Adaptive Driving Cycles of EVs for Reducing Energy Consumption
Abstract
1. Introduction
2. Methods
2.1. Cycle Segmentation
2.2. Markov Chain Method
2.3. Data-Driven Model of Energy Calculation
2.4. Adaptation of the Current Driving Cycle
3. Results
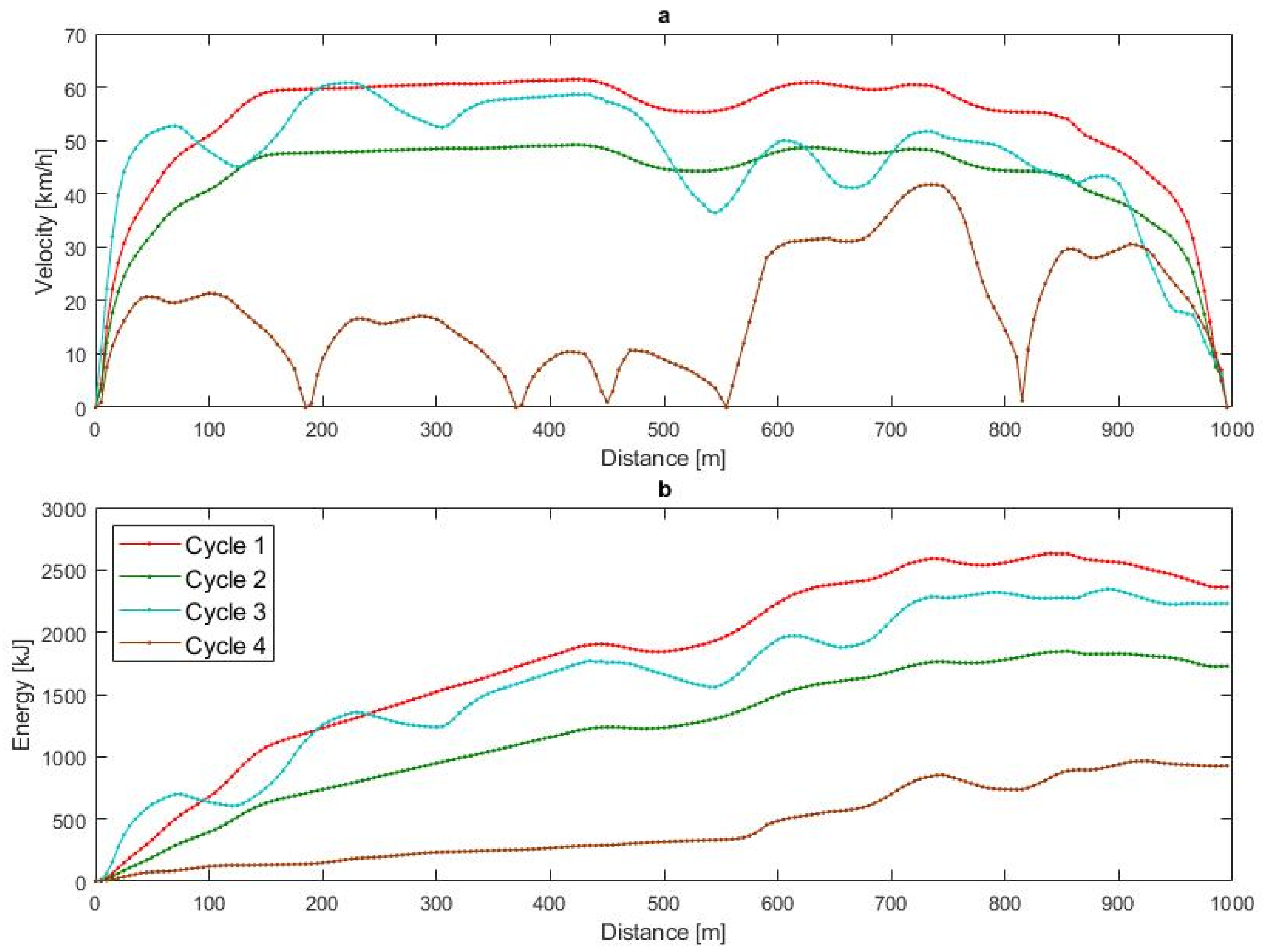
3.1. Experiment Description
3.2. Energy Consumption
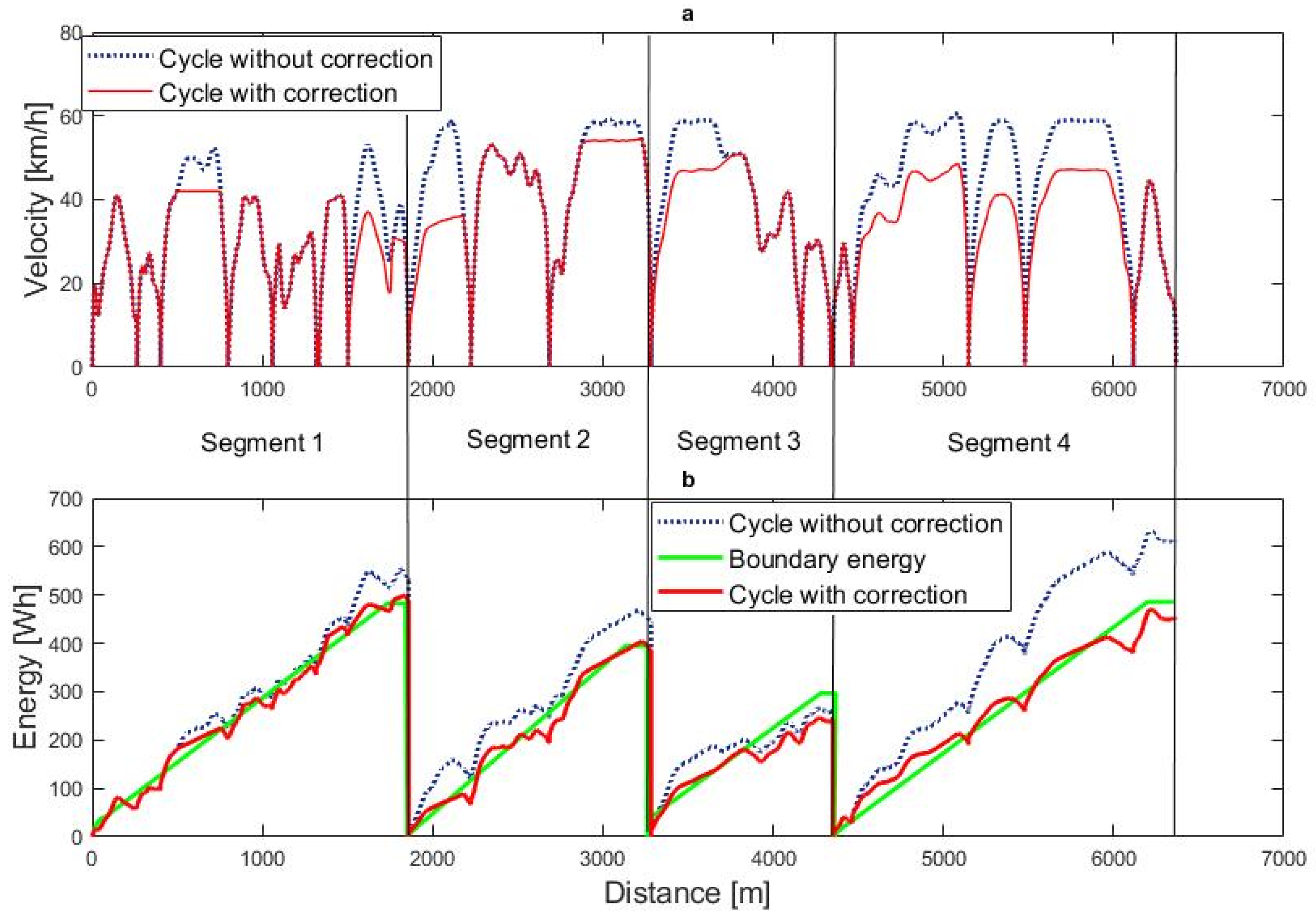
3.3. Representative Driving Cycle
3.4. Simulation Results
4. Conclusions
Author Contributions
Funding
Conflicts of Interest
Abbreviations
| DBADC | distance-based adaptive driving cycle |
| DC | driving cycle |
| EV | electric vehicle |
| GPR | Gaussian process regression |
| HEV | hybrid electric vehicle |
| HVAC | heating, ventilation and air-conditioning |
| MC | Markov chains |
| MCMC | Monte Carlo Markov chain |
| MLE | maximum likelihood estimation |
| PHEV | plug-in hybrid electric vehicle |
| SAPD | speed acceleration probability density |
| TPM | transition probability matrix |
| va | velocity and acceleration product |
References
- Ashtari, A.; Bibeau, E.; Shahidinejad, S. Using Large Driving Record Samples and a Stochastic Approach for Real-World Driving Cycle Construction: Winnipeg Driving Cycle. Transp. Sci. 2012, 48, 170–183. [Google Scholar] [CrossRef]
- Berzi, L.; Delogu, M.; Pierini, M. Development of driving cycles for electric vehicles in the context of the city of Florence. Transp. Res. Part D Transp. Environ. 2016, 47, 299–322. [Google Scholar] [CrossRef]
- Brady, J.; Mahony, M. Development of a driving cycle to evaluate the energy economy of electric vehicles in urban areas. Appl. Energy 2016, 177, 165–178. [Google Scholar] [CrossRef]
- Sun, Z.; Wen, Z.; Zhao, X.; Yang, Y.; Li, S. Real-World Driving Cycles Adaptability of Electric Vehicles. World Electr. Veh. J. 2020, 11, 19. [Google Scholar] [CrossRef]
- Yuan, X.; Zhang, C.; Hong, G.; Huang, X.; Li, L. Method for evaluating the real-world driving energy consumptions of electric vehicles. Energy 2017, 141, 1955–1968. [Google Scholar] [CrossRef]
- Liu, X.; Ma, J.; Zhao, X.; Du, J.; Xiong, Y. Study on Driving Cycle Synthesis Method for City Buses considering Random Passenger Load. J. Adv. Transp. 2020, 2020, 1–21. [Google Scholar] [CrossRef]
