzed results, general flood assessment and probabilistic flood assessment were compared. The probability of MCC failure due to internal flooding caused by an external flooding event was analyzed as 72.6% for NPP 3 and 73.2% for NPP 4. Further research on the concept of resistance for increased MCC safety is expected to follow this study, applying the proposed probabilistic flood assessment method.
Author Contributions
Funding
Acknowledgments
Conflicts of Interest
References
- National Institute of Meteorological Sciences. Global Climate Change Forecast Report; National Institute of Meteorological Sciences: Jeju-do, Korea, 2019.
- ChosunBiz. Typhoon BAVI Damage Case. Available online: https://biz.chosun.com/site/data/html_dir/2020/08/27/2020082700001.html (accessed on 27 August 2020).
- ChosunBiz. Typoon MAYSAK Damage Case. Available online: https://biz.chosun.com/site/data/html_dir/2020/09/03/2020090300411.html (accessed on 3 September 2020).
- B News. Typoon HAISHEN Damage Case. Available online: https://www.bbc.com/korean/news-54052944 (accessed on 7 September 2020).
- Korea Institue of Nuclaer Safety. “Circulation Water Pump Room Due to LIP of Kori Unit 2 Turbine Manual Shutdown and Reactor Due to Flood Automatic Stop” Rating Result; Korea Institue of Nuclaer Safety: Daejeon, Korea, 2014. [Google Scholar]
- Institut de Protection Et de Surete Nucleaire. Reprot sur Linondation du Site Blayais Survenue le 24 Decomber 1999; Institut de Protection et de Surete Nucleaire: Fontenay-aux-Roses, France, 2000. [Google Scholar]
- ABC News. Nebraska Residents in No Danger after Floods Hit Nuke Plant: Waters Breach Berm at Fort Calhoun Nuclear Station. Available online: https://abcnews.go.com/US/minot-north-dakota-floods-community/story?id=13932406&cid=ESPNheadline (accessed on 26 January 2011).
- ABC News. Fukushima Disaster: Japan Acknowledges First Radiation Death from Nuclear Plant Hit by Tsunami. Available online: https://www.abc.net.au/news/2018-09-06/first-man-dies-from-radiation-from-fukushima-nuclear-disaster/10208244 (accessed on 6 January 2018).
- Korea Institute of Nuclaer Safety. Flood and Water Supply and Evaluation Criteria for the Site and the Surrounding Area of the Reactor Facility; Korea Institue of Nuclaer Safety: Daejeon, Korea, 2015. [Google Scholar]
- U.S. Nuclear Regulatory Commission. Regulatory Guide 1.59, Design Basis Floods for Nuclear Power Plants; U.S. Nuclear Regulatory Commission: Rockville, MD, USA, 1977; p. 64.
- U.S. Nuclear Regulatory Commission. Extreme Flood Hazard Assessment; U.S. Nuclear Regulatory Commission: Rockville, MD, USA, 2019.
- Epstein, W. A Probabilistic Risk Assessment Practioner Looks at the Great East. Japan Earthquake and Tsunami; Tokyo Institute of Technology: Tokyo, Japan, 2011. [Google Scholar]
- International Atomic Eenergy Agency. Meteorological and Hydrological Hazards in Site Evaluation for Nuclear Installations; International Atomic Eenergy Agency: Vienna, Austria, 2011; pp. 15–23. [Google Scholar]
- Bowles, D.S.; Schaefer, M. Probabilistic Flood Hazard Assessment, DAM Performance PRA and Nuclear Plant Risk. In Proceedings of the 9th Nuclear Plants Current Issues Symposium, Charlotte, NC, USA, 8–10 December 2014. [Google Scholar]
- Wall, I.B. Probabilistic risk assessment in nuclear power plant regulation. Nucl. Eng. Des. 1980, 60, 11–24. [Google Scholar] [CrossRef]
- Winter, B.; Schneeberger, K.; Huttenlau, M.; Stötter, J. Sources of uncertainty in a probabilistic flood risk model. Nat. Hazards 2018, 91, 431–446. [Google Scholar] [CrossRef]
- Kwag, S.; Oh, J. Development of network-based probabilistic safety assessment: A tool for risk analyst for nuclear facilities. Prog. Nucl. Energy 2019, 110, 178–190. [Google Scholar] [CrossRef]
- Nour, A.; Cherfaoui, A.; Gocevski, V.; Léger, P. Probabilistic seismic safety assessment of a CANDU 6 nuclear power plant including ambient vibration tests: Case study. Nucl. Eng. Des. 2016, 304, 125–138. [Google Scholar] [CrossRef]
- Korea Hydro and Nuclear Power. Stress Test Performance Report; Korea Hydro and Nuclear Power: Gyeongju, Korea, 2020. [Google Scholar]
- Kim, B.; Kim, M.; Hahm, D.; Han, K.Y. Probabilistic Flood Hazard Assessment Method Considering Local Intense Precipitation at NPP Sites. J. Hydrol. 2021, 597, 126192. [Google Scholar] [CrossRef]
- Palisade. @RISK. Available online: https://www.palisade.com/risk/ (accessed on 3 April 2021).
