Fractional Order Fuzzy Based Virtual Inertia Controller Design for Frequency Stability in Isolated Hybrid Power Systems
Abstract
1. Introduction
- The HPSREG model consists of a wind turbine generator (WTG) and diesel engine generator (DEG) along with ESS has been considered to validate the progress in the power demand balance in remote rural and urban areas.
- ESS unit is designed to mimic inertia along with its basic function of power balancing.
- The speed governor control mechanism of DEG and WTGs’ pitch control action has been explored using capacitive energy storage (CES) along with FO based fuzzy PID controller.
- A QOHS algorithm has been proposed to optimize various optimizable variables of HPSREG system.
- The effectiveness of the control system is experienced with uncertain and stochastic variation in load and parameter variation in system.
- The possible uses of CES in balancing power and, thus, balancing of weak HPSREG system is undertaken.
2. HPSREG System Overview and Modeling
2.1. Inertia Response for Frequency
2.2. WTG Modeling
2.3. DEG Modeling
2.4. Virtual Inertial Control for HPSREG System
3. System Controller Design
- to capture from the REGs the full power,
- to regulate the frequency and power deviation, and
- to control of energy in the HPSREG between generation and consumption.
3.1. FO Calculus Basic
3.2. Conventional and FO Based PID Controllers
3.3. FO Based Fuzzy PID Control System
4. Performance Index
- (a)
- For classical controllers:
- (b)
- For CES unit:
- (c)
- For SFs of FLC:
- (i)
- Input
- (ii)
- Output
5. Optimization Algorithm
5.1. Fundamentals of HS Algorithm
- (a)
- fewer mathematical calculations are needed,
- (b)
- stochastic random searches are involved and
- (c)
- generating better solution vector after investigative all the existing solution vectors.
- (a)
- Initialization: involves defining of algorithm parameters and objective function; and initialization of harmony memory (HM).
- (b)
- Harmony improvisation: involves randomization and the process of pitch adjustment for creating new solution vector and comparing it with HM stored solution vector.
- (c)
- Selection: involves selection and storing the best solution vector in HM until the termination criteria is encountered.
| Algorithm 1. HS Algorithm |
|
|
|
| for do |
| if then |
| % |
| if then |
| % |
| end if |
| else |
| % |
| end else |
| end for |
|
|
5.2. Quasi-Opposition Learning: A Concept
5.3. Quasi-Oppositional Population Initialization
- (a)
- Random population initialization with uniformly distributed,
- (b)
- Formation of population using quasi-opposite concept,
- (c)
- Evaluation of objective function for all the individuals and
- (d)
- Selection of fittest population set from the initial population set.
5.4. Quasi-Oppositional Generation Jumping
5.5. QOHS Algorithm
| Algorithm 2. QOHS Algorithm |
|
|
|
| fordo |
| for do |
| ; % : Opposite of initial |
| ; |
| if () |
| ; % |
| end if |
| else |
| ; |
| end else |
| end for |
| end for |
| % End of quasi-oppositional HM initialization. |
| Select HMS fittest individuals from set of as initial HM; HM being the matrix of fittest Xvectors |
|
| Update and . |
| for do |
| for do |
| if then |
| ; |
| % |
| if the |
| ; % |
| end if |
| else |
| ;% |
| end else |
| end if |
| end for |
| end for |
|
|
| if % , : Jumping rate |
| for do |
| for do |
| ; |
| % : minimum value of the jth variable of the ith parameter in the current generation (gn) |
| %: maximum value of the jth variable of the ith parameter in the current generation (gn) |
| ; |
| if () |
| ; % |
| end if |
| else |
| ; |
| end else |
| end for |
| end for |