- Brundell, K.; Ericsson, E. Influence of street characteristics, driver category and car performance on urban driving patterns. Transp. Res. Part D Transp. Environ. 2005, 10, 213–229. [Google Scholar] [CrossRef]
- Hung, W.T.; Tong, H.Y.; Lee, C.P.; Ha, K.; Pao, L.Y. Development of a Practical Driving Cycle Construction Methodology: A Case Study in Hong Kong. Transp. Res. Part D Transp. Environ. 2007, 12, 115–128. [Google Scholar] [CrossRef]
- Borucka, A.; Wiśniowski, P.; Mazurkiewicz, D.; Świderski, A. Laboratory measurements of vehicle exhaust emissions in conditions reproducing real traffic. Measurement 2021, 174, 108998. [Google Scholar] [CrossRef]
- Chen, Z.; Zhang, Q.; Lu, J.; Bi, J. Optimization-based method to develop practical driving cycle for application in electric vehicle power management: A case study in Shenyang, China. Energy 2019, 186, 1157–1166. [Google Scholar] [CrossRef]
- Ma, R.; He, X.; Zheng, Y.; Zhou, B.; Lu, S.; Wu, Y. Real-world driving cycles and energy consumption informed by large-sized vehicle trajectory data. J. Clean. Prod. 2019, 223, 564–574. [Google Scholar] [CrossRef]
- Esser, A.; Zeller, M.; Foulard, S.; Rinderknecht, S. Stochastic Synthesis of Representative and Multidimensional Driving Cycles. SAE Int. 2018. [Google Scholar] [CrossRef]
- Desreveaux, A.; Bouscayrol, A.; Trigui, R.; Castex, E.; Klein, J. Impact of the Velocity Profile on Energy Consumption of Electric Vehicles. IEEE Trans. Veh. Technol. 2019, 68, 11420–11426. [Google Scholar] [CrossRef]
- Nyberg, P.; Frisk, E.; Nielsen, L. Generation of Equivalent Driving Cycles Using Markov Chains and Mean Tractive Force Components. IFAC Proc. 2014, 47, 8787–8792. [Google Scholar] [CrossRef]
- Semal, P. Monotone Iterative Methods for Markov Chains. Linear Algebra Its Appl. 1995, 230, 35–46. [Google Scholar] [CrossRef]
- Lee, T.-K.; Filipi, Z.S. Synthesis of Real-World Driving Cycles Using Stochastic Process and Statistical Methodology. Int. J. Veh. Des. 2011, 57, 17–36. [Google Scholar] [CrossRef]
- Gong, Q.; Midlam-Mohler, S.; Marano, V.; Rizzoni, G. An Iterative Markov Chain Approach for Generating Vehicle Driving Cycles. SAE Int. J. Engines 2011, 4, 1035–1045. [Google Scholar] [CrossRef]
- Souffran, G.; Miegeville, L.; Guerin, P. Simulation of Real-World Vehicle Missions Using a Stochastic Markov Model for Optimal Powertrain Sizing. IEEE Trans. Veh. Technol. 2012, 61, 3454–3465. [Google Scholar] [CrossRef]
- Silvas, E.; Hereijgers, K.; Peng, H.; Hofman, T.; Steinbuch, M. Synthesis of realistic driving cycles with high accuracy and computational speed, including slope information. IEEE Trans. Veh. Technol. 2016, 65, 4118–4128. [Google Scholar] [CrossRef]
- Zhao, B.; Hofman, T.; Lv, C.; Steinbuch, M. Intelligent synthesis of driving cycle for advanced design and control of powertrains. In Proceedings of the IEEE Intelligent Vehicles Symposium (IV) 2018, Changshu, China, 26–30 June 2018. [Google Scholar] [CrossRef]
- Puchalski, A.; Komorska, I.; Ślęzak, M.; Niewczas, A. Synthesis of naturalistic vehicle driving cycles using the Markov Chain Monte Carlo method. Eksploat. Niezawodn. Maint. Reliab. 2020, 22, 316–322. [Google Scholar] [CrossRef]
- Shi, S.; Nan, L.; Zhang, Y.; Chaosheng, H.; Liu, L.; Lu, B.; Cheng, J. Research on Markov property analysis of driving cycle. In Proceedings of the IEEE Vehicle Power and Propulsion Conference, Piscataway, NJ, USA, 10–18 October 2013; pp. 1–5. [Google Scholar]
- Zhang, M.; Shi, S.; Cheng, W.; Shen, Y. Self-Adaptive Hyper-Heuristic Markov Chain Evolution for Generating Vehicle Multi-Parameter Driving Cycles. IEEE Trans. Veh. Technol. 2020, 69, 6041–6052. [Google Scholar] [CrossRef]
- Lin, J.; Niemeier, D.A. Estimating Regional Air Quality Vehicle Emission Inventories: Constructing Robust Driving Cycles. Transp. Sci. 2003, 37, 330–346. [Google Scholar] [CrossRef][Green Version]
- Borucka, A.; Niewczas, A.; Hasilova, K. Forecasting the readiness of special vehicles using the semi-Markov model. Eksploat. Niezawodn. Maint. Reliab. 2019, 21, 662–669. [Google Scholar] [CrossRef]
- Austin, T.C.; DiGenova, F.J.; Carlson, T.R.; Joy, R.W.; Gianlini, K.A.; Lee, J.M. Characterization of Driving Patterns and Emissions from Light-Duty Vehicles in California; Final Report 1993; Sierra Research Inc.: Street Sacramento, CA, USA, 1993. [Google Scholar] [CrossRef]
- Nesamani, K.S.; Subramanian, K.P. Development of a Driving Cycle for Intra-City Buses in Chennai, India. Atmos. Environ. 2011, 45, 5469–5476. [Google Scholar] [CrossRef]
- Zähringer, M.; Kalt, S.; Lienkamp, M. Compressed Driving Cycles Using Markov Chains for Vehicle Powertrain Design. World Electr. Veh. J. 2020, 11, 52. [Google Scholar] [CrossRef]
- Zhang, X.; Göhlich, D.; Li, J. Energy-Efficient Toque Allocation Design of Traction and Regenerative Braking for Distributed Drive Electric Vehicles. IEEE Trans. Veh. Technol. 2018, 67, 285–295. [Google Scholar] [CrossRef]
- Xu, W.; Chen, H.; Zhao, H.; Ren, B. Torque optimization control for electric vehicles with four in-wheel motors equipped with regenerative braking system. Mechatronics 2019, 57, 95–108. [Google Scholar] [CrossRef]
- Rasmussen, C.E.; Williams, C.K.I. Gaussian Processes for Machine Learning; MIT Press: Cambridge, MA, USA, 2006. [Google Scholar]















| Number | Parameter |
|---|---|
| 1 | Average speed |
| 2 | Average speed (only cruising) |
| 3 | Standard deviation of speed |
| 4 | Maximum acceleration |
| 5 | Average acceleration |
| 6 | Standard deviation of acceleration |
| 7 | Maximum deceleration |
| 8 | Average deceleration |
| 9 | Standard deviation of deceleration |
| 10 | % of time when idling |
| 11 | % of time when speed is 0–15 (km·h−1) |
| 12 | % of time when speed is 15–30 (km·h−1) |
| 13 | % of time when speed is 30–50 (km·h−1) |
| 14 | % of time when speed is >50 (km·h−1) |
| 15 | % of time when va 1 is <0 (m2·s−3) |
| 16 | % of time when va is 0–3 (m2·s−3) |
| 17 | % of time when va is 3–6 (m2·s−3) |
| 18 | % of time when va is 6–10 (m2·s−3) |
| 19 | % of time when va is >10 (m2·s−3) |
| 20 | Total duration |
| 21 | Time of cruising without idling |
| 22 | Average energy consumption |
| No. | Parameter | Dynamical Driving | Eco-Driving | Autopilot |
|---|---|---|---|---|
| 1 | Average speed | 22.90 | 19.86 | 19.06 |
| 2 | Average speed (only cruising) | 35.15 | 29.03 | 28.84 |
| 3 | Standard deviation of speed | 25.45 | 19.38 | 19.32 |
| 4 | Maximum acceleration | 5.69 | 2.43 | 2.20 |
| 5 | Average acceleration | 1.18 | 0.62 | 0.62 |
| 6 | Standard deviation of acceleration | 0.47 | 0.48 | 0.47 |
| 7 | Maximum deceleration | −4.22 | −2.61 | −3.12 |
| 8 | Average deceleration | −0.95 | −0.63 | −0.67 |
| 9 | Standard deviation of deceleration | 0.74 | 0.47 | 0.55 |
| 10 | % of time when idling | 36.7 | 33.3 | 35.9 |
| 11 | % of time when speed is 0–15 (km·h−1) | 13.5 | 15.1 | 14.9 |
| 12 | % of time when speed is 15–30 (km·h−1) | 15.2 | 18.3 | 17.4 |
| 13 | % of time when speed is 30–50 (km·h−1) | 17.0 | 24.8 | 24.8 |
| 14 | % of time when speed is >50 (km·h−1) | 17.6 | 8.5 | 7.0 |
| 15 | % of time when va1 is <0 (m2·s−3) | 33.6 | 31.8 | 29.1 |
| 16 | % of time when va is 0–3 (m2·s−3) | 8.5 | 15.1 | 14.7 |
| 17 | % of time when va is 3–6 (m2·s−3) | 5.7 | 9.9 | 9.1 |
| 18 | % of time when va is 6–10 (m2·s−3) | 4.1 | 5.7 | 5.8 |
| 19 | % of time when va is >10 (m2·s−3v | 10.9 | 3.2 | 3.8 |
| 20 | Total duration (s) | 999.3 | 1147.2 | 1214.0 |
| 21 | Time of cruising without idling (s) | 648.8 | 780.5 | 789.0 |
| 22 | Average energy consumption (Wh·km−1) | 427.6 | 260.7 | 309.4 |
| Parameter | Segment 1 | Segment 2 | Segment 3 | Segment 4 | Total | Difference % |
|---|---|---|---|---|---|---|
| Distance (km) | 1.858 | 1.425 | 1.067 | 2.016 | 6.366 | |
| Average energy for autopilot (Wh/km) | 285.5 | 314.8 | 237.0 | 302.7 | 289.4 | 11.0 |
| Average boundary energy (Wh/km) | 259.6 | 276.8 | 278.3 | 241.1 | 260.7 | 0 |
| Average energy for cycle with correction (Wh/km) | 266.0 | 267.1 | 228.4 | 224.7 | 246.9 | −5.3 |
Publisher’s Note: MDPI stays neutral with regard to jurisdictional claims in published maps and institutional affiliations. |
© 2021 by the authors. Licensee MDPI, Basel, Switzerland. This article is an open access article distributed under the terms and conditions of the Creative Commons Attribution (CC BY) license (https://creativecommons.org/licenses/by/4.0/).
Share and Cite
Komorska, I.; Puchalski, A.; Niewczas, A.; Ślęzak, M.; Szczepański, T. Adaptive Driving Cycles of EVs for Reducing Energy Consumption. Energies 2021, 14, 2592. https://doi.org/10.3390/en14092592
Komorska I, Puchalski A, Niewczas A, Ślęzak M, Szczepański T. Adaptive Driving Cycles of EVs for Reducing Energy Consumption. Energies. 2021; 14(9):2592. https://doi.org/10.3390/en14092592
Chicago/Turabian StyleKomorska, Iwona, Andrzej Puchalski, Andrzej Niewczas, Marcin Ślęzak, and Tomasz Szczepański. 2021. "Adaptive Driving Cycles of EVs for Reducing Energy Consumption" Energies 14, no. 9: 2592. https://doi.org/10.3390/en14092592
APA StyleKomorska, I., Puchalski, A., Niewczas, A., Ślęzak, M., & Szczepański, T. (2021). Adaptive Driving Cycles of EVs for Reducing Energy Consumption. Energies, 14(9), 2592. https://doi.org/10.3390/en14092592