- O’Brien, J.S. FLO-2D Users Manual; FLO-2D Software, Inc.: Nutrioso, AR, USA, 2007. [Google Scholar]
- Korea Atomic Energy Research Institute. Flood Hazard and Fragility Analysis Resulting from External Event at Nuclear Power Plants; Korea Atomic Energy Research Institute: Daejeon, Korea, 2020. [Google Scholar]
- Burnham, K.P.; Anderson, D.R. A Practical Information-Theoretic Approach. Model Selection and Multimodel Inference, 2nd ed.; Springer: New York, NY, USA, 2002; Volume 2. [Google Scholar]
- Choi, I.K.; Seo, J.M.; Choun, Y.S. Technical Guide for Seismic Fragility Analysis of NPP Structures and Equipments; Korea Atomic Energy Research Institute: Daejeon, Korea, 2002. [Google Scholar]


























| Area | Flow-Pass | Remark | |
|---|---|---|---|
| NPP 2 | Emergency diesel generator (EDG) (Waterproof door replacement) | External doors (2) |
|
| Turbine driven aux. feedwater pump | Internal door (1) |
| |
| Battery charge room | Internal door (1) |
| |
| Diesel generator building (DGB) (Waterproof door replacement) | External doors (4) |
| |
| Fuel building (Waterproof door replacement) | External doors (2) |
| |
| Component cooling water pump (Waterproof door replacement) | External doors (2), Louver window |
| |
| Turbine generator building (TGB) | Internal door (1 place) |
| |
| Area | Flow-Pass | Remark | |
|---|---|---|---|
| NPP 3 and 4 | Auxiliary building (AB) (Waterproof door replacement) | External door (1) |
|
| Control building (CB) | External doors (2) Internal door (1) |
| |
| Cooling water building (Waterproof door replacement) | External doors (2), Pump door (1) |
| |
| Turbine building (TB) (Waterproof door replacement) | External doors (7) |
| |
| Grid No. | Location | Condition |
|---|---|---|
| 5274 | Turbine building of NPP 2 | External door point |
| 6792 | Turbine building of NPP 2 | External door point |
| 6989 | Turbine building of NPP 2 | External door point |
| 15,092 | Control building of NPP 3 | External door point |
| 22,821 | Control building of NPP 4 | External door point |
| Buildings | Turbine | Battery Charge |
|---|---|---|
| Area assignment | A | B |
| Buildings | Control (100 ft) | Control Stair Area (100 ft) | Control (80 ft) | Control MCC Area (80 ft) |
|---|---|---|---|---|
| Area assignment | A | B | C | D |
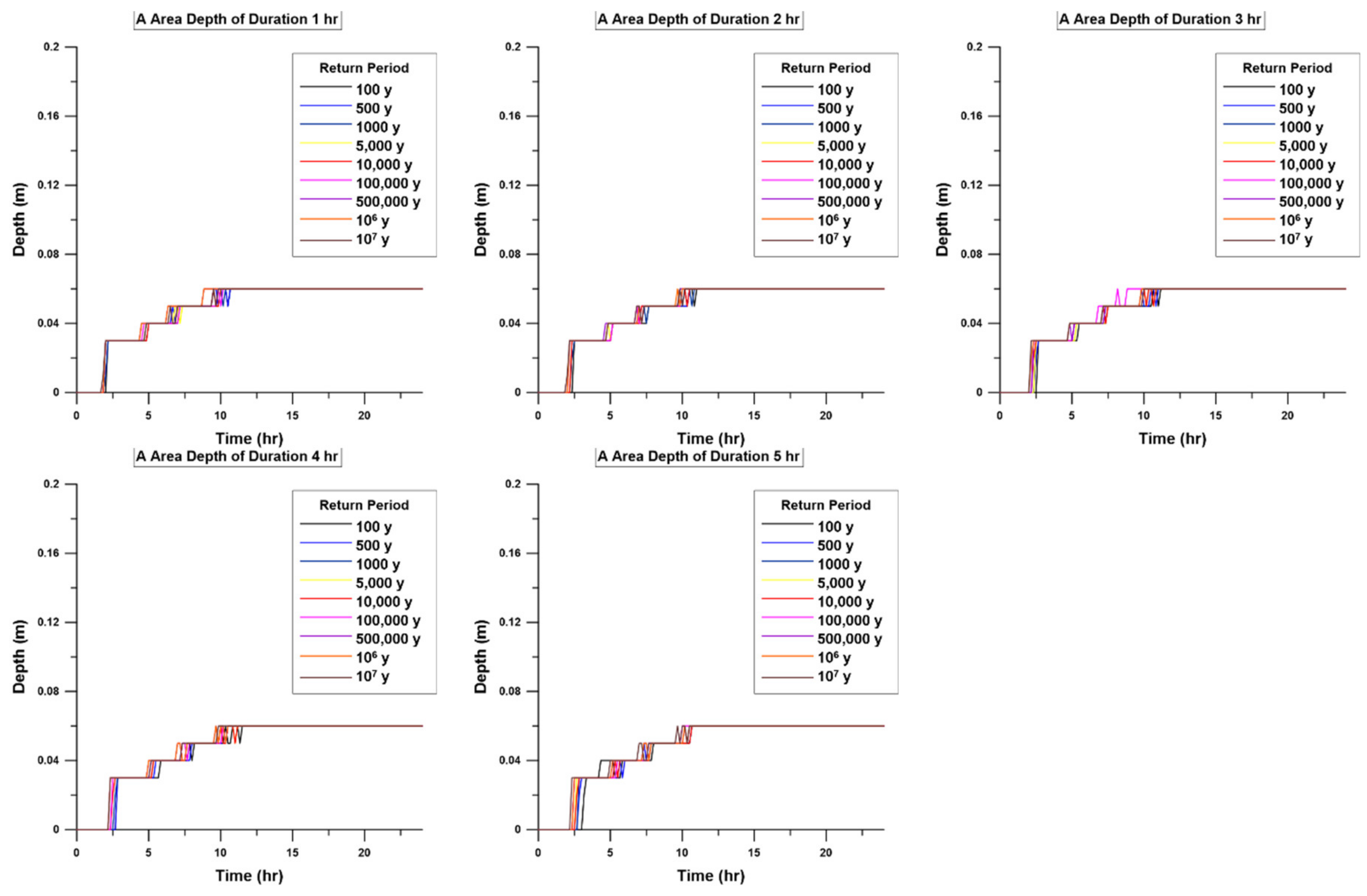
| Duration Time | Return Period (Flood Area: A) | ||||||||
|---|---|---|---|---|---|---|---|---|---|
| 100 y | 500 y | 1000 y | 5000 y | 10,000 y | 100,000 y | 500,000 y | 106 y | 107 y | |
| m | m | m | m | m | m | m | m | m | |
| 1 h | 0.06 | 0.06 | 0.06 | 0.06 | 0.06 | 0.06 | 0.06 | 0.06 | 0.06 |
| 2 h | 0.06 | 0.06 | 0.06 | 0.06 | 0.06 | 0.06 | 0.06 | 0.06 | 0.06 |
| 3 h | 0.06 | 0.06 | 0.06 | 0.06 | 0.06 | 0.06 | 0.06 | 0.06 | 0.06 |
| 4 h | 0.06 | 0.06 | 0.06 | 0.06 | 0.06 | 0.06 | 0.06 | 0.06 | 0.06 |
| 5 h | 0.06 | 0.06 | 0.06 | 0.06 | 0.06 | 0.06 | 0.06 | 0.06 | 0.06 |
| Duration Time | Return Period (Flood Area: B) | ||||||||
|---|---|---|---|---|---|---|---|---|---|
| 100 y | 500 y | 1000 y | 5000 y | 10,000 y | 100,000 y | 500,000 y | 106 y | 107 y | |
| m | m | m | m | m | m | m | m | m | |
| 1 h | 0.34 | 0.34 | 0.33 | 0.34 | 0.34 | 0.33 | 0.34 | 0.34 | 0.34 |
| 2 h | 0.34 | 0.33 | 0.34 | 0.33 | 0.34 | 0.33 | 0.34 | 0.34 | 0.33 |
| 3 h | 0.34 | 0.34 | 0.33 | 0.34 | 0.34 | 0.34 | 0.34 | 0.33 | 0.33 |
| 4 h | 0.34 | 0.34 | 0.34 | 0.34 | 0.34 | 0.34 | 0.34 | 0.33 | 0.34 |
| 5 h | 0.34 | 0.34 | 0.33 | 0.33 | 0.34 | 0.33 | 0.34 | 0.33 | 0.34 |
| Duration Time | Return Period (Flood Area: C) | ||||||||
|---|---|---|---|---|---|---|---|---|---|
| 100 y | 500 y | 1000 y | 5000 y | 10,000 y | 100,000 y | 500,000 y | 106 y | 107 y | |
| m | m | m | m | m | m | m | m | m | |
| 1 h | 0.34 | 0.34 | 0.34 | 0.33 | 0.34 | 0.34 | 0.34 | 0.34 | 0.34 |
| 2 h | 0.33 | 0.33 | 0.34 | 0.34 | 0.33 | 0.33 | 0.34 | 0.33 | 0.34 |
| 3 h | 0.34 | 0.34 | 0.34 | 0.34 | 0.34 | 0.33 | 0.34 | 0.34 | 0.34 |
| 4 h | 0.33 | 0.34 | 0.34 | 0.34 | 0.34 | 0.34 | 0.34 | 0.33 | 0.34 |
| 5 h | 0.34 | 0.34 | 0.33 | 0.34 | 0.34 | 0.34 | 0.33 | 0.34 | 0.33 |
| Duration Time | Return Period (Grid No. 892) | ||||||||
|---|---|---|---|---|---|---|---|---|---|
