Reduced-Order Modelling Applied to the Multigroup Neutron Diffusion Equation Using a Nonlinear Interpolation Method for Control-Rod Movement
Abstract
1. Introduction
2. Theory
2.1. Multigroup Neutron Diffusion Equation for Criticality
2.2. Discretisation of the High-Fidelity Model
2.3. Proper Orthogonal Decomposition Applied to Neutron Diffusion
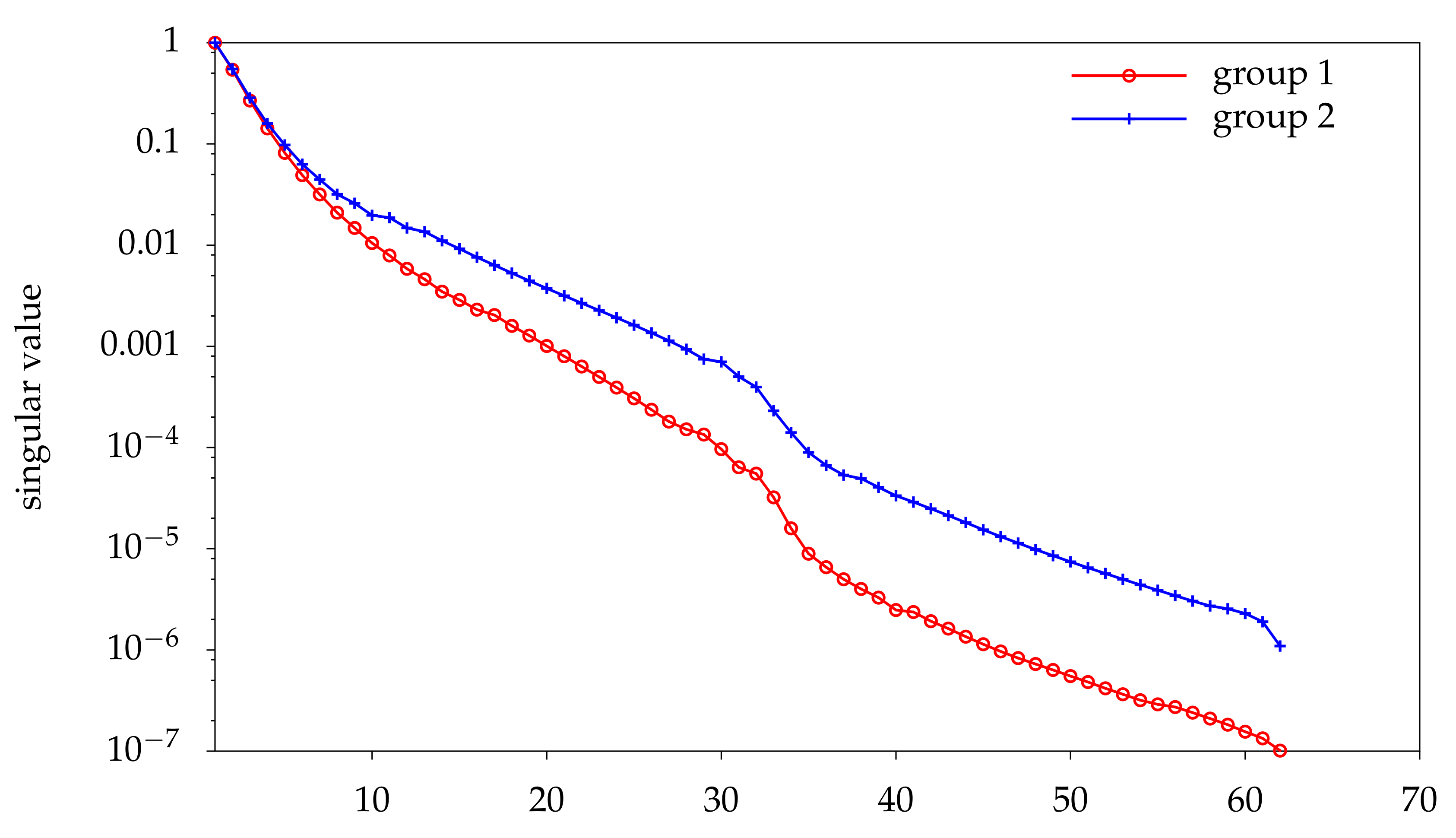
2.3.1. Offline Stage—Snapshots and Proper Orthogonal Decomposition (POD) Basis
2.3.2. Offline Stage—Projection
3. Reduced-Order Modelling Algorithms
3.1. Modelling of Temperature
3.2. Interpolating Reduced-Order Modelling Algorithms
3.2.1. Global Proper Orthogonal Decomposition
3.2.2. Local Proper Orthogonal Decomposition
3.3. Nonlinear Interpolation for the Control-Rod Movement
4. Results
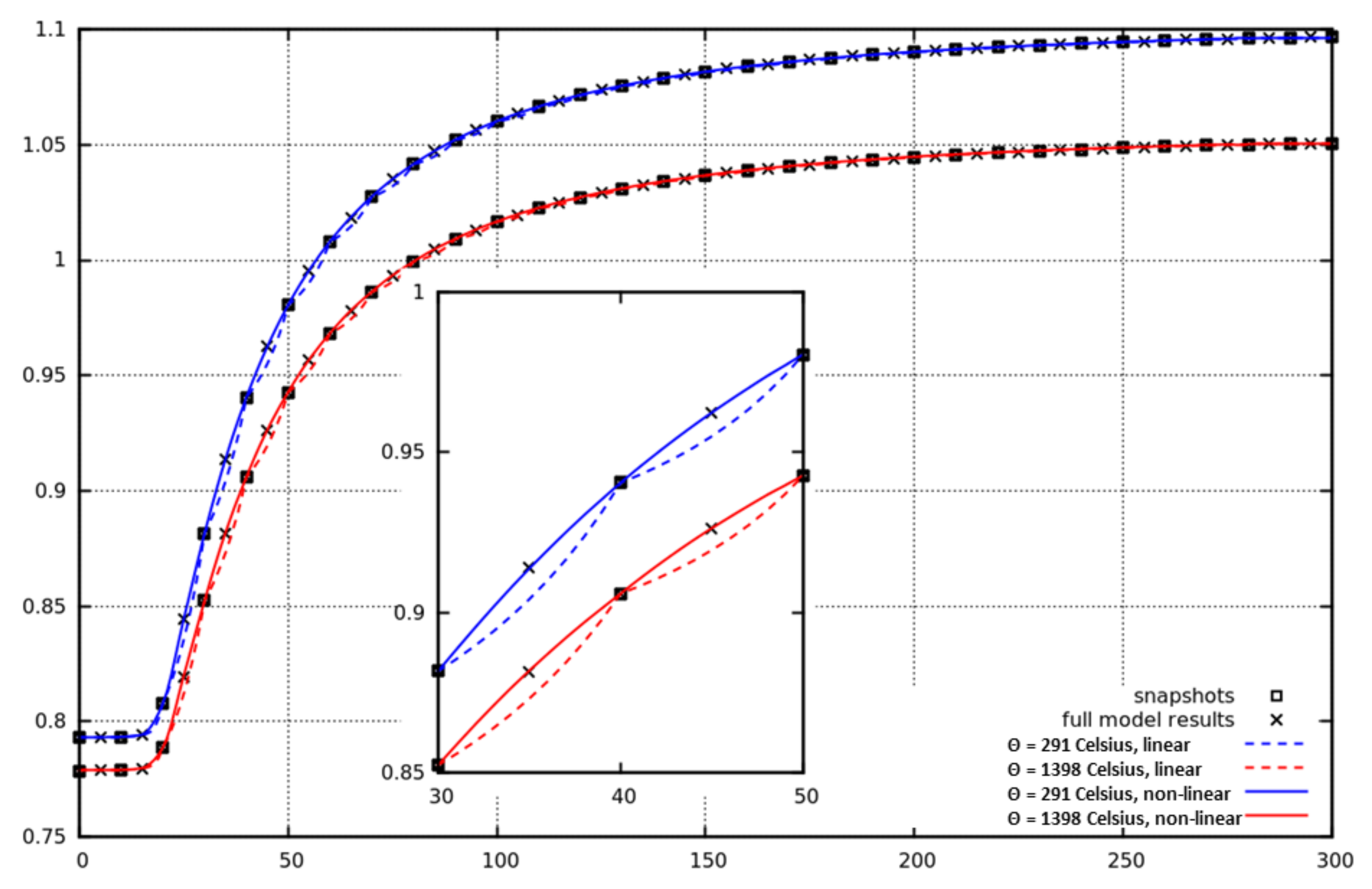
4.1. Problem Set-Up
4.2. Error Norms
4.3. Comparing Results from the Reduced Model Algorithms
4.3.1. Global Proper Orthogonal Decomposition
4.3.2. Local Proper Orthogonal Decomposition
5. Discussion and Conclusions
Author Contributions
Funding
Institutional Review Board Statement
Informed Consent Statement
Data Availability Statement
Acknowledgments
Conflicts of Interest
References
