State of Charge (SOC) Estimation Based on Extended Exponential Weighted Moving Average H∞ Filtering
Abstract
1. Introduction
2. Battery Modeling
2.1. Model Establishment
2.2. Acquisition of SOC-OCV Curve
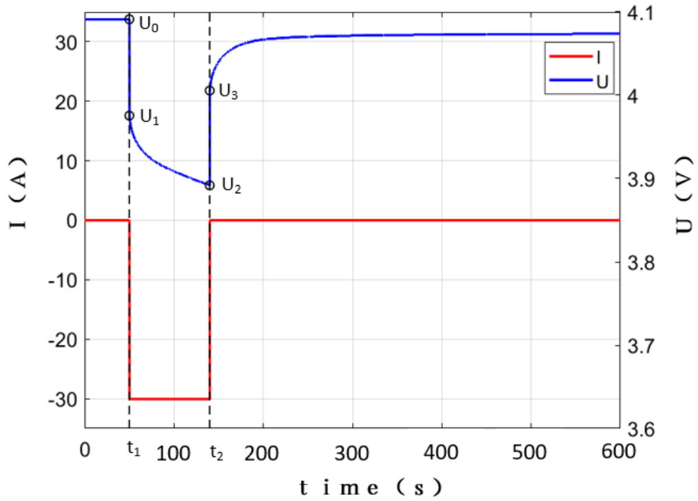
2.3. Model Parameters Identification
3. SOC Estimation
3.1. HIF Algorithm
3.2. EE-HIF Algorithm
4. Experimental Verification
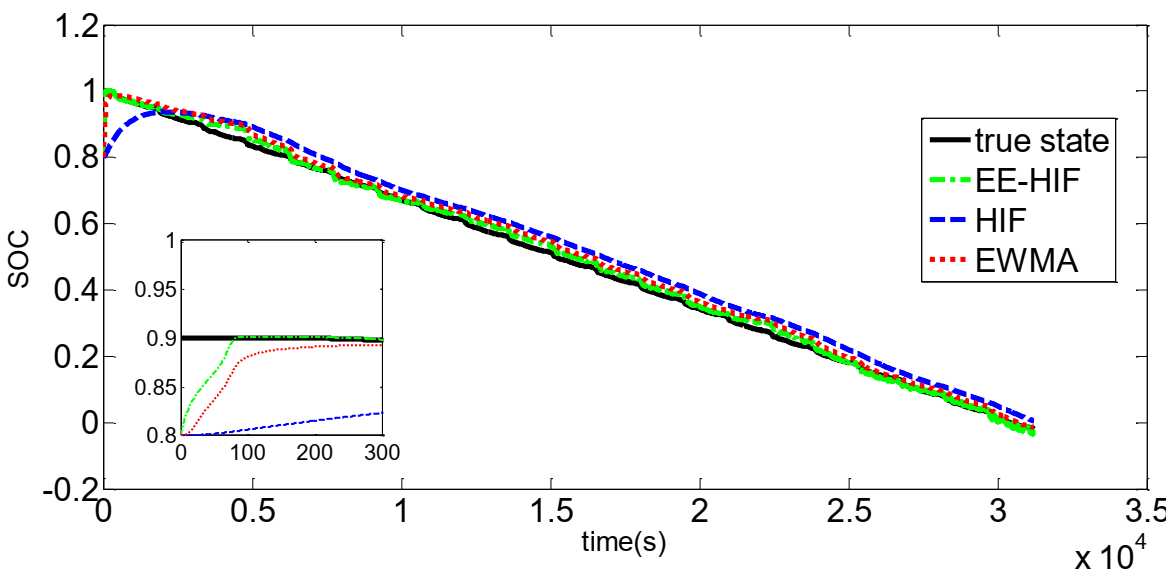
4.1. Comparative Analysis of the EWMA and HIF Algorithms
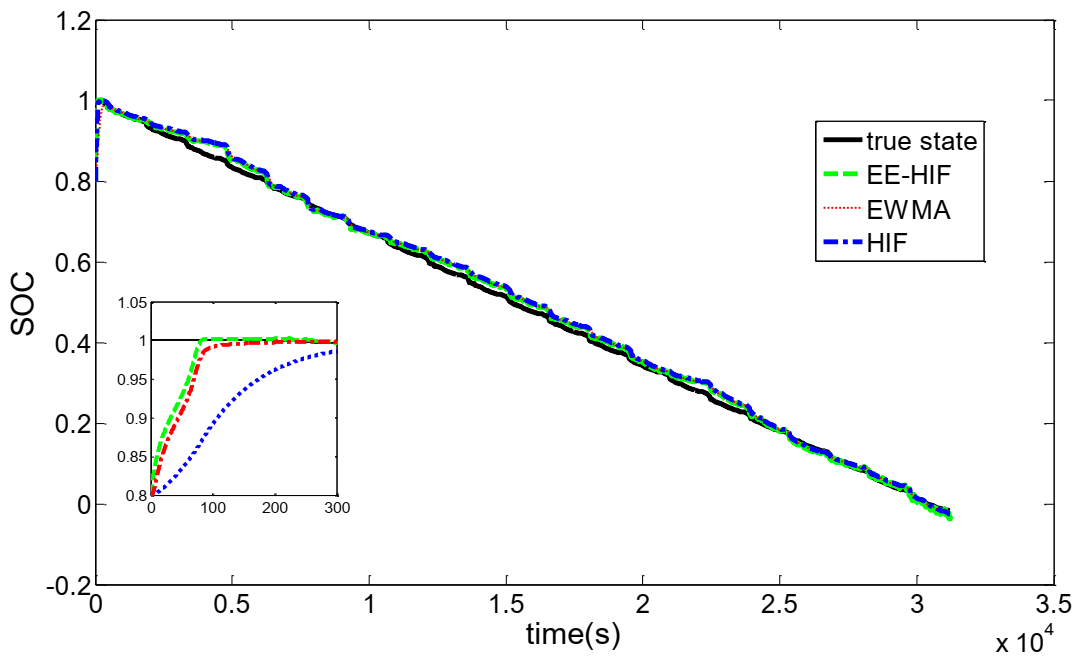
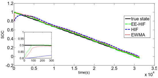
4.2. Comparative Analysis of Three Estimation Methods of the EE-HIF, EWMA, and HIF Algorithms
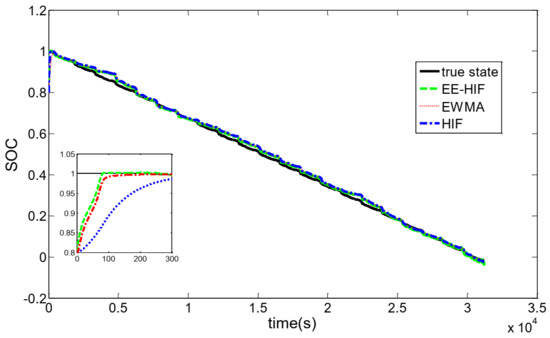
4.3. Comparative Analysis of the Three Estimation Methods (EE-HIF, EWMA, and HIF) When the Model Error Increases
4.4. Estimation under Variable Current
5. Conclusions
Author Contributions
Funding
Data Availability Statement
Acknowledgments
Conflicts of Interest
Nomenclatures
| SOC | state of charge |
| BMS | battery management system |
| OCV | open circuit voltage |
| KF | Kalman filter |
| EKF | extended Kalman filter |
| UKF | unscented Kalman filter |
| HIF | H∞ algorithm |
| EV | electric vehicle |
| EE-HIF | extended exponential weighted moving average H∞ algorithm |
| EWMA | exponential weighted moving average H∞ algorithm |
| RC | resistor–capacitor |
| system matrix | |
| input matrix | |
| output matrix | |
| direct transfer matrix | |
| filter gain vector | |
| second-order prediction covariance matrix | |
| unit matrix | |
| symmetric positive definite matrix that can be customized | |
| full rank custom matrix | |
| covariance of | |
| covariance of | |
| errormax | maximum error |
| RMSE | root mean square error |
| system noise | |
| observation noise | |
| constant weighting coefficient | |
| exponential weighting coefficient | |
| the standard deviation of the Gaussian function | |
| time constant of network | |
| the state variable of the system | |
| exponential weighted estimation value | |
| the prior value of | |
| the posterior value of | |
| the output of the lithium battery system | |
| control input of the battery system | |
| resistance of lithium battery system | |
| capacitance of lithium battery system | |
| sampling period | |
| operating current of the lithium battery | |
| the rated capacity of the lithium battery |
References
- Qiu, S.; Chen, Z.; Masrur, M.A.; Murphey, Y.L. Battery hysteresis modeling for state of charge estimation based on Extended Kalman Filter. In Proceedings of the 2011 6th IEEE Conference on Industrial Electronics and Applications (ICIEA), Beijing, China, 21–23 June 2011; pp. 184–189. [Google Scholar]
- Xiong, R.; Sun, F.; He, H. State-of-charge estimation of lithium-ion batteries in electric vehicles based on an adaptive extended Kalman filter. Chin. High Technol. Lett. 2012, 22, 198–204. [Google Scholar]
- Doucette, R.T.; McCulloch, M.D. Modeling the prospects of plug-in hybrid electric vehicles to reduce CO2 emissions. Appl. Energy 2011, 88, 2315–2323. [Google Scholar] [CrossRef]
- Kong, S.N.; Moo, C.S.; Chen, Y.P.; Hsieh, Y.C. Enhanced coulomb counting method for estimating state-of-charge and state-of-health of lithium-ion batteries. Appl. Energy 2009, 19, 1506–1511. [Google Scholar]
- Aylor, J.H.; Thieme, A.; Johnso, B.W. A battery state-of-charge indicator for electric wheelchairs. IEEE Trans. Ind. Electron. 1992, 39, 398–409. [Google Scholar] [CrossRef]
- Snihir, I.; Rey, W.; Verbitskiy, E.; Belfadhel-Ayeb, A.; Notten, P.H.L. Battery open-circuit voltage estimation by a method of statistical analysis. J. Power Sources 2005, 159, 1484–1487. [Google Scholar] [CrossRef]
- Shen, Y. Adaptive online state-of-charge determination based on neurocontroller and neural network. Energy Convers. Manag. 2010, 51, 1093–1098. [Google Scholar] [CrossRef]
- Wu, T.; Wang, M.; Xiao, Q.; Wang, X. The SOC estimation of power Li-ion battery based on ANFIS model. Smart Grid Renew. Energy 2012, 3, 51–55. [Google Scholar] [CrossRef]
- Lee, J.; Nam, O.; Cho, B.H. Li-ion battery SOC estimation method based on the reduced order extended Kalman filtering. J. Power Sources 2007, 174, 9–15. [Google Scholar] [CrossRef]
- Plett, G.L. Extended Kalman filterinig for battery management systems of LiPB-based HEV battery packs: Part 3. State of parameter estimation. J. Power Sources 2004, 134, 277–292. [Google Scholar] [CrossRef]
- Li, Z.; Zhang, P.; Wang, Z.; Song, Q.; Rong, Y. State of Charge Estimation for Li-ion Battery Based on Extended Kalman Filter. Energy Procedia 2017, 105, 3515–3520. [Google Scholar]
- Dai, H.; Wei, X.; Sun, Z. Design and implementation of a UKF-based SOC estimator for LiMnO2 batteries used on electric vehicles. J. Prz. Elektrotech. 2012, 88, 57–63. [Google Scholar]
- Zhang, F.; Liu, G.J.; Fang, L.J.; Wang, H.G. Estimation of Battery State of Charge with H–infinity Observer: Applied to a Robot for Inspecting Power Transmission Lines. IEEE Trans. Ind. Electron. 2012, 59, 1086–1095. [Google Scholar] [CrossRef]
- Yan, J.; Xu, G.; Xu, Y.; Xie, B. Battery state-of-charge estimation based on H∞ fifilter for hybrid electric vehicle. In Proceedings of the International Conference on Control, Automation, Robotics and Vision, Hanoi, Vietnam, 17–20 December 2008; pp. 464–469. [Google Scholar]
- Lin, C.; Mu, H.; Xiong, R.; Shen, W. A novel multi-model probability battery state of charge estimation approach for electric vehicles using H–infinity algorithm. Appl. Energy 2016, 166, 76–83. [Google Scholar] [CrossRef]