| end if |
| Select fittest HM from the set of as current HM. |
| % End of quasi-oppositional generation jumping. |
|
6. Result Demonstration and Analysis
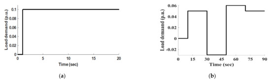
6.1. Case Study-A: Step Load Perturbation
6.2. Case Study-B: Random Load Perturbation
6.3. Case Study-C: Load Based Sensitivity Analysis
6.4. Case Study-D: Parameter Based Sensitivity Analysis
7. Conclusions and Future Work
Author Contributions
Funding
Institutional Review Board Statement
Informed Consent Statement
Data Availability Statement
Conflicts of Interest
References
- Jurasz, J.; Canales, F.; Kies, A.; Guezgouz, M.; Beluco, A. A review on the complementarity of renewable energy sources: Concept, metrics, application and future research directions. Sol. Energy 2020, 195, 703–724. [Google Scholar] [CrossRef]
- Hubble, A.H.; Ustun, T.S. Scaling renewable energy based microgrids in underserved communities: Latin America, South Asia, and Sub-Saharan Africa. In Proceedings of the 2016 IEEE PES PowerAfrica, Livingstone, Zambia, 28 June–3 July 2016; pp. 134–138. [Google Scholar]
- Marzband, M.; Ghazimirsaeid, S.S.; Uppal, H.; Fernando, T. A real-time evaluation of energy management systems for smart hybrid home Microgrids. Electr. Power Syst. Res. 2017, 143, 624–633. [Google Scholar] [CrossRef]
- Ustun, T.S.; Aoto, Y. Analysis of Smart Inverter’s Impact on the Distribution Network Operation. IEEE Access 2019, 7, 9790–9804. [Google Scholar] [CrossRef]
- Bevrani, H.; Watanabe, M.; Mitani, Y. Power System Monitoring and Control; John Wiley & Sons: Hoboken, NJ, USA, 2014. [Google Scholar]
- Rakhshani, E.; Remon, D.; Cantarellas, A.M.; Rodriguez, P. Analysis of derivative control based virtual inertia in mul-ti-area high-voltage direct current interconnected power systems. IET Gener. Transm. Distrib. 2016, 10, 1458–1469. [Google Scholar] [CrossRef]
- Bevrani, H.; Ise, T.; Miura, Y. Virtual synchronous generators: A survey and new perspectives. Int. J. Elect. Power Energy Syst. 2014, 54, 244–254. [Google Scholar] [CrossRef]
- Lopes, L.A. Self-Tuning Virtual Synchronous Machine: A Control Strategy for Energy Storage Systems to Support Dynamic Frequency Control. IEEE Trans. Energy Convers. 2014, 29, 833–840. [Google Scholar]
- Li, D.; Zhu, Q.; Lin, S.; Bian, X.Y. A Self-Adaptive Inertia and Damping Combination Control of VSG to Support Frequency Stability. IEEE Trans. Energy Convers. 2017, 32, 397–398. [Google Scholar] [CrossRef]
- Zhao, H.; Yang, Q.; Zeng, H. Multi-loop virtual synchronous generator control of inverter-based DGs under microgrid dynamics. IET Gener. Transm. Distrib. 2017, 11, 795–803. [Google Scholar] [CrossRef]
- Frack, P.F.; Mercado, P.E.; Molina, M.G. Extending the VISMA concept to improve the frequency stability in microgrids. In Proceedings of the 2015 18th International Conference on Intelligent System Application to Power Systems (ISAP), Porto, Portugal, 11–16 September 2015; pp. 1–6. [Google Scholar]
- Ustun, T.S. Design and Development of a Communication-Assisted Microgrid Protection System. Ph.D. Thesis, Victoria University, Melbourne, Australia, 2013. [Google Scholar]
- Gonzalez-Longatt, F.; Chikuni, E.; Rashayi, E. Effects of the synthesis inertia from wind power on the total system inertia after a frequency disturbance. In Proceedings of the 2013 IEEE International Conference on Industrial Technology (ICIT), Cape Town, South Africa, 5–28 February 2013; pp. 826–832. [Google Scholar]
- Mentesidi, K.; Garde, R.; Aguado, M.; Rikos, E. Implementation of a fuzzy logic controller for virtual inertial emulation. In Proceedings of the 2015 International Symposium on Smart Electric Distribution Systems and Technologies (EDST), Vienna, Austria, 8–11 September 2015; pp. 606–611. [Google Scholar]
- Hu, Y.; Wei, W.; Peng, Y.; Lei, J. Fuzzy virtual inertia control for virtual synchronous generator. In Proceedings of the 2016 35th Chinese Control Conference (CCC), Chengdu, China, 27–29 July 2016. [Google Scholar]
- Kerdphol, T.; Rahman, F.S.; Mitani, Y.; Hongesombut, K.; Küfeoğlu, S. Virtual inertia control-based model predictive control for microgrid frequency stabilization considering high renewable energy integration. Sustainability 2017, 9, 773. [Google Scholar] [CrossRef]
- Gheisarnejad, M. An effective hybrid harmony search and cuckoo optimization algorithm based fuzzy PID controller for load frequency control. Appl. Soft Comput. 2018, 65, 121–138. [Google Scholar] [CrossRef]
- Mahmoudi, S.M.; Maleki, A.; Ochbelagh, D.R. Optimization of a hybrid energy system with/without considering back-up system by a new technique based on fuzzy logic controller. Energy Convers. Manag. 2021, 229, 113723. [Google Scholar] [CrossRef]
- Das, S. Functional Fractional Calculus; Springer International Publishing: Berlin/Heidelberg, Germany, 2011. [Google Scholar]
- Das, S.; Pan, I.; Das, S.; Gupta, A. A novel fractional order fuzzy PID controller and its optimal time domain tuning based on integral performance indices. Eng. Appl. Artif. Intell. 2012, 25, 430–442. [Google Scholar] [CrossRef]
- Mahto, T.; Mukherjee, V. Fractional order fuzzy PID controller for wind energy-based hybrid power system using quasi-oppositional harmony search algorithm. IET Gener. Transm. Distrib. 2017, 11, 3299–3309. [Google Scholar] [CrossRef]
- Peraza, C.; Valdez, F.; Castro, J.R.; Castillo, O. Fuzzy Dynamic Parameter Adaptation in the Harmony Search Algorithm for the Optimization of the Ball and Beam Controller. Adv. Oper. Res. 2018, 2018, 3092872. [Google Scholar] [CrossRef]
- Castillo, O.; Valdez, F.; Soria, J.; Amador-Angulo, L.; Ochoa, P.; Peraza, C. Comparative study in fuzzy controller optimiza-tion using bee colony, differential evolution, and harmony search algorithms. Algorithms 2019, 12, 9. [Google Scholar] [CrossRef]
- Valdez, F.; Peraza, C. Dynamic parameter adaptation in the harmony search algorithm for the optimization of interval type-2 fuzzy logic controllers. Soft Comput. 2019, 24, 179–192. [Google Scholar] [CrossRef]
- Valdez, F.; Castillo, O.; Peraza, C. Fuzzy Logic in Dynamic Parameter Adaptation of Harmony Search Optimization for Benchmark Functions and Fuzzy Controllers. Int. J. Fuzzy Syst. 2020, 22, 1198–1211. [Google Scholar] [CrossRef]
- Mahto, T.; Malik, H.; Mukherjee, V.; Alotaibi, M.A.; Almutairi, A. Renewable generation based hybrid power system control using fractional order-fuzzy controller. Energy Rep. 2021, 7, 641–653. [Google Scholar] [CrossRef]
- Gu, D.W.; Petkov, P.; Konstantinov, M.M. Robust Control Design with MATLAB; Springer: New York, NY, USA, 2005. [Google Scholar]
- Bhatti, T.S.; Al-Ademi, A.A.; Bansal, N.K. Load frequency control of isolated wind diesel hybrid power systems. Energy Convers. Manag. 1997, 38, 829–837. [Google Scholar] [CrossRef]
- Licari, J.; Ekanayake, J.; Moore, I. Inertia response from full-power converter-based permanent magnet wind generators. J. Mod. Power Syst. Clean Energy 2013, 1, 26–33. [Google Scholar] [CrossRef]
- Senjyu, T.; Nakaji, T.; Uezato, K.; Funabashi, T. A Hybrid Power System Using Alternative Energy Facilities in Isolated Island. IEEE Trans. Energy Convers. 2005, 20, 406–414. [Google Scholar] [CrossRef]
- Kunder, P. Power System Stability and Control; McGraw Hill: New York, NY, USA, 1994. [Google Scholar]
