Next Article in Journal
Diagnostic Row Reasoning Method Based on Multiple-Valued Evaluation of Residuals and Elementary Symptoms Sequence
Next Article in Special Issue
Experimental Evaluation of Dynamic Rock Scour Protection in Morphodynamic Environments for Offshore Wind Jackets
Previous Article in Journal
Ab initio Study of Hydrogen Adsorption on Metal-Decorated Borophene-Graphene Bilayer
Previous Article in Special Issue
Impacts of Mooring-Lines Hysteresis on Dynamic Response of Spar Floating Wind Turbine
 
 
Font Type:
Arial Georgia Verdana
Font Size:
Aa Aa Aa
Line Spacing:
Column Width:
Background:
Article

A Methodology for Estimating the Position of the Engineering Bedrock for Offshore Wind Farm Seismic Demand in Taiwan

1
Department of Hydraulic and Ocean Engineering, National Cheng Kung University, Tainan 701, Taiwan
2
Taiwan Semiconductor Manufacturing Co., Ltd., Hsinchu 300, Taiwan
3
CECI Engineering Consultants, Inc., Taipei 114, Taiwan
4
Cheng Da Environment and Energy Ltd., Taipei 104, Taiwan
*
Author to whom correspondence should be addressed.
Energies 2021, 14(9), 2474; https://doi.org/10.3390/en14092474
Submission received: 20 February 2021 / Revised: 11 April 2021 / Accepted: 20 April 2021 / Published: 26 April 2021
(This article belongs to the Special Issue Foundation Systems for Offshore Wind Turbines)

Abstract

Taiwan lies in the circum-Pacific earthquake zone. The seabed soil of offshore wind farms in Taiwan is mainly composed of loose silty sand and soft, low-plasticity clay. The seismic demand for offshore wind turbines has been given by the local code. Ground-motion analysis is required to consider the site effects of the soil liquefaction potential evaluation and the foundation design of offshore wind turbines. However, the depth of the engineering bedrock for ground motion analysis is not presented in the local code. In this study, we develop a three-dimensional ground model of an offshore wind farm in the Changhua area, through use of collected in situ borehole and PS (P wave (compression) and S (shear) wave velocities) logging test data. The engineering bedrock is the sediment at the depth where the average shear wave velocity of soil within 30 m, Vsd30, is larger than 360 m/s. In this ground model, the shear wave velocity of each type of soil is quantified using the seismic empirical formulation developed in this study. The results indicate that the engineering bedrock lies at least 49.5–83 m beneath the seabed at the Changhua offshore wind farm. Based on these findings, it is recommended that drilling more than 100 m below the seabed be done to obtain shear wave velocity data for a ground response analysis of the seismic force assessment of offshore wind farm foundation designs.

1. Introduction

Taiwan lies in the circum-Pacific earthquake zone. Offshore wind farms in the western sea area are affected by earthquakes and active faults. In order to ensure the stability of the offshore wind turbine foundations, site effects and soil liquefaction must be taken into consideration in its design.
The seismic demand for offshore wind turbines is given in the local code for offshore wind farm seismic demand (CNS 15176–1) by the Bureau of Standards, Metrology, and Inspection in the Ministry of Economic Affairs [1]. Appendix A of CNS 15176–1 states that, when evaluating the offshore wind farm seismic force and the potential for soil liquefaction, a site-specific seismic hazard analysis is required.
The duration of the seismic acceleration applied to the offshore wind turbine foundation can be determined by calculating the amplified response of the seismic wave transmitted from the engineering bedrock to the seabed surface. Appendix A of CNS 15176–1 [1] suggests that the soil beneath the seabed can be treated as engineering bedrock for ground response analysis when the shear wave velocity value (Vsd30) of the 30 m soil profile reaches 360 m/s. However, the CNS standard does not present a recommended depth of engineering bedrock for offshore wind farms in Taiwan.
To perform a seismic force analysis for the offshore wind farm before a detailed foundation design is done, we need to determine the depth of the engineering bedrock, according to limited soil borehole data. In the early development stage of offshore wind farms in Taiwan, the standard penetration test (SPT test) is often used for site investigation. Ohta & Goto (1978) [2], Seed and Idriss (1981) [3], Lee (1992) [4], Dikmen (2009) [5], the Construction and Planning Agency (2011) [6], Silvia et al. (2015) [7], and others have provided recommendations for estimating the shear wave velocity of soil. Table 1 indicates the recommended soil conditions proposed by various scholars for onshore soil data, which are not the same as the range of SPT-N values available for offshore constructions.
To design onshore buildings, considering the soil characteristics of Taiwan, the Construction and Planning Agency (2011) [6] recommends calculating the shear wave velocity of soil using Equations (1) and (2):
Cohesive soil:
V s i = { 120 q u 0.36 ; N i < 2 100 N i 1 / 3 ; 2 N i 25 ,
Cohesionless soil:
V s i = 80 N i 1 / 3 ; 1 N i 50 ,
where Ni is the N-value of the ith soil layer obtained by the standard penetration test (SPT) and qu is the unconfined compression strength (kg/cm2). The empirical formula of the Construction and Planning Agency (2011) [6] applies to the calculation of shear wave velocity for cohesionless soil with N-value less than 50 and for cohesive soil with N-value less than 25.
According to the empirical formula in Table 1, the shear wave velocity of offshore wind farm #29 in the Changhua area varies with depth, as shown in Figure 1. A comparison is provided for the distribution trend of shear wave velocity with depth, calculated by the empirical formula with the experimental data of a resonant column test and the measured values of PS logging. At a depth of 5.5 m, the results obtained from the empirical formula of Dickmen (2009) [5] were close to that of the resonant column test. Meanwhile, at a depth of 9 m, the shear wave velocity calculated using the formulation suggested by Silvia et al. (2015) [7] was similar to that of the PS logging test results. At a depth of 18–40 m, the Construction and Planning Agency (2011) [6] and Lee (1992) [4] predicted the shear wave velocity as the measured values of PS logging. Seed and Idriss (1981) [3] and Dickenson (1994) [8] proposed empirical formulae specific to sand. While the range of the SPT-N value of Ohta and Goto (1978) [2] met the engineering requirements, their shear wave velocity estimation was more conservative.
Considering the difference between the application scope of the soil conditions and the analysis results proposed by various scholars to use the SPT-N value to estimate the shear wave velocity, this research compares the measured values of PS logging in an offshore wind farm in the Changhua area with the results of resonant column testing. A shear wave velocity prediction method for the soil of the offshore wind farm in Taiwan is proposed. The depth of the engineering bedrock is determined using predicted shear wave velocities. By collecting the existing borehole data of the offshore Changhua wind farm, we established a three–dimensional ground model for the depth of the engineering bedrock that can be used to analyze ground motion during an earthquake.

2. Methodology for Estimating Engineering Bedrock of Offshore Wind Farm

A ground model constructed from the data of seabed soil layers and geological structure can be applied to the basic conceptual design and detailed design of offshore wind turbine foundations. The seabed soil layering and geotechnical parameters in the ground model can be used for ground response analysis and soil liquefaction assessment.
A procedure for estimating such a ground model is presented in this section. Figure 2 shows the flowchart of the procedure, which includes four steps: In the first step, the soils of each borehole are classified by means of the Unified Soil Classification System (USCS). In the second step, the shear wave velocities of soils are estimated with the semi-empirical formulation developed based on PS logging. In the third step, the average shear wave velocities of soils within 30 m Vsd30 are calculated to determine the depth of the engineering bedrock. In the final step, the engineering bedrock is mapped to the three-dimensional ground model of the offshore wind farm. Descriptions of each step are provided in the following sections.

2.1. Classification of the Soils of Boreholes

Due to the lack of CPT (cone penetration test) data in the early stage of offshore wind farm development in Taiwan, a three-dimensional engineering geological model was established by stratifying the engineering soil obtained from the SPT (standard penetration test) borehole data. The USCS has classified soils into 15 groups, based on particle size distribution and soil plasticity. In this study, we classified soils into sandy soil (SW, SP, SM, SC), silty soil (ML, MH), and clayey soil (CL, CH), according to the USCS classification, and developed a semi-empirical formulation to estimate the shear wave velocity of the soil based on the SPT boreholes and PS logging. Soil profiles used for the establishment of the ground model mainly stratified the original borehole layers according to the soil classification for sand, silt, and clay. No organic soils were found in the offshore wind farm boreholes collected in this study.
When carrying out stratification on cohesionless soils, the fine particle content should be considered for subsequent analysis and the application of soil liquefaction potential. When classifying soil as silty sand, it should be determined if it is classified as a sandy soil according to its liquid limit and plasticity index. If layers of other types are sandwiched between successive layers of the same type of soil, the layer of soil may be regarded as thin and can generally be incorporated into the adjacent main soil type. If the layers adjacent to two boreholes with the same elevation also contain the same type of soil as a thin interlayer, the above two principles need to be compared to confirm whether the thin interlayer is layered independently.

2.2. Estimation of the Shear Wave Velocity of Soil Classes

The value of the moist unit weight γm, void ratio e, and the plastic index PI are decided from the borehole data, where the void ratio e for each depth is determined by laboratory tests. The coefficient of earth pressure at rest, K0, of cohesionless soil refers to Jaky (1944) [9], while that of cohesive soil refers to Massarsch (1979) [10], as Equations (3) and (4), respectively:
Cohesionless soil:
K 0 = 1 s i n ϕ ,
Cohesive soil:
K 0 = 0.44 + 0.42 ( P I ( % ) 100 )
We developed a formulation to estimate the shear wave using the data of borehole BH–3 shown in Figure 1. The average value of the moist unit weights γm of sand, clay, and silt were 19.49, 19.55, and 18.77 kN/m3, respectively, while the average values of the coefficient of earth pressure at rest, K0, were 0.48, 0.5, and 0.48, respectively.
With the shear wave velocity, soil density, and void ratio of each soil in Figure 1, the shear wave velocity of soils could be calculated using Equation (5), which was derived from the maximum shear modulus, G0, in Equation (6) and the semi-empirical formulation for calculating the maximum shear wave velocity suggested by the DNV (2002) [11], where ρ (kg/m3) is the density of soil (ρ = γm/g); σ 0 (kN/m2) is the average effective stress at each depth, which can be calculated according to the thickness of the soil layer and the effective unit weight; e is the void ratio; OCR is the over-consolidated ratio; and A is an empirical parameter that varies with the particle size of soil and shape of the particles. The DNV (Det Norske Veritas) (2002) [11] suggested adopting the value of A as 3000 ± 1000. The parameter k is a function of the plastic index, PI, as shown in Figure 3. The semi-empirical parameter (A) for each engineering soil can be obtained through Equation (5) by using the shear wave velocity obtained from the PS logging test (Figure 1).
V S = [ A ρ ( 3 e ) 2 1 + e σ 0 ( O C R ) k ] 0.5
G 0 = ρ V s 2
The sediments of offshore wind farms in the Changhua area are fresh washout from the Zhuoshui River. Hence, the over-consolidated ratio (OCR), was set as 1.0 in this analysis. Table 2 shows the parameter A for each soil type found in borehole BH-3. A tube with material was adopted in the PS logging test for stabilization, and the shear velocity of the soil near the seabed surface was absent. The sampling rate of the shear wave velocity in the PS logging test was 1 sample per meter. As the shear wave velocity measured at different depths of various engineering soils was not the same, the semi-empirical parameter A value corresponding to each soil presented an interval distribution as shown in Table 2.
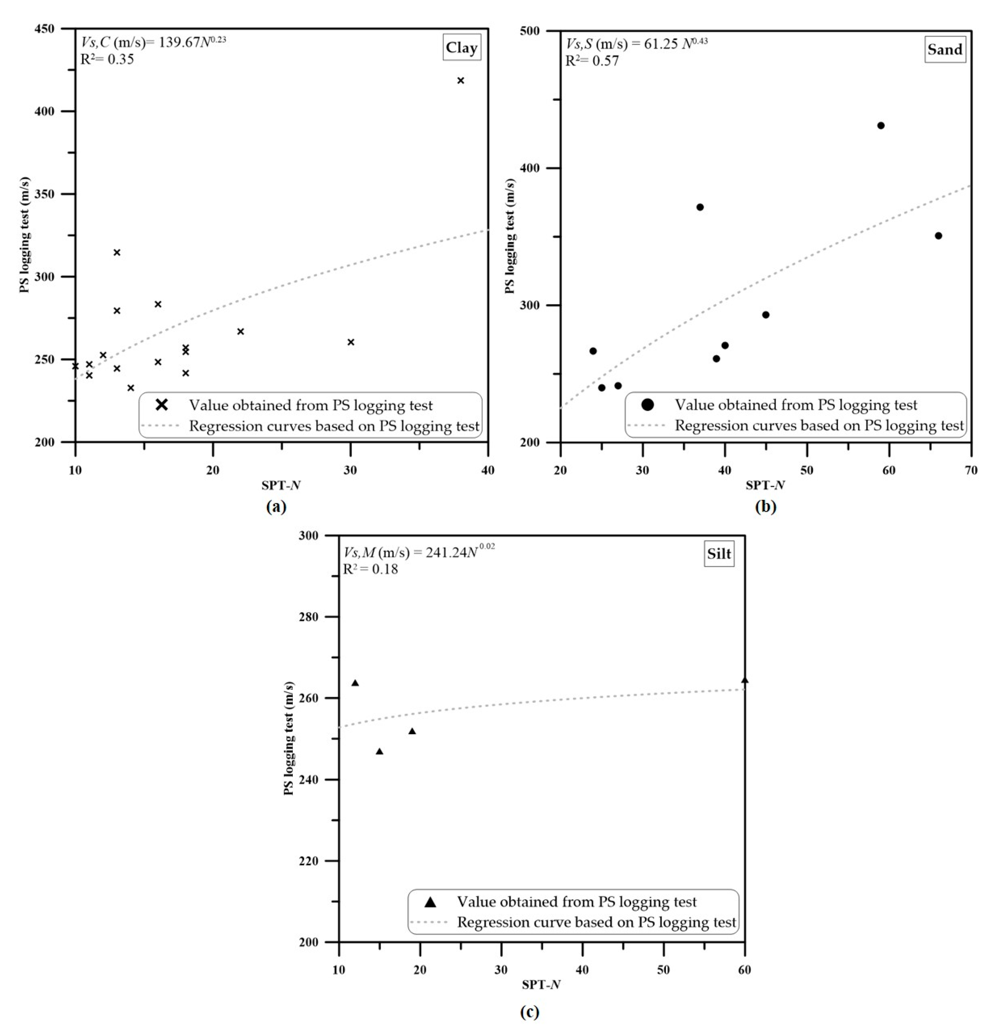
The shear wave velocity of soil and the SPT-N obtained from borehole BH-3 are shown in Figure 1. The shear wave velocity of soils can be calculated with the power formulation in Figure 4—Equations (7)–(9)—using the SPT-N presented in Figure 1, where Vs,C is the shear wave velocity of clayey soil; Vs,S is the shear wave velocity of sandy soil; and Vs,M is the shear wave velocity of silty soil.
V s , C ( m / s ) = 139.67 N 0.23
V s , S ( m / s ) = 61.25 N 0.43
V s , M ( m / s ) = 241.24 N 0.02
The profiles of shear wave velocity in borehole #29 BH-3, calculated using the semi-empirical parameters A (from the PS logging test; Table 2) are shown in Figure 5. The estimated results of Equation (5) showed good agreement with the PS logging test results. The soil shear wave velocities calculated using Equations (7)–(9) are shown as blue lines in Figure 6. The difference between the estimated value and the PS logging test results was found at a depth greater than 30 m. This difference may have come about because the SPT-N only roughly presented the effects of soil density and hardness.

2.3. Estimation of Average Shear Wave Velocity

In Appendix A of the Chinese Normal Standard (CNS) 15176-1 [1], the engineering bedrock is defined as sediment at the depth where the average shear wave velocity of soil within 30 m Vsd30 is larger than 360 m/s. The Vsd30 can be calculated from the following equation,
V s d 30 = i = 1 n d i i = 1 n d i / V s i
where di is the thickness (m) of the ith soil layer and Vsi is the average shear wave velocity of the ith soil layers. The summation of di from i = 1 to n is 30 m. Vsd30 represents the moving average shear wave velocity of soil from the seabed; for example, the shear wave velocity of soil at depth 0 can be calculated using Equation (10) for a depth from 0 to 30 m, while the shear wave velocity of soil at a depth of 1 m can be calculated using the shear wave velocity of soil from a depth of 1 to 30 m. Figure 6 shows the shear wave velocity, Vs, obtained from the PS logging test (gray line) and the average shear wave velocity, Vsd30 (black line). The linear regression of Vsd30 is presented as the dotted black line. We determined the engineering bedrock for borehole BH-3 as 63 m beneath the seabed, following the criteria suggested by CNS 15176-1 [1], where the average shear wave velocity Vsd30 was stably larger than 360 m/s.
Figure 7 shows the average shear wave velocity (Vsd30) calculated using the shear wave velocity obtained from the semi-empirical formulation; that is, by Equations (5), (7)–(9). The dotted lines are the linear regression curves of the average shear wave velocities. The depth of engineering bedrock determined by the linear regression of Vsd30 obtained from the PS logging test (dotted black line) was 75 m. The depth of bedrock estimated with the linear regression formulation of Vsd30 using the Vs calculated with Equation (5) and parameter A in Table 2 was 80 m (dotted red line). The depth of bedrock estimated with the linear regression formulation of Vsd30 using the Vs calculated with Equations (7)–(9) was 74 m (dotted blue line).
The difference between the engineering bedrock depth estimated by the semi-empirical formulation and the depth determined through the shear wave velocities obtained from the PS logging test may have come from the use of a discontinuous SPT-N sampling rate time per 1.5 m to determine the soil profile. In this study, the position of engineering bedrock for a large area is estimated and presented using a three-dimensional ground model. The estimated position of the engineering bedrock can be used for seismic demand feasibility studies in the early stage of offshore wind farm development.

2.4. Development of Three-Dimensional Ground Model and Mapping of Engineering Bedrock

A three-dimensional ground model can be used to present the depth of the engineering bedrock beneath the seabed. We constructed a ground model for an offshore wind farm in the Changhua area following the method of Lemon & Jones (2003) [13] that consisted of seven steps: (i) Defining the boundary of the ground model, (ii) preparing the engineering soil profile of each borehole used in the ground model, (iii) determining the number for the interface between two soil layers in each borehole; (iv) establishing a vertical two-dimensional section between boreholes, (v) generating irregular triangular mesh planes at various soil levels, (vi) generating the three-dimensional ground model, and (vii) determining the soil parameters. In this study, the three-dimensional ground model was constructed using the commercial geographic information system analysis software ArcGIS and GMS (Groundwater Modeling System).
Soil layering based on borehole data does not include complete information about the deposition sequence of each layer. Therefore, before building a three-dimensional ground model, it was necessary to compare the sequence of the soil layer arrangement of the engineering soil for each borehole, which is completed in step (ii) to assign unified soil layer numbers (horizon IDs). We used the horizon method proposed by Lemon and Jones (2003) [13] to construct a three-dimensional ground model for the offshore wind farm. The layer number of each columnar soil layer was given in the order of soil layer types, in order to reflect the characteristics of the soil deposition order. Then, we established a two-dimensional vertical soil profile of each borehole, according to the soil layer number and soil type. Considering that the borehole samples obtained in this study were rare, the inverse distance weighting (IDW) method was used to generate irregular triangular grids at each level.
Next, the commercial software GMS was used to generate a three-dimensional ground model of solid elements from the irregular triangular grid plane and the two-dimensional soil profile. The depth of shear wave velocity for each borehole was mapped onto the three-dimensional ground model. After the construction of the model was completed, a two-dimensional vertical section could be cut at any position to understand better the position of the engineering bedrock.

3. Case Study Application for Estimating the Engineering Bedrock of an Offshore Wind Farm in Changhua Area

3.1. Summary of SPT Test Results in Changhua Area

We collected a total of 23 SPT borehole data sets published for the Changhua area, including 16 from the Taipower offshore wind farm (TPC), 3 from Fuhai offshore wind farm (Taiwan Generations Corp., TGC), and 4 from offshore wind farm #29. Among these, 5 sets of data from the Taipower offshore wind farm were removed in the subsequent shear wave velocity calculation due to a lack of relevant parameters. The distribution of boreholes is shown in Figure 8. The depth of each borehole ranged from 0 to 120 m. According to the unified soil classification system (USCS), the soil in Changhua area is mainly composed of silty sand (SM), low-plasticity clay (CL), and low-plasticity silt (ML) with thin layers of poorly graded sand with silt (SP–ML) and silty clay (CL–ML). The distribution of soil profile is shown in Appendix A, with SPT-N values to the left of each soil profile.
By reclassifying the unified soil classification profiles in Figure 9, according to the aforementioned method, it was possible to determine the shear wave velocity of each soil layer. The moist unit weight (γm) and void ratio (e), which were computed based on water content (w) and specific gravity (Gs) obtained from borehole data, are listed next to each soil profile.

3.2. Depth of Engineering Bedrock of Each SPT Borehole in Changhua Area

We collected SPT test data from 18 boreholes from offshore wind farms in the Changhua area and converted the data to the soil stratifications in Figure 9. By giving the void ratio (e) and moist unit weight (γm) obtained from in situ testing, the shear wave velocity profile was calculated using the A parameters given in Table 2. Then, we calculated the average shear wave velocity, Vsd30, of each borehole in Appendix A. To estimate the depth of the engineering bedrock, we used linear regression analysis to find the corresponding depth where the Vsd30 stability was greater than 360 m/s. The estimated depth of the engineering bedrock for each borehole is presented in Figure 10. When the calculated average shear wave velocity Vsd30 did not reach the required wave velocity threshold of the engineering bedrock, the depth of the engineering bedrock obtained by linear regression exceeded the borehole depth, as shown in Table 3.

3.3. Engineering Bedrock Distribution in Changhua Area

We developed a ground model using the 18 boreholes in the offshore area of Changhua (given in Appendix A). In Figure 11, we present the boreholes TPC BH-1, TPC BH-2, TPC BH-3, TPC BH-4, TPC BH-5, TGC tower, TGC OWT-1, and TGC OWT-2, from north to south (dotted yellow line) and the two-dimensional soil profiles of the offshore wind farms. The area of the ground model is given in Figure 8, the length of which was 41 km in the north–south direction, while that in the east–west direction was 13 km. Figure 11 shows the depth of the engineering bedrock in the Changhua area, as estimated by Equation (5) using the parameter A in Table 2 (black line), which varied from 49.5 to 83 m. The depth of the engineering bedrock estimated by using the average shear wave velocities calculated by Equations (7)–(9) is presented as a red line in Figure 11 and varied from 44 to 150 m. The estimated depth of the engineering bedrock mainly depended on the accuracy of the estimated soil shear wave velocity. The depth of engineering bedrock obtained by the linear regression (red line) may exceed the borehole depth, as shown in Figure 11, for which no soil information can be provided.

4. Conclusions

In this study, we presented a procedure to estimate the position of the engineering bedrock for use in seismic demand feasibility studies at the early stage of offshore wind farm development. This procedure included four steps: classifying the soils of each borehole, estimating the shear wave velocities of soils using a semi-empirical formulation, determining the depth of the engineering bedrock using the average shear wave velocities of soils, and mapping the position of the engineering bedrock on a three-dimensional ground model of the offshore wind farm.
A three-dimensional ground model of an offshore wind farm in the Changhua Area was developed. The depth of the engineering bedrock for this offshore wind farm was greater than 45 m. The estimated depth of the engineering bedrock mainly depended on the accuracy of the estimated soil shear wave velocity. It was found that the position of the engineering bedrock may be as deep as 150 m beneath the seabed. Therefore, in future geological surveys of offshore seabed soil in the Changhua area, drilling deeper than 100 m below the seabed should be considered to obtain sufficient soil shear wave velocity data to provide a valid application of ground-response analyses during seismic force assessment in offshore wind farm design.
In this study, we used very limited in situ test results to formulate the relationship between soil shear wave velocity and SPT-N. A more reliable formulation may be derived when more test data are available. The reader should keep in mind that this study provided a methodology to determine the location of the engineering bedrock; however, the formulations for estimating the shear wave velocity need to be upgraded for the optimal seismic design of offshore wind turbine foundations.

Author Contributions

Conceptualization, Y.-S.K.; Data curation, H.-T.H. and Y.-C.L.; Formal analysis, T.-L.W.; Funding acquisition, Y.-S.K.; Investigation, S.-C.C.; Methodology, Y.-S.K. and T.-L.W.; Project administration, Y.-S.K.; Resources, Y.-S.K.; Software, T.-L.W., Y.-H.T. and Y.-T.W.; Supervision, Y.-S.K.; Validation, H.-W.C. and Y.-J.C.; Visualization, Y.-S.K. and T.-L.W.; Writing—original draft, Y.-S.K. and T.-L.W.; Writing—review & editing, Y.-S.K. and Y.-H.T. All authors have read and agreed to the published version of the manuscript.

Funding

The research was supported by the grants “Infrastructure Program of Offshore Wind Farm Zonal Development (PG10602-0177 and PG10702-0220)”, Bureau of Energy and “Evaluation of geotechnical and geo-environmental site investigations for offshore windfarms (MOST105-ET-E006-002-ET)”, the Ministry of Science and Technology of Taiwan, and Taiwan power company.

Institutional Review Board Statement

Not applicable.

Informed Consent Statement

Not applicable.

Data Availability Statement

Not applicable.

Conflicts of Interest

The authors declare no conflict of interest.

Appendix A

Figure A1. SPT boreholes used in this study.
Figure A1. SPT boreholes used in this study.
Energies 14 02474 g0a1

References

  1. Bureau of Standards, Metrology and Inspection. Standard of Wind Turbines, Part 1: Design Requirements (CNS 15176-1); Bureau of Standards, Metrology and Inspection: Taipei, Taiwan, 2018.
  2. Ohta, Y.; Goto, N. Empirical shear wave velocity equations in terms of characteristic soil indexes. Earthq. Eng. Struct. Dyn. 1978, 6, 167–187. [Google Scholar] [CrossRef]
  3. Seed, H.B.; Idriss, I.M. Evaluation of Liquefaction Potential Sand Deposits Based on Observation of Performance in Previous Earthquakes; ASCE National Convention: St. Louis, MO, USA, 1981; pp. 481–544. [Google Scholar]
  4. Lee, S.H.H. Analysis of the multicollinearity of regression equations of shear wave velocities. Soils Found. 1992, 32, 205–214. [Google Scholar] [CrossRef]
  5. Dikmen, Ü. Statistical correlations of shear wave velocity and penetration resistance for soils. J. Geophys. Eng. 2009, 6, 61–72. [Google Scholar] [CrossRef]
  6. Construction and Planning Agency (CPA). Seismic Design Specifications and Commentary of Buildings; Construction and Planning Agency: Taipei, Taiwan, 2011.
  7. Fabbrocino, S.; Lanzano, G.; Forte, G.; de Magistris, F.S.; Fabbrocino, G. SPT blow count vs. shear wave velocity relationship in the structurally complex formations of the Molise Region (Italy). Eng. Geol. 2015, 187, 84–97. [Google Scholar] [CrossRef]
  8. Dickenson, S.E. Dynamic Response of Soft and Deep Cohesive Soils during the Loma Prieta Earthquake of October 17, 1989. Ph.D. Thesis, University of California, Berkeley, CA, USA, 1994. [Google Scholar]
  9. Jaky, J. The coefficient of earth pressure at rest. J. Soc. Hung. Archit. Eng. 1944, 78, 355–358. [Google Scholar]
  10. Massarsch, K. Lateral earth pressure in normally consolidated clay. In Design Parameters in Geotechnical Engineering, Proceedings of the 7 European Conference of Soil Mechanics and Foundation Engineering, Brighton, UK, 1979; pp. 245–249. Available online: https://www.researchgate.net/publication/322556954_Lateral_earth_pressure_in_normally_consolidated_clay (accessed on 10 March 2021).
  11. DNV/Risø. Guidelines for Design of Wind Turbines, 2nd ed.; Det Norske Veritas and Risø National Laboratory: Copenhagen, Denmark, 2002.
  12. Seed, H.B.; Idriss, I.M. Soil Moduli and Damping Factors for Dynamic Response Aanalysis; Rep. No. EERC 70-10; Earthquake Engineering Research Centre: Berkeley, CA, USA, 1970. [Google Scholar]
  13. Lemon, A.M.; Jones, N.L. Building solid models from boreholes and user-defined cross-sections. Comput. Geosci. 2003, 29, 547–555. [Google Scholar] [CrossRef]
Figure 1. Shear wave velocity of borehole BH-3 at #29 offshore wind farm (e is the void ratio and γm is the moist unit weight).
Figure 1. Shear wave velocity of borehole BH-3 at #29 offshore wind farm (e is the void ratio and γm is the moist unit weight).
Energies 14 02474 g001
Figure 2. Flowchart of estimating the engineering bedrock for an offshore wind farm.
Figure 2. Flowchart of estimating the engineering bedrock for an offshore wind farm.
Energies 14 02474 g002
Figure 3. Relationship between the parameter k and plasticity index PI of the soil [Adapted from Seed & Idriss (1970) [12]].
Figure 3. Relationship between the parameter k and plasticity index PI of the soil [Adapted from Seed & Idriss (1970) [12]].
Energies 14 02474 g003
Figure 4. Relationship between the shear wave velocity and SPT-N obtained in the field test of borehole BH-3 in #29 offshore wind farm (a) Clay, (b) sand, (c) silt.
Figure 4. Relationship between the shear wave velocity and SPT-N obtained in the field test of borehole BH-3 in #29 offshore wind farm (a) Clay, (b) sand, (c) silt.
Energies 14 02474 g004
Figure 5. The shear wave velocities estimated using Equations (5), (7)–(9).
Figure 5. The shear wave velocities estimated using Equations (5), (7)–(9).
Energies 14 02474 g005
Figure 6. Position of engineering bedrock at borehole BH-3 in #29 offshore wind farm.
Figure 6. Position of engineering bedrock at borehole BH-3 in #29 offshore wind farm.
Energies 14 02474 g006
Figure 7. Position of engineering bedrock determined from the linear regression of Vsd30 calculated using the results of the PS logging test, Equation (5), and Equations (7)–(9).
Figure 7. Position of engineering bedrock determined from the linear regression of Vsd30 calculated using the results of the PS logging test, Equation (5), and Equations (7)–(9).
Energies 14 02474 g007
Figure 8. Distribution of boreholes in SPT test of offshore wind farm in the Changhua area.
Figure 8. Distribution of boreholes in SPT test of offshore wind farm in the Changhua area.
Energies 14 02474 g008
Figure 9. Soil profile for each borehole. TGC, Fuhai offshore wind farm (Taiwan Generations Corp.); TPC, Taipower offshore wind farm.
Figure 9. Soil profile for each borehole. TGC, Fuhai offshore wind farm (Taiwan Generations Corp.); TPC, Taipower offshore wind farm.
Energies 14 02474 g009
Figure 10. Engineering bedrock distribution calculation for four boreholes (TPC).
Figure 10. Engineering bedrock distribution calculation for four boreholes (TPC).
Energies 14 02474 g010
Figure 11. Position of the engineering bedrock in the developed three-dimensional ground model.
Figure 11. Position of the engineering bedrock in the developed three-dimensional ground model.
Energies 14 02474 g011
Table 1. Empirical formulae for wave velocity and SPT-N values proposed in previous research [2,3,4,5,6,7,8].
Table 1. Empirical formulae for wave velocity and SPT-N values proposed in previous research [2,3,4,5,6,7,8].
AreaResearcher(s)Vs (m/s)Range of SPT-N
SandClaySilt
JapanOhta and Goto (1978)85.35 N0.3480 < N < 50
USASeed and Idriss (1981)61.4 N0.50 < N < 50
TaiwanLee (1990)57 N0.49114 N0.31105.64 N0.320 < N < 50
USADickenson (1994)88.4 (N + 1)0.35 < N <90
TurkeyDikmen (2009)73 N0.3344 N0.4860 N0.360 < N < 50
TaiwanConstruction
and Planning Agency (2011)
80 N1/3100 N1/30 < N < 50
ItalySilvia et al. (2015)149.3 N0.192110.5 N0.2520 < N < 60
Table 2. The semi-empirical A value calculated using the shear wave velocity obtained from the PS logging test of BH3 borehole.
Table 2. The semi-empirical A value calculated using the shear wave velocity obtained from the PS logging test of BH3 borehole.
Engineering Soil TypeSample No.A (PS Logging)Standard Deviation
Sand93203996.2
Silt427731561.5
Clay163813221.2
Table 3. Distribution of engineering bedrock depths calculated by two methods.
Table 3. Distribution of engineering bedrock depths calculated by two methods.
BoreholeVsd30 Calculated with Vs in Equation (5)Vsd30 Calculated with Vs in Equations (7)–(9)
TPC BH-149.5111
TPC BH-255.65107
TPC BH-367.589
TPC BH-464.5117
TPC BH-557130
TPC BH-669108
TPC BH-769130
TPC BH-866100
TPC BH-951.25125
TORI BH-158.567.5
TORI BH-255.569
TGC OWT-164.5126
TGC OWT-283140
TGC met mast60150
#29 BH-15089
#29 BH-25968
#29 BH-38074
#29 BH-56244
Publisher’s Note: MDPI stays neutral with regard to jurisdictional claims in published maps and institutional affiliations.

Share and Cite

MDPI and ACS Style

Kuo, Y.-S.; Weng, T.-L.; Hsu, H.-T.; Chang, H.-W.; Lin, Y.-C.; Chang, S.-C.; Chuang, Y.-J.; Tseng, Y.-H.; Wong, Y.-T. A Methodology for Estimating the Position of the Engineering Bedrock for Offshore Wind Farm Seismic Demand in Taiwan. Energies 2021, 14, 2474. https://doi.org/10.3390/en14092474

AMA Style

Kuo Y-S, Weng T-L, Hsu H-T, Chang H-W, Lin Y-C, Chang S-C, Chuang Y-J, Tseng Y-H, Wong Y-T. A Methodology for Estimating the Position of the Engineering Bedrock for Offshore Wind Farm Seismic Demand in Taiwan. Energies. 2021; 14(9):2474. https://doi.org/10.3390/en14092474

Chicago/Turabian Style

Kuo, Yu-Shu, Tzu-Ling Weng, Hui-Ting Hsu, Hsing-Wei Chang, Yun-Chen Lin, Shang-Chun Chang, Ya-Jhu Chuang, Yu-Hsiu Tseng, and Yih-Ting Wong. 2021. "A Methodology for Estimating the Position of the Engineering Bedrock for Offshore Wind Farm Seismic Demand in Taiwan" Energies 14, no. 9: 2474. https://doi.org/10.3390/en14092474

APA Style

Kuo, Y.-S., Weng, T.-L., Hsu, H.-T., Chang, H.-W., Lin, Y.-C., Chang, S.-C., Chuang, Y.-J., Tseng, Y.-H., & Wong, Y.-T. (2021). A Methodology for Estimating the Position of the Engineering Bedrock for Offshore Wind Farm Seismic Demand in Taiwan. Energies, 14(9), 2474. https://doi.org/10.3390/en14092474

Note that from the first issue of 2016, this journal uses article numbers instead of page numbers. See further details here.

Article Metrics

Back to TopTop