- Chen, Y.; Huang, D.; Feng, D.; Wei, K. An H∞ fifilter based approach for battery SOC estimation with performance analysis. In Proceedings of the IEEE International Conference on Mechatronics and Automation, Beijing, China, 2–5 August 2015; pp. 1613–1618. [Google Scholar]
- Li, Y.Y.; Wang, X.; Kang, C.; Wan, H.; Cheng, H.B. Power load estimation based on multi-dimensional composite model of exponential weighted moving average. J. East China Jiaotong Univ. 2019, 36, 102–108. [Google Scholar]
- Li, C.; Song, X.D. Improvement of index weighted moving average coefficient of variation control chart. J. Liaoning Univ. Eng. Technol. (Nat. Sci. Ed.) 2019, 38, 486–490. [Google Scholar]
- Meng, J.; Ricco, M.; Luo, G.; Swierczynski, M.; Stroe, D.I.; Stroe, A.I.; Teodorescu, R. An overview of online implementable soc estimation methods for lithium-ion batteries. In Proceedings of the 2017 International Conference on Optimization of Electrical and Electronic Equipment, OPTIM 2017 and 2017 Intl Aegean Conference on Electrical Machines and Power Electronics, Fundata, Romania, 25–27 May 2017; pp. 573–580. [Google Scholar]
- Hu, X.; Li, S.; Peng, H. A comparative study of equivalent circuit models for Li-ion batteries. J. Power Sources 2012, 198, 359–367. [Google Scholar] [CrossRef]
- Wang, C.; He, H.; Zhang, Y.; Mu, H. A comparative study on the applicability of ultracapacitor models for electric vehicles under different temperatures. Appl. Energy 2017, 196, 268–278. [Google Scholar] [CrossRef]
- Samad, N.A.; Wang, B.; Siegel, J.B.; Stefanopoulou, A.G. Parameterization of Battery Electro-Thermal Models Coupled with Finite Element Flow Models for Cooling. J. Dyn. Syst. Meas. Control 2017, 139, 071003. [Google Scholar] [CrossRef]
- Zhang, X.; Lu, J.; Yuan, S.; Yang, J.; Zhou, X. A novel method for identifification of lithium-ion battery equivalent circuit model parameters considering electrochemical properties. J. Power Sources 2017, 345, 21–29. [Google Scholar] [CrossRef]
- Li, X.; Li, J.; Xu, L.; Ouyang, M.; Han, X.; Lu, L.; Lin, C. Online management of lithium-ion battery based on time-triggered controller area network for fuel-cell hybrid vehicle applications. J. Power Sources 2009, 195, 3338–3343. [Google Scholar] [CrossRef]
- Li, Y.; Wang, C.; Gong, J. A combination Kalman filter approach for State of Charge estimation of lithium–ion battery considering model uncertainty. Energy 2016, 109, 933–946. [Google Scholar] [CrossRef]
- He, H.; Xiong, R.; Zhang, X.; Sun, F.; Fan, J. State-of-Charge Estimation of the Lithium-Ion Battery Using an Adaptive Extended Kalman Filter Based on an Improved Thevenin Model. IEEE Trans. Veh. Technol. 2011, 60, 1461–1469. [Google Scholar]
- Li, J.; Lai, Q.; Wang, L.; Lyu, C.; Wang, H. A method for SOC estimation based on simplifified mechanistic model for LiFePO4 battery. Energy 2016, 114, 1266–1276. [Google Scholar] [CrossRef]
- Sun, Z.X. SOC Estimation Algorithm and Verification of Power Lithiumion Battery Considering Temperature Influence; Jilin University: Jilin, China, 2018. [Google Scholar]
- Zhang, F.L.; Huang, Z.B.; Li, Z.F. The Analysis of Lithium Battery SOC Estimation Under Different Discharge Rate. J. Mach. Des. Manuf. 2018, 6, 262–265. [Google Scholar]
- Ingolfsson, A.; Sachs, E. Stability and Sensitivity of an Ewma Controller; Social Science Electronic Publishing: Rochester, NY, USA, 2013; pp. 271–287. [Google Scholar]
- Guo, H. A Simple Algorithm for Fitting a Gaussian Function [DSP Tips and Tricks]. J. IEEE Signal Process. Mag. 2011, 28, 134–137. [Google Scholar] [CrossRef]
- Mei, K.; Liu, X.Q.; Mu, C.; Qin, X.Q. Fast defogging algorithm based on adaptive exponential weighted moving average filter. J. China Laser 2020, 47, 250–259. [Google Scholar]














| Algorithm | H∞ (HIF) | Exponential Weighted Moving Average (EWMA) | Extended Exponential Weighted Moving Average H∞ (EE-HIF) |
|---|---|---|---|
| errormax | 3.24% | 2.23% | 1.91% |
| Root mean square error (RMSE) | 1.02% | 0.87% | 0.48% |
| Convergence speed | 6.9 s | 4.8 s | 3.6 s |
| Computational time | 4.23 s | 4.56 s | 5.08 s |
Publisher’s Note: MDPI stays neutral with regard to jurisdictional claims in published maps and institutional affiliations. |
© 2021 by the authors. Licensee MDPI, Basel, Switzerland. This article is an open access article distributed under the terms and conditions of the Creative Commons Attribution (CC BY) license (http://creativecommons.org/licenses/by/4.0/).
Share and Cite
Zhang, S.; Wan, Y.; Ding, J.; Da, Y. State of Charge (SOC) Estimation Based on Extended Exponential Weighted Moving Average H∞ Filtering. Energies 2021, 14, 1655. https://doi.org/10.3390/en14061655
Zhang S, Wan Y, Ding J, Da Y. State of Charge (SOC) Estimation Based on Extended Exponential Weighted Moving Average H∞ Filtering. Energies. 2021; 14(6):1655. https://doi.org/10.3390/en14061655
Chicago/Turabian StyleZhang, Shuaishuai, Youhong Wan, Jie Ding, and Yangyang Da. 2021. "State of Charge (SOC) Estimation Based on Extended Exponential Weighted Moving Average H∞ Filtering" Energies 14, no. 6: 1655. https://doi.org/10.3390/en14061655
APA StyleZhang, S., Wan, Y., Ding, J., & Da, Y. (2021). State of Charge (SOC) Estimation Based on Extended Exponential Weighted Moving Average H∞ Filtering. Energies, 14(6), 1655. https://doi.org/10.3390/en14061655