- Chen, Y.; Petras, I.; Xue, D. Fractional Order Control—A tutorial; Institute of Electrical and Electronics Engineers (IEEE): Piscataway, NI, USA, 2009; pp. 1397–1411. [Google Scholar]
- Oldham, B.; Spanier, J. The Fractional Calculus; Academic Press: New York, NY, USA, 1974. [Google Scholar]
- Monje, C.A.; Chen, Y.; Vinagre, B.M.; Xue, D.; Feliu-Batlle, V. Fractional-Order Systems and Controls: Fundamentals and Applications; Springer: London, UK, 2010. [Google Scholar]
- Monje, C.A.; Vinagre, B.M.; Feliu, V.; Chen, Y. Tuning and auto-tuning of fractional order controllers for industry applications. Control. Eng. Pract. 2008, 16, 798–812. [Google Scholar] [CrossRef]
- Zhong, J. PID Controller Tuning: A Short Tutorial; Purdue University: West Lafayette, IN, USA, 2006. [Google Scholar]
- Podlubny, I. Fractional-order systems and PI/sup/spl lambda//D/sup/spl mu//-controllers. IEEE Trans. Autom. Control 1999, 44, 208–214. [Google Scholar] [CrossRef]
- Maiti, D.; Biswas, S.; Konar, A. Design of a fractional order PID controller using particle swarm optimization technique. arXiv 2008, arXiv:0810.3776. [Google Scholar]
- Mudi, R.; Pal, N. A robust self-tuning scheme for PI- and PD-type fuzzy controllers. IEEE Trans. Fuzzy Syst. 1999, 7, 2–16. [Google Scholar] [CrossRef]
- Lee, C.C. Fuzzy logic in control systems: Fuzzy logic controller-parts 1 and 2. IEEE Trans. Syst. Man Cybern. 1990, 20, 404–435. [Google Scholar] [CrossRef]
- Mamdani, E.; Assilian, S. An experiment in linguistic synthesis with a fuzzy logic controller. Int. J. Man Mach. Stud. 1975, 7, 1–13. [Google Scholar] [CrossRef]
- Woo, Z.-W.; Chung, H.-Y.; Lin, J.-J. A PID type fuzzy controller with self-tuning scaling factors. Fuzzy Sets Syst. 2000, 115, 321–326. [Google Scholar] [CrossRef]
- Banerjee, A.; Mukherjee, V.; Ghoshal, S. Modeling and seeker optimization based simulation for intelligent reactive power control of an isolated hybrid power system. Swarm Evol. Comput. 2013, 13, 85–100. [Google Scholar] [CrossRef]
- Geem, Z.W.; Kim, J.H.; Loganathan, G. A New Heuristic Optimization Algorithm: Harmony Search. Simulation 2001, 76, 60–68. [Google Scholar] [CrossRef]
- Yang, X.S. Music Inspired Harmony Search Algorithm: Theory and Applications; Springer: Berlin/Heidelberg, Germany, 2009. [Google Scholar]
- Banerjee, A.; Mukherjee, V.; Ghoshal, S. An opposition-based harmony search algorithm for engineering optimization problems. Ain Shams Eng. J. 2014, 5, 85–101. [Google Scholar] [CrossRef]
- Tizhoosh, H. Opposition-Based Learning: A New Scheme for Machine Intelligence. In Proceedings of the International Conference on Computational Intelligence for Modelling, Control and Automation and International Conference on Intelligent Agents, Web Technologies and Internet Commerce (CIMCA-IAWTIC’06), Vienna, Austria, 28–30 November 2005; pp. 695–701. [Google Scholar]
- Rahnamayan, S.; Tizhoosh, H.R.; Salama, M.M. Opposition versus randomness in soft computing techniques. Appl. Soft Comput. 2008, 8, 906–918. [Google Scholar] [CrossRef]
- Rahnamayan, S.; Tizhoosh, H.R.; Salama, M.M.A. Quasi-oppositional Differential Evolution. In Proceedings of the 2007 IEEE Congress on Evolutionary Computation, Singapore, 25–28 September 2007; pp. 2229–2236. [Google Scholar]
- Chatterjee, A.; Ghoshal, S.P.; Mukherjee, V. Solution of combined economic and emission dispatch problems of power systems by an opposition-based harmony search algorithm. Int. J. Elect. Power Energy Syst. 2012, 39, 9–20. [Google Scholar] [CrossRef]
- Mahto, T.; Mukherjee, V. Quasi-oppositional harmony search algorithm and fuzzy logic controller for load frequency stabilisation of an isolated hybrid power system. IET Gen. Trans. Distri. 2015, 9, 427–444. [Google Scholar] [CrossRef]










| Unit | Parameters | |
|---|---|---|
| WTG unit | KP1 = 1.25 | KP2 = 1.0 |
| KP3 = 1.4 | KPC = 0.080 | |
| KIG = 0.9969 | KTP = 0.0033 | |
| TP1 = 0.6 s | TP2 = 0.041 s | |
| TP3 = 1.0 s | TW = 4.00 s | |
| DEG unit | KD = 0.3333 | TD1 = 1.00 s |
| TD2 = 2.0 s | TD3 = 0.025 s | |
| TD4 = 3.0 s | ||
| ESS unit | KVI = 0.5 | TVI = 10 s |
| Power system | H = 0.083 | D = 0.015 |
| e | LN | SN | ZE | SP | LP | |
|---|---|---|---|---|---|---|
| LP | ZE | SP | LP | LP | LP | |
| SP | SN | ZE | SP | LP | LP | |
| ZE | LN | SN | ZE | SP | LP | |
| SN | LN | LN | SN | ZE | SP | |
| LN | LN | LN | LN | SN | ZE | |
| Controller | (s) | (s) | (s) | ISE | ITSE | IAE | ITAS | |
|---|---|---|---|---|---|---|---|---|
| PID without VI | 0.0638 | 16.21 | 0.017555 | 1.0793 | 14.44 | 7.267 | 3.432 | 8.173 |
| PID with VI-PID | 0.0624 | 6.559 | 0.018286 | 1.0806 | 11.74 | 6.117 | 2.984 | 6.438 |
| PID with VI-F-PID | 0.0611 | 5.125 | 0.002155 | 1.0752 | 5.703 | 3.121 | 2.036 | 4.682 |
| PID with VI-FO-F-PID | 0.0589 | 4.787 | 0.001732 | 1.0611 | 4.423 | 2.312 | 1.281 | 3.125 |
| Loading Condition | (s) | (s) | (s) | ISE | ITSE | IAE | ITAE | |
|---|---|---|---|---|---|---|---|---|
| True | 0.2943 | 23.3019 | 0.0023 | 1.0612 | 1.871 | 2.941 | 0.973 | 2.014 |
| +50% of | 0.2784 | 23.0598 | 0.0031 | 1.0609 | 3.334 | 4.691 | 2.481 | 3.974 |
| +100% of | 0.1933 | 23.0621 | 0.0039 | 1.0609 | 5.174 | 6.213 | 3.521 | 5.889 |
| Parameter Variation | (s) | (s) | (s) | ISE | ITSE | IAE | ITAE | |
|---|---|---|---|---|---|---|---|---|
| True KP | 0.2209 | 4.2099 | 0.0375 | 1.1965 | 4.423 | 2.312 | 1.281 | 3.125 |
| −50% of KP | 0.1475 | 4.5679 | 0.0320 | 1.2881 | 4.715 | 2.764 | 1.774 | 3.659 |
| +50% of KP | 0.6127 | 4.1112 | 0.0428 | 1.1147 | 4.271 | 2.177 | 2.463 | 3.078 |
| Parameter Variation | (s) | (s) | (s) | ISE | ITSE | IAE | ITAE | |
|---|---|---|---|---|---|---|---|---|
| True TP | 0.2209 | 4.2099 | 0.0375 | 1.1965 | 4.423 | 2.012 | 1.281 | 3.125 |
| −50% of TP | 0.2239 | 4.2143 | 0.04268 | 1.0869 | 4.253 | 2.356 | 2.249 | 5.546 |
| +50% of TP | 0.2249 | 4.2296 | 0.0385 | 1.1969 | 4.864 | 2.666 | 1.814 | 4.619 |
Publisher’s Note: MDPI stays neutral with regard to jurisdictional claims in published maps and institutional affiliations. |
© 2021 by the authors. Licensee MDPI, Basel, Switzerland. This article is an open access article distributed under the terms and conditions of the Creative Commons Attribution (CC BY) license (http://creativecommons.org/licenses/by/4.0/).
Share and Cite
Mahto, T.; Kumar, R.; Malik, H.; Hussain, S.M.S.; Ustun, T.S. Fractional Order Fuzzy Based Virtual Inertia Controller Design for Frequency Stability in Isolated Hybrid Power Systems. Energies 2021, 14, 1634. https://doi.org/10.3390/en14061634
Mahto T, Kumar R, Malik H, Hussain SMS, Ustun TS. Fractional Order Fuzzy Based Virtual Inertia Controller Design for Frequency Stability in Isolated Hybrid Power Systems. Energies. 2021; 14(6):1634. https://doi.org/10.3390/en14061634
Chicago/Turabian StyleMahto, Tarkeshwar, Rakesh Kumar, Hasmat Malik, S. M. Suhail Hussain, and Taha Selim Ustun. 2021. "Fractional Order Fuzzy Based Virtual Inertia Controller Design for Frequency Stability in Isolated Hybrid Power Systems" Energies 14, no. 6: 1634. https://doi.org/10.3390/en14061634
APA StyleMahto, T., Kumar, R., Malik, H., Hussain, S. M. S., & Ustun, T. S. (2021). Fractional Order Fuzzy Based Virtual Inertia Controller Design for Frequency Stability in Isolated Hybrid Power Systems. Energies, 14(6), 1634. https://doi.org/10.3390/en14061634