| 100 y | 500 y | 1000 y | 5000 y | 10,000 y | 100,000 y | 500,000 y | 106 y | 107 y | |
| m | m | m | m | m | m | m | m | m | |
| 1 h | 0.34 | 0.34 | 0.33 | 0.34 | 0.34 | 0.33 | 0.34 | 0.34 | 0.34 |
| 2 h | 0.34 | 0.33 | 0.34 | 0.33 | 0.34 | 0.33 | 0.34 | 0.34 | 0.33 |
| 3 h | 0.34 | 0.34 | 0.33 | 0.34 | 0.34 | 0.34 | 0.34 | 0.33 | 0.33 |
| 4 h | 0.34 | 0.34 | 0.34 | 0.34 | 0.34 | 0.34 | 0.34 | 0.33 | 0.34 |
| 5 h | 0.34 | 0.34 | 0.33 | 0.33 | 0.34 | 0.33 | 0.34 | 0.33 | 0.34 |
| Duration Time | Return Period (Grid No. 1169) | ||||||||
| 100 y | 500 y | 1000 y | 5000 y | 10,000 y | 100,000 y | 500,000 y | 106 y | 107 y | |
| m | m | m | m | m | m | m | m | m | |
| 1 h | 0.28 | 0.28 | 0.28 | 0.28 | 0.28 | 0.28 | 0.28 | 0.28 | 0.28 |
| 2 h | 0.28 | 0.28 | 0.28 | 0.28 | 0.28 | 0.28 | 0.28 | 0.28 | 0.28 |
| 3 h | 0.28 | 0.28 | 0.28 | 0.28 | 0.28 | 0.28 | 0.28 | 0.28 | 0.28 |
| 4 h | 0.28 | 0.28 | 0.28 | 0.28 | 0.28 | 0.28 | 0.28 | 0.28 | 0.28 |
| 5 h | 0.28 | 0.28 | 0.28 | 0.28 | 0.28 | 0.28 | 0.28 | 0.28 | 0.28 |
| Duration Time | Return Period (Grid No. 1729) | ||||||||
| 100 y | 500 y | 1000 y | 5000 y | 10,000 y | 100,000 y | 500,000 y | 106 y | 107 y | |
| m | m | m | m | m | m | m | m | m | |
| 1 h | 0.28 | 0.28 | 0.28 | 0.28 | 0.28 | 0.28 | 0.28 | 0.28 | 0.28 |
| 2 h | 0.28 | 0.28 | 0.28 | 0.28 | 0.28 | 0.28 | 0.28 | 0.28 | 0.28 |
| 3 h | 0.28 | 0.28 | 0.28 | 0.28 | 0.28 | 0.28 | 0.28 | 0.28 | 0.28 |
| 4 h | 0.28 | 0.28 | 0.28 | 0.28 | 0.28 | 0.28 | 0.28 | 0.28 | 0.28 |
| 5 h | 0.28 | 0.28 | 0.28 | 0.28 | 0.28 | 0.28 | 0.28 | 0.28 | 0.28 |
| Duration Time | Return Period (Grid No. 2989) | ||||||||
| 100 y | 500 y | 1000 y | 5000 y | 10,000 y | 100,000 y | 500,000 y | 106 y | 107 y | |
| m | m | m | m | m | m | m | m | m | |
| 1 h | 0.28 | 0.28 | 0.28 | 0.28 | 0.28 | 0.28 | 0.28 | 0.28 | 0.28 |
| 2 h | 0.28 | 0.28 | 0.28 | 0.28 | 0.28 | 0.28 | 0.28 | 0.28 | 0.28 |
| 3 h | 0.28 | 0.28 | 0.28 | 0.28 | 0.28 | 0.28 | 0.28 | 0.28 | 0.28 |
| 4 h | 0.28 | 0.28 | 0.28 | 0.28 | 0.28 | 0.28 | 0.28 | 0.28 | 0.28 |
| 5 h | 0.28 | 0.28 | 0.28 | 0.28 | 0.28 | 0.28 | 0.28 | 0.28 | 0.28 |
| Duration Time | Return Period (Grid No. 3549) | ||||||||
| 100 y | 500 y | 1000 y | 5000 y | 10,000 y | 100,000 y | 500,000 y | 106 y | 107 y | |
| m | m | m | m | m | m | m | m | m | |
| 1 h | 0.28 | 0.28 | 0.28 | 0.28 | 0.28 | 0.28 | 0.28 | 0.28 | 0.28 |
| 2 h | 0.28 | 0.28 | 0.28 | 0.28 | 0.28 | 0.28 | 0.28 | 0.28 | 0.28 |
| 3 h | 0.28 | 0.28 | 0.28 | 0.28 | 0.28 | 0.28 | 0.28 | 0.28 | 0.28 |
| 4 h | 0.28 | 0.28 | 0.28 | 0.28 | 0.28 | 0.28 | 0.28 | 0.28 | 0.28 |
| 5 h | 0.28 | 0.28 | 0.28 | 0.28 | 0.28 | 0.28 | 0.28 | 0.28 | 0.28 |
| Duration Time | Return Period (Grid No. 892) | ||||||||
|---|---|---|---|---|---|---|---|---|---|
| 100 y | 500 y | 1000 y | 5000 y | 10,000 y | 100,000 y | 500,000 y | 106 y | 107 y | |
| m | m | m | m | m | m | m | m | m | |
| 1 h | 0.34 | 0.34 | 0.34 | 0.33 | 0.34 | 0.34 | 0.34 | 0.34 | 0.34 |
| 2 h | 0.33 | 0.33 | 0.34 | 0.34 | 0.33 | 0.33 | 0.34 | 0.33 | 0.34 |
| 3 h | 0.34 | 0.34 | 0.34 | 0.34 | 0.34 | 0.33 | 0.34 | 0.34 | 0.34 |
| 4 h | 0.33 | 0.34 | 0.34 | 0.34 | 0.34 | 0.34 | 0.34 | 0.33 | 0.34 |
| 5 h | 0.34 | 0.34 | 0.33 | 0.34 | 0.34 | 0.34 | 0.33 | 0.34 | 0.33 |
| Duration Time | Return Period (Grid No. 1169) | ||||||||
| 100 y | 500 y | 1000 y | 5000 y | 10,000 y | 100,000 y | 500,000 y | 106 y | 107 y | |
| m | m | m | m | m | m | m | m | m | |
| 1 h | 0.28 | 0.28 | 0.28 | 0.28 | 0.28 | 0.28 | 0.28 | 0.28 | 0.28 |
| 2 h | 0.29 | 0.28 | 0.28 | 0.28 | 0.28 | 0.28 | 0.28 | 0.28 | 0.28 |
| 3 h | 0.28 | 0.28 | 0.28 | 0.28 | 0.28 | 0.28 | 0.28 | 0.28 | 0.28 |
| 4 h | 0.28 | 0.28 | 0.28 | 0.28 | 0.28 | 0.28 | 0.28 | 0.28 | 0.28 |
| 5 h | 0.28 | 0.28 | 0.28 | 0.28 | 0.28 | 0.28 | 0.28 | 0.28 | 0.28 |
| Duration Time | Return Period (Grid No. 1729) | ||||||||
| 100 y | 500 y | 1000 y | 5000 y | 10,000 y | 100,000 y | 500,000 y | 106 y | 107 y | |
| m | m | m | m | m | m | m | m | m | |
| 1 h | 0.28 | 0.28 | 0.28 | 0.28 | 0.28 | 0.28 | 0.28 | 0.28 | 0.28 |
| 2 h | 0.28 | 0.28 | 0.28 | 0.28 | 0.28 | 0.28 | 0.28 | 0.28 | 0.28 |
| 3 h | 0.28 | 0.28 | 0.28 | 0.28 | 0.28 | 0.28 | 0.28 | 0.28 | 0.28 |
| 4 h | 0.28 | 0.28 | 0.28 | 0.28 | 0.28 | 0.28 | 0.28 | 0.28 | 0.28 |
| 5 h | 0.28 | 0.28 | 0.28 | 0.28 | 0.28 | 0.28 | 0.28 | 0.28 | 0.28 |
| Duration Time | Return Period (Grid No. 2989) | ||||||||
| 100 y | 500 y | 1000 y | 5000 y | 10,000 y | 100,000 y | 500,000 y | 106 y | 107 y | |
| m | m | m | m | m | m | m | m | m | |
| 1 h | 0.28 | 0.28 | 0.28 | 0.28 | 0.28 | 0.28 | 0.28 | 0.28 | 0.28 |
| 2 h | 0.28 | 0.28 | 0.28 | 0.28 | 0.28 | 0.28 | 0.28 | 0.28 | 0.28 |
| 3 h | 0.28 | 0.28 | 0.28 | 0.28 | 0.28 | 0.28 | 0.28 | 0.28 | 0.28 |
| 4 h | 0.28 | 0.28 | 0.28 | 0.28 | 0.28 | 0.28 | 0.28 | 0.28 | 0.28 |
| 5 h | 0.28 | 0.28 | 0.28 | 0.28 | 0.28 | 0.28 | 0.28 | 0.28 | 0.28 |
| Duration Time | Return period (Grid No. 3549) | ||||||||
| 100 y | 500 y | 1000 y | 5000 y | 10,000 y | 100,000 y | 500,000 y | 106 y | 107 y | |
| m | m | m | m | m | m | m | m | m | |
| 1 h | 0.28 | 0.28 | 0.28 | 0.28 | 0.28 | 0.28 | 0.28 | 0.28 | 0.28 |
| 2 h | 0.28 | 0.28 | 0.28 | 0.28 | 0.28 | 0.28 | 0.28 | 0.28 | 0.28 |
| 3 h | 0.28 | 0.28 | 0.28 | 0.28 | 0.28 | 0.28 | 0.28 | 0.28 | 0.28 |
| 4 h | 0.29 | 0.28 | 0.28 | 0.28 | 0.28 | 0.28 | 0.28 | 0.28 | 0.28 |
| 5 h | 0.28 | 0.28 | 0.28 | 0.28 | 0.28 | 0.28 | 0.28 | 0.28 | 0.28 |
| Model Fit | |
|---|---|
| Good | |
| Not bad | |
| Bad |
| Correlation | Control Building 80 ft Point (NPP 3) | ||||||||
|---|---|---|---|---|---|---|---|---|---|
| 100 y | 500 y | 1000 y | 5000 y | 10,000 y | 100,000 y | 500,000 y | 106 y | 107 y | |
| 100 y | 1.000 | □ | □ | □ | □ | □ | □ | □ | □ |
| 500 y | 0.996 | 1.000 | □ | □ | □ | □ | □ | □ | □ |
| 1000 y | 0.994 | 0.984 | 1.000 | □ | □ | □ | □ | □ | □ |
| 5000 y | 0.994 | 0.996 | 0.986 | 1.000 | □ | □ | □ | □ | |
| 10,000 y | 1.000 | 0.996 | 0.994 | 0.994 | 1.000 | □ | □ | □ | □ |
| 100,000 y | 0.994 | 0.994 | 0.990 | 0.996 | 0.994 | 1.000 | □ | □ | □ |
| 500,000 y | 1.000 | 0.996 | 0.994 | 0.994 | 1.000 | 0.994 | 1.000 | □ | □ |
| 106 y | 0.994 | 0.984 | 0.990 | 0.986 | 0.994 | 0.980 | 0.994 | 1.000 | □ |
| 107 y | 0.994 | 0.996 | 0.986 | 0.990 | 0.994 | 0.986 | 0.994 | 0.986 | 1.000 |
| Correlation | Control Building 80 ft Point (NPP 4) | ||||||||
| 100 y | 500 y | 1000 y | 5000 y | 10,000 y | 100,000 y | 500,000 y | 106 y | 107 y | |
| 100 y | 1.000 | □ | □ | □ | □ | □ | □ | □ | □ |
| 500 y | 0.879 | 1.000 | □ | □ | □ | □ | □ | □ | □ |
| 1000 y | 0.870 | 0.990 | 1.000 | □ | □ | □ | □ | □ | □ |
| 5000 y | 0.870 | 0.990 | 0.990 | 1.000 | □ | □ | □ | □ | □ |
| 10,000 y | 0.879 | 1.000 | 0.990 | 0.990 | 1.000 | □ | □ | □ | □ |
| 100,000 y | 0.874 | 0.996 | 0.986 | 0.986 | 0.996 | 1.000 | □ | □ | □ |
| 500,000 y | 0.870 | 0.990 | 1.000 | 0.990 | 0.990 | 0.986 | 1.000 | □ | □ |
| 106 y | 0.882 | 0.996 | 0.986 | 0.986 | 0.996 | 0.990 | 0.986 | 1.000 | □ |
| 107 y | 0.870 | 0.990 | 1.000 | 0.990 | 0.990 | 0.986 | 1.000 | 0.986 | 1.000 |
| Mean (m) | Std. | 95% (m) | 5% (m) | Mode (m) | |
|---|---|---|---|---|---|
| 100 y | 0.286 | 0.020 | 0.320 | 0.256 | 0.283 |
| 500 y | 0.285 | 0.019 | 0.318 | 0.256 | 0.289 |
| 1000 y | 0.286 | 0.018 | 0.315 | 0.257 | 0.285 |
| 5000 y | 0.286 | 0.019 | 0.317 | 0.257 | 0.280 |
| 10,000 y | 0.286 | 0.020 | 0.320 | 0.255 | 0.284 |
| 100,000 y | 0.285 | 0.018 | 0.316 | 0.257 | 0.282 |
| 500,000 y | 0.286 | 0.020 | 0.319 | 0.256 | 0.282 |
| 106 y | 0.285 | 0.018 | 0.315 | 0.257 | 0.284 |
| 107 y | 0.286 | 0.018 | 0.316 | 0.256 | 0.284 |
| Mean (m) | Std. | 95% (m) | 5% (m) | Mode (m) | |
|---|---|---|---|---|---|
| 100 y | 0.287 | 0.019 | 0.319 | 0.258 | 0.289 |
| 500 y | 0.286 | 0.019 | 0.318 | 0.256 | 0.283 |
| 1000 y | 0.286 | 0.019 | 0.318 | 0.256 | 0.283 |
| 5000 y | 0.286 | 0.019 | 0.318 | 0.255 | 0.281 |
| 10,000 y | 0.286 | 0.019 | 0.317 | 0.256 | 0.283 |
| 100,000 y | 0.286 | 0.018 | 0.316 | 0.256 | 0.283 |
| 500,000 y | 0.286 | 0.019 | 0.318 | 0.256 | 0.283 |
| 106 y | 0.286 | 0.018 | 0.317 | 0.257 | 0.284 |
| 107 y | 0.286 | 0.019 | 0.318 | 0.255 | 0.286 |
| Lognormal Distribution | |
|---|---|
| Limit height (m) | 0.25 |
| Median value (m) | 0.25 |
| 0.141 | |
| 0.1 | |
| 0.1 | |
| Average (m) | 0.256 |
| Std. (m) | 0.056 |
| Return Period | NPP 3 | NPP 4 | MCC Facility |
|---|---|---|---|
| Flood Depth (m) | Flood Depth (m) | Limit Height (m) | |
| 100 y | 0.283 | 0.289 | 0.25 |
| 500 y | 0.289 | 0.283 | 0.25 |
| 1000 y | 0.285 | 0.283 | 0.25 |
| 5000 y | 0.280 | 0.281 | 0.25 |
| 10,000 y | 0.284 | 0.283 | 0.25 |
| 100,000 y | 0.282 | 0.283 | 0.25 |
| 500,000 y | 0.282 | 0.283 | 0.25 |
| 106 y | 0.284 | 0.284 | 0.25 |
| 107 y | 0.284 | 0.286 | 0.25 |
| Flood Assessment | |
|---|---|
| Flood indicator > 0 | Dangerous or failure |
| Flood indicator ≤ 0 | Safe |
| Flood Assessment | MCC Facility for NPP 3 (Elevation 80 ft) | ||
| Flood indicator = C < L | Result of flood assessment | Probability of flood | |
| 0.02846 | Failure | 72.6% | |
| MCC Facility for NPP 4 (Elevation 80 ft) | |||
| Flood indicator = C < L | Result of flood assessment | Probability of flood | |
| 0.02889 | Failure | 73.2% | |
Publisher’s Note: MDPI stays neutral with regard to jurisdictional claims in published maps and institutional affiliations. |
© 2021 by the authors. Licensee MDPI, Basel, Switzerland. This article is an open access article distributed under the terms and conditions of the Creative Commons Attribution (CC BY) license (https://creativecommons.org/licenses/by/4.0/).
Share and Cite
Kim, B.-J.; Kim, M.; Hahm, D.; Park, J.; Han, K.-Y. Probabilistic Flood Assessment Methodology for Nuclear Power Plants Considering Extreme Rainfall. Energies 2021, 14, 2600. https://doi.org/10.3390/en14092600
Kim B-J, Kim M, Hahm D, Park J, Han K-Y. Probabilistic Flood Assessment Methodology for Nuclear Power Plants Considering Extreme Rainfall. Energies. 2021; 14(9):2600. https://doi.org/10.3390/en14092600
Chicago/Turabian StyleKim, Beom-Jin, Minkyu Kim, Daegi Hahm, Junhee Park, and Kun-Yeun Han. 2021. "Probabilistic Flood Assessment Methodology for Nuclear Power Plants Considering Extreme Rainfall" Energies 14, no. 9: 2600. https://doi.org/10.3390/en14092600
APA StyleKim, B.-J., Kim, M., Hahm, D., Park, J., & Han, K.-Y. (2021). Probabilistic Flood Assessment Methodology for Nuclear Power Plants Considering Extreme Rainfall. Energies, 14(9), 2600. https://doi.org/10.3390/en14092600