- Buchan, A.G.; Dargaville, S.; Pain, C.C. A combined immersed body and adaptive mesh method for simulating neutron transport within complex structures. Ann. Nucl. Energy 2019, 134, 88–100. [Google Scholar] [CrossRef]
- Dargaville, S.; Goffin, M.A.; Buchan, A.G.; Pain, C.C.; Smedley-Stevenson, R.P.; Smith, P.N.; Gorman, G. Solving the Boltzmann transport equation with multigrid and adaptive space/angle discretisations. Ann. Nucl. Energy 2015, 86, 99–107. [Google Scholar] [CrossRef]
- Dargaville, S.; Buchan, A.G.; Smedley-Stevenson, R.P.; Smith, P.N.; Pain, C.C. Scalable angular adaptivity for Boltzmann transport. J. Comput. Phys. 2020, 406, 109124. [Google Scholar] [CrossRef]
- Davidson, G.G.; Evans, T.M.; Jarrell, J.J.; Hamilton, S.P.; Slaybaugh, R.N. Massively Parallel, Three-Dimensional Transport Solutions for the k-Eigenvalue Problem. Nucl. Sci. Eng. 2014, 177, 111–125. [Google Scholar] [CrossRef]
- Slaybaugh, R.N.; Ramirez-Zweiger, M.; Pandya, T.; Hamilton, S.; Evans, T.M. Eigenvalue Solvers for Modeling Nuclear Reactors on Leadership Class Machines. Nucl. Sci. Eng. 2018, 190, 31–44. [Google Scholar] [CrossRef]
- Schilders, W.H.A.; van der Vorst, H.A.; Rommes, J. (Eds.) Model order reduction: Theory, research aspects and applications. In The European Consortium for Mathematics in Industry; Springer: Berlