Experimental Procedures & First Results of an Innovative Solid Oxide Fuel Cell Test Rig: Parametric Analysis and Stability Test
Abstract
1. Introduction
1.1. Solid Oxide Fuel Cells—Brief Technology Overview
1.2. Solid Oxide Fuel Cells—Laboratory Scale Considerations
2. Materials and Methods
2.1. Experimental Setup & Procedures
2.2. Experimental Campaign Design
- During the start-up, the temperature is ramped up at a 1 °C/min rate until reaching the desired temperature (to reach 750 °C, approximately 12 h are required) while purging anode & cathode with inert gases (N2 100 Nml/min and air 100 Nml/min for anode and cathode respectively) for the whole duration of the temperature ramp; the furnace is left to stabilize until the desired temperature is constant;
- The anode reduction phase (once reached temperature stabilization) is obtained by initially flowing from 1 h a small amount of hydrogen in the total anode flow (H2 = 10%vol = 15 Nml/min; N2 = 90% = 135 Nml/min) in order to initiate the electro-oxidation reaction at the anode side. Successively, standard conditions (50%/50% H2/N2) are reached varying both gases with incremental steps of ±5 Nml/min each 5 min; the cathode air flow rate is increased to 250 Nml/min to operate under over-stoichiometric air ratio conditions;
- Once the cell has stabilized for at least 1 h in standard conditions, desired conditions can be set. Related to each change of condition a stabilization time of 1 h is observed in order to guarantee steady state operation.
2.3. Parameter Calculation—Utilization Factor and Area Specific Resistance
3. Results & Discussion
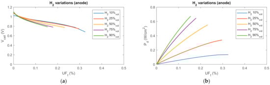
3.1. Parametric Analysis
3.2. Short-Term Stability Test
4. Conclusions
Supplementary Materials
Author Contributions
Funding
Institutional Review Board Statement
Informed Consent Statement
Data Availability Statement
Acknowledgments
Conflicts of Interest
References
- International Energy Agency. The future of fuel: The future of hydrogen. Report 2019, 2012, 12–15. [Google Scholar] [CrossRef]
- FCH-JU Fuel Cell & Hydrogen Joint Undertaking; Hydrogen Roadmap Europe: Brussels, Belgium, 2019. [CrossRef]
- Buffo, G.; Marocco, P.; Ferrero, D.; Lanzini, A. Power-to-X and Power-to-Power Routes. Chapter 15: Solar Hydrogen Production; Elsevier Inc.: Amsterdam, The Netherlands, 2019. [Google Scholar] [CrossRef]
- Felseghi, R.A.; Carcadea, E.; Raboaca, M.S.; Trufin, C.N.; Filote, C. Hydrogen fuel cell technology for the sustainable future of stationary applications. Energies 2019, 12, 4593. [Google Scholar] [CrossRef]
- Barbir, F. Fuel Cell Applications—Ch. 10. In PEM Fuel Cells, 2nd ed.; Elsevier: Amsterdam, The Netherlands, 2013. [Google Scholar] [CrossRef]
- FCH-JU Fuel Cell & Hydrogen Joint Undertaking. Fuel Cells and Hydrogen for Green Energy in European Cities and Regions. 2018. Available online: https://www.fch.europa.eu/sites/default/files/181123_FCHJU_Regions_Cities_Final_Report_FINAL.pdf (accessed on 6 April 2021).
- Staffell, I.; Scamman, D.; Abad, A.V.; Balcombe, P.; Dodds, P.E.; Ekins, P.; Shah, N.; Ward, K.R. The role of hydrogen and fuel cells in the global energy system. Energy Environ. Sci. 2019, 12, 463–491. [Google Scholar] [CrossRef]
- Dincer, I.; Rosen, M.A. Chapter 18—Exergy Analysis of Fuel Cell Systems. Exergy Energy Environ. Sustain. Dev. 2013, 363–382. [Google Scholar] [CrossRef]
- Melideo, D.; Ortiz-Cebolla, R.; Weidner, E. Life Cycle Assessment of Hydrogen and Fuel Cell Technologies; JCR Joint Research Centre: Brussels, Belgium, 2020. [Google Scholar]
- McPhail, S.J.; Conti, B.; Kiviaho, J. The Yellow Pages of SOFC Technology—International Status of SOFC Deployment; VTT Technical Research Centre of Finland Ltd.: Espoo, Finland, 2017. [Google Scholar]
- Mcphail, S.J.; Aarva, A.; Devianto, H.; Bove, R.; Moreno, A. SOFC and MCFC: Commonalities and opportunities for integrated research. Int. J. Hydrog. Energy 2010, 36, 10337–10345. [Google Scholar] [CrossRef]
- Steilen, M.; Jörissen, L. Hydrogen Conversion into Electricity and Thermal Energy by Fuel Cells: Use of H2-Systems and Batteries. Electrochem. Energy Storage Renew. Sources Grid Balanc. 2015, 143–158. [Google Scholar] [CrossRef]
- U.S. Department of Energy. Fuel Cells Factsheet; U.S. Department of Energy: Washington, DC, USA, 2015; pp. 23–54. [CrossRef]
- Pachauri, R.K.; Chauhan, Y.K. A study, analysis and power management schemes for fuel cells. Renew. Sustain. Energy Rev. 2015, 43, 1301–1319. [Google Scholar] [CrossRef]
- Kotowicz, J.; Węcel, D.; Jurczyk, M. Analysis of component operation in power-to-gas-to-power installations. Appl. Energy 2018, 216, 45–59. [Google Scholar] [CrossRef]
- Arias, J. Hydrogen and Fuel Cells in Japan; EU-Japan Centre for Industrial Cooperation: Tokyo, Japan, 2019; pp. 1–145. [Google Scholar]
- Cassir, M.; Jones, D.; Ringuedé, A.; Lair, V. Electrochemical devices for energy: Fuel cells and electrolytic cells. In Handbook of Membrane Reactors; Woodhead Publishing: Sawston, UK, 2013; Volume 2, pp. 553–606. [Google Scholar] [CrossRef]
- U.S. Department of Energy. Fuel Cell Handbook, 7th ed.; U.S. Department of Energy: Washington, DC, USA, 2004. [CrossRef]
- Baharudin, L.; Watson, M.J. Hydrogen applications and research activities in its production routes through catalytic hydrocarbon conversion. Rev. Chem. Eng. 2017, 34, 43–72. [Google Scholar] [CrossRef]
- Pumiglia, D.; Vaccaro, S.; Masi, A.; McPhail, S.J.; Falconieri, M.; Gagliardi, S.; Della Seta, L.; Carlini, M. Aggravated test of Intermediate temperature solid oxide fuel cells fed with tar-contaminated syngas. J. Power Sources 2017, 340, 150–159. [Google Scholar] [CrossRef]
- Bocci, E.; Di Carlo, A.; McPhail, S.; Gallucci, K.; Foscolo, P.; Moneti, M.; Villarini, M.; Carlini, M. Biomass to fuel cells state of the art: A review of the most innovative technology solutions. Int. J. Hydrog. Energy 2014, 39, 21876–21895. [Google Scholar] [CrossRef]
- Bocci, E.; Zotto, L.; Del Ferrario, A.M.; Marcantonio, V.; Di Giuliano, A.; Savuto, E.; Barisano, D.; McPhail, S.; Della Pietra, M. First Results of the H2020-LC-SC3-RES-11 Blaze Project: Biomass Low Cost Advanced Zero Emission Small-to-Medium Scale Integrated Gasifier Fuel Cell Combined Heat and Power Plant. In Proceedings of the 8th European Fuel Cell Technology and Applications Piero Lunghi Conference EFC19, Naples, Italy, 9–11 December 2019. [Google Scholar]
- Aravind, P.; Cavalli, A.; Patel, H.C.; Recalde, M.; Saadabadi, A.; Tabish, A.; Botta, G.; Tattai, A.T.; Teodoru, A.; Hajimolana, Y.; et al. Opportunities and Challenges in Using SOFCs in Waste to Energy Systems. ECS Trans. 2017, 78, 209–218. [Google Scholar] [CrossRef]
- Bertoldi, M.; Bucheli, O.F.; Ravagni, A. Development, Manufacturing and Deployment of SOFC-Based Products at SOLIDpower. ECS Trans. 2017, 78, 117–123. [Google Scholar] [CrossRef]
- Kromp, A. Model-Based Interpretation of the Performance and Degradation of Reformate Fueled Solid Oxide Fuel Cells; KIT Scientific Publishing: Karlsruhe, Germany, 2013. [Google Scholar] [CrossRef]
- Dwivedi, S. Solid oxide fuel cell: Materials for anode, cathode and electrolyte. Int. J. Hydrog. Energy 2020, 45, 23988–24013. [Google Scholar] [CrossRef]
- Prakash, B.S.; Kumar, S.S.; Aruna, S. Properties and development of Ni/YSZ as an anode material in solid oxide fuel cell: A review. Renew. Sustain. Energy Rev. 2014, 36, 149–179. [Google Scholar] [CrossRef]
- Khan, M.Z.; Mehran, M.T.; Song, R.-H.; Lee, J.-W.; Lee, S.-B.; Lim, T.-H.; Park, S.-J. Effect of GDC interlayer thickness on durability of solid oxide fuel cell cathode. Ceram. Int. 2016, 42, 6978–6984. [Google Scholar] [CrossRef]
- Railsback, J.; Choi, S.H.; Barnett, S.A. Effectiveness of dense Gd-doped ceria barrier layers for (La,Sr)(Co,Fe)O3 cathodes on Yttria-stabilized zirconia electrolytes. Solid State Ionics 2019, 335, 74–81. [Google Scholar] [CrossRef]
- Kim, S.J.; Choi, G.M. Stability of LSCF electrode with GDC interlayer in YSZ-based solid oxide electrolysis cell. Solid State Ionics 2014, 262, 303–306. [Google Scholar] [CrossRef]
- Silva-Mosqueda, D.M.; Elizalde-Blancas, F.; Pumiglia, D.; Santoni, F.; Boigues-Muñoz, C.; McPhail, S.J. Intermediate temperature solid oxide fuel cell under internal reforming: Critical operating conditions, associated problems and their impact on the performance. Appl. Energy 2019, 235, 625–640. [Google Scholar] [CrossRef]
- Vivas, F.J.; Heras, A.D.L.; Segura, F.; Andújar, J.M. Cell voltage monitoring All-in-One. A new low cost solution to perform degradation analysis on air-cooled polymer electrolyte fuel cells. Int. J. Hydrog. Energy 2019, 44, 12842–12856. [Google Scholar] [CrossRef]
- Steinberger-Wilckens, R. Solid Oxide Fuel Cells. In Fuel Cells Waste-to-Energy Chain; McPhail, S.J., Ed.; Springer: Berlin/Heidelberg, Germany, 2012; pp. 109–122. [Google Scholar] [CrossRef]
- Margalef, P.; Brown, T.; Brouwer, J.; Samuelsen, S. Conceptual design and configuration performance analyses of polygenerating high temperature fuel cells. Int. J. Hydrog. Energy 2011, 36, 10044–10056. [Google Scholar] [CrossRef]
- Marangio, F.; Santarelli, M.; Cali, M. Theoretical model and experimental analysis of a high pressure PEM water electrolyser for hydrogen production. Int. J. Hydrog. Energy 2009, 34, 1143–1158. [Google Scholar] [CrossRef]
- Yahya, A.; Ferrero, D.; Dhahri, H.; Leone, P.; Slimi, K.; Santarelli, M. Electrochemical performance of solid oxide fuel cell: Experimental study and calibrated model. Energy 2018, 142, 932–943. [Google Scholar] [CrossRef]
- Boigues-Muñoz, C.; Pumiglia, D.; McPhail, S.J.; Santori, G.; Montinaro, D.; Comodi, G.; Carlini, M.; Polonara, F. More accurate macro-models of solid oxide fuel cells through electrochemical and microstructural parameter estimation—Part II: Parameter estimation. J. Power Sources 2015, 286, 321–329. [Google Scholar] [CrossRef]
- Fan, L.; Zhang, G.; Jiao, K. Characteristics of PEMFC operating at high current density with low external humidification. Energy Convers. Manag. 2017, 150, 763–774. [Google Scholar] [CrossRef]
- Steinberger, M.; Geiling, J.; Oechsner, R.; Frey, L. Anode recirculation and purge strategies for PEM fuel cell operation with diluted hydrogen feed gas. Appl. Energy 2018, 232, 572–582. [Google Scholar] [CrossRef]
- Muñoz, C.B.; Pumiglia, D.; McPhail, S.J.; Montinaro, D.; Comodi, G.; Santori, G.; Carlini, M.; Polonara, F. More accurate macro-models of solid oxide fuel cells through electrochemical and microstructural parameter estimation—Part I: Experimentation. J. Power Sources 2015, 294, 658–668. [Google Scholar] [CrossRef]
- Della Pietra, M.; McPhail, S.; Prabhakar, S.; Desideri, U.; Nam, S.; Cigolotti, V. Accelerated test for MCFC button cells: First findings. Int. J. Hydrog. Energy 2016, 41, 18807–18814. [Google Scholar] [CrossRef]
- Thambiraj, N.; Waernhus, I.; Suciu, C.; Vik, A.; Hoffmann, A.C. Single-Cell Tests to Explore the Reliability of Sofc Installations Operating Offshore. Energies 2020, 13, 1624. [Google Scholar] [CrossRef]
- Weil, K.S. The state-of-the-art in sealing technology for solid oxide fuel cells. JOM 2006, 58, 37–44. [Google Scholar] [CrossRef]
- Skrzypkiewicz, M. Setup of a Test Bench and Testing the Single Solid Oxide Fuel Cell at Various Temperatures. Ph.D. Thesis, University of Akureyri, Akureyri, Island, 2009; p. 61. [Google Scholar]
- EERA European Energy Research Alliance. Key Performance Indicators (KPIs) for FCH Research and Innovation, 2020–2030; EERA European Energy Research Alliance: Brussels, Belgium, 2020. [Google Scholar]
- Pan, J.; Yang, J.; Yan, D.; Pu, J.; Chi, B.; Li, J. Effect of thermal cycling on durability of a solid oxide fuel cell stack with external manifold structure. Int. J. Hydrog. Energy 2020, 45, 17927–17934. [Google Scholar] [CrossRef]
- Chino Corporation. Fuel Cell Holder SOFC 2021:2–4. Available online: https://www.directindustry.com/prod/chino-corporation/product-14570-1689368.html (accessed on 1 February 2021).
- U.S. Fuel Cell Council. Introduction to Solid Oxide Fuel Cells Button Cell Testing; U.S. Fuel Cell Council: Washington, DC, USA, 2007. [Google Scholar] [CrossRef]
- SolidPower. BlueGEN Technology 2021. Available online: https://www.solidpower.com/en/bluegen-technology2/ (accessed on 2 January 2021).
- Hauch, A. Solid Oxide Electrolysis Cells—Performance and Durability. Ph.D. Thesis, Technical University of Denmark, Roskilde, Denmark, October 2007. [Google Scholar]
- Patcharavorachot, Y.; Arpornwichanop, A. Investigation of a Proton-Conducting SOFC with Internal Autothermal Reforming of Methane; Elsevier, B.V.: Amsterdam, The Netherlands, 2012; Volume 30. [Google Scholar] [CrossRef]
- Chnani, M.; Péra, M.; Glises, R.; Kauffmann, J.M. Macroscopic Model of Solid Oxide Fuel Cell Stack for Integrating in a Generator Simulation. In Proceedings of the 7th European SOFC Forum, Lucerne, Switzerland, 29 June–2 July 2006. HAL Id: Hal-00582361 2011. [Google Scholar]
- Joint Research Centre, Institute for Energy Petten. Testing the Voltage and Power as Function of Current Density: Polarisation Curve for a SOFC Single Cell; Test Module TM SOFC M01; JRC Technical Reports; Joint Research Centre, Institute for Energy Petten: Petten, The Netherlands, 2010. [Google Scholar]
- Endurance Project. Handbook of Test Procedures and Protocols Project Endurance Handbook of Test. Available online: http://www.durablepower.eu/images/downloads/hoe/ENDURANCE-Handbook-of-Test-Procedures-and-Protocols.pdf (accessed on 6 April 2021).
- Yousefkhani, M.B.; Ghadamian, H.; Daneshvar, K.; Alizadeh, N.; Troconis, B.C.R. Investigation of the Fuel Utilization Factor in PEM Fuel Cell Considering the Effect of Relative Humidity at the Cathode. Energies 2020, 13, 6117. [Google Scholar] [CrossRef]
- Garcia, P.; Fernandez, L.M.; Garcia, C.A.; Jurado, F. Comparative Study of PEM Fuel Cell Models for Integration in Propulsion Systems of Urban Public Transport. Fuel Cells 2010, 10, 1024–1039. [Google Scholar] [CrossRef]
- Zhu, Y.; Cai, W.; Li, Y.; Wen, C. Anode gas recirculation behavior of a fuel ejector in hybrid solid oxide fuel cell systems: Performance evaluation in three operational modes. J. Power Sources 2008, 185, 1122–1130. [Google Scholar] [CrossRef]
- Liso, V.; Nielsen, M.P.; Kær, S.K. Influence of anodic gas recirculation on solid oxide fuel cells in a micro combined heat and power system. Sustain. Energy Technol. Assess. 2014, 8, 99–108. [Google Scholar] [CrossRef]
- Nakajima, H. Electrochemical Impedance Spectroscopy Study of the Mass Transfer in an Anode-Supported Microtubular Solid Oxide Fuel Cell; Mass Transfer Advanced Aspects; INTECH Open: London, UK, 2011; Available online: www.intechopen.com (accessed on 6 April 2021).
- Jia, J.; Abudula, A.; Wei, L.; Shi, Y. Performance comparison of three solid oxide fuel cell power systems. Int. J. Energy Res. 2013, 37, 1821–1830. [Google Scholar] [CrossRef]
- Lang, M.; Bohn, C.; Couturier, K.; Sun, X.; McPhail, S.J.; Malkow, T.; Pilenga, A.; Fu, Q.; Liu, Q. Electrochemical Quality Assurance of Solid Oxide Electrolyser (SOEC) Stacks. J. Electrochem. Soc. 2019, 166, F1180–F1189. [Google Scholar] [CrossRef]
- Cavalli, A.; Kunze, M.; Aravind, P. Cross-influence of toluene as tar model compound and HCl on Solid Oxide Fuel Cell anodes in Integrated Biomass Gasifier SOFC Systems. Appl. Energy 2018, 231, 1–11. [Google Scholar] [CrossRef]
- Cavalli, A.; Bernardini, R.; Del Carlo, T.; Aravind, P.V. Effect of H 2 S and HCl on solid oxide fuel cells fed with simulated biosyngas containing primary tar. Energy Sci. Eng. 2019, 7, 2456–2468. [Google Scholar] [CrossRef]
- Barelli, L.; Bidini, G.; Cinti, G.; Gallorini, F.; Pöniz, M. SOFC stack coupled with dry reforming. Appl. Energy 2017, 192, 498–507. [Google Scholar] [CrossRef]
- Yang, T. Prediction of SOFC Performance with or without Experiments: A Study on Minimum Requirements for Experimental Data. Int. J. Electrochem. Sci. 2017, 12, 6801–6828. [Google Scholar] [CrossRef]
- Leonide, A.; Sonn, V.; Weber, A.; Ivers-Tiffée, E. Evaluation and Modeling of the Cell Resistance in Anode-Supported Solid Oxide Fuel Cells. J. Electrochem. Soc. 2008, 155, B36–B41. [Google Scholar] [CrossRef]
- Mogensen, M.; Electrochemical Characterization and Performance Evaluation. Roskilde, Denmark. 2010. Available online: https://orbit.dtu.dk/en/activities/electrochemical-characterization-and-performance-evaluation (accessed on 6 April 2021).
- Conti, B.; Bosio, B.; McPhail, S.J.; Santoni, F.; Pumiglia, D.; Arato, E. A 2-D model for Intermediate Temperature Solid Oxide Fuel Cells Preliminarily Validated on Local Values. Catalyst 2019, 9, 36. [Google Scholar] [CrossRef]
- Digiuseppe, G. Electrochemical Characterization and Mechanisms of Solid Oxide Fuel Cells by Electrochemical Impedance Spectroscopy Under Different Applied Voltages. In Proceedings of the International Conference on Fuel Cell Science, Engineering and Technology, Virtual Conference, 20–21 May 2010; Volume 2, pp. 205–220. [Google Scholar] [CrossRef]










| Fuel Cell Technology | System Level | Laboratory Level | ||
|---|---|---|---|---|
| Advantages | Disadvantages | Advantages | Disadvantages | |
| Low temperature Fuel Cells (Alkaline, Polymer Electrolyte Membrane, Phosphoric Acid, Direct Methanol, etc.) |
|
|
|
|
| High temperature Fuel Cells (Solid Oxide, Molten Carbonate, etc.) |
|
|
|
|
| T 700 °C; 750 °C; 800 °C | H2 Variations (%vol) | λ Variations | ||||||||
|---|---|---|---|---|---|---|---|---|---|---|
| Anodic Total Flow Rate 150 Nml/min | Air Composition ca. 79% N2; 21% O2 | |||||||||
| Chamber | Gas | Unit | 10% | 25% | 50% | 75% | 90% | 0.5 | 1 | 2 |
| Anode gas | H2 | Nml/min Nml/min | 15 | 37.5 | 75 | 112.5 | 135 | 75 | ||
| N2 | 135 | 112.5 | 75 | 37.5 | 15 | 75 | ||||
| Cathode gas | Air | Nml/min | 250 | 90 | 179 | 358 | ||||
| O2 | Nml/min | 52.5 | 18.75 | 37.5 | 75 | |||||
| λ | - | 1.4 | 0.5 | 1 | 2 | |||||
| Reference | SOFC Type | Testing Conditions | Technique | Used Housing | |
|---|---|---|---|---|---|
| Nakajima 2010 [59] | IT anode-supported microtubular SOFC | H2 25–100%vol Qan = 80–200 Nml/min UFf 19–57% j 0.5 (up to 0.8) A/cm2 | T = 690–790 °C Qca 1–2 NL/min O2 10–100%vol UFo 5.7% | IV polarization EIS | Quartz tube |
| Yahya et al. 2018 [36] | ASC (Solidpower) Ni|YSZ|GDC-LSCF | H2 20–96%vol H2O 4–80%vol Qan = 500 Nml/min j up to 0.8–1.2 A/cm2 | T = 700–800 °C | IV polarization | Unsealed alumina test-fixture |
| Thambiraj et al. 2020 [42] | ESC (Kerafol KF) Ni|YSZ|ScSZ-LSM | H2 76%vol + CO2 Qan = 325 Nml/min j up to 0.3–0.5 A/cm2 | T = 800–900 °C Qca 600 Nml/min O2 4–21%vol | IV polarization Post-mortem analysis | Ceramic housing |
| Leonide et al. 2008 [66] | Ni|YSZ|CGO-LSCF | H2 37%vol + CO2 H2O 5–63%vol Qan = 250 Nml/min | T = 650–850 °C Qca 250 Nml/min O2 1–21%vol | EIS-DRT | Ceramic housing |
| Present work | ASC (Solidpower) Ni|YSZ|GDC-LSCF | H2 10–90%vol Qan = 150 Nml/min UFf up to ≈50% j 0.3 (up to 0.85) A/cm2 | T = 700–800 °C Qca 250 Nml/min O2 21%vol UFo up to 30–40% | IV polarization | All-ceramic compact SOFC test rig |
Publisher’s Note: MDPI stays neutral with regard to jurisdictional claims in published maps and institutional affiliations. |
© 2021 by the authors. Licensee MDPI, Basel, Switzerland. This article is an open access article distributed under the terms and conditions of the Creative Commons Attribution (CC BY) license (https://creativecommons.org/licenses/by/4.0/).
Share and Cite
Del Zotto, L.; Monforti Ferrario, A.; Hatunoglu, A.; Dell’Era, A.; McPhail, S.; Bocci, E. Experimental Procedures & First Results of an Innovative Solid Oxide Fuel Cell Test Rig: Parametric Analysis and Stability Test. Energies 2021, 14, 2038. https://doi.org/10.3390/en14082038
Del Zotto L, Monforti Ferrario A, Hatunoglu A, Dell’Era A, McPhail S, Bocci E. Experimental Procedures & First Results of an Innovative Solid Oxide Fuel Cell Test Rig: Parametric Analysis and Stability Test. Energies. 2021; 14(8):2038. https://doi.org/10.3390/en14082038
Chicago/Turabian StyleDel Zotto, Luca, Andrea Monforti Ferrario, Arda Hatunoglu, Alessandro Dell’Era, Stephen McPhail, and Enrico Bocci. 2021. "Experimental Procedures & First Results of an Innovative Solid Oxide Fuel Cell Test Rig: Parametric Analysis and Stability Test" Energies 14, no. 8: 2038. https://doi.org/10.3390/en14082038
APA StyleDel Zotto, L., Monforti Ferrario, A., Hatunoglu, A., Dell’Era, A., McPhail, S., & Bocci, E. (2021). Experimental Procedures & First Results of an Innovative Solid Oxide Fuel Cell Test Rig: Parametric Analysis and Stability Test. Energies, 14(8), 2038. https://doi.org/10.3390/en14082038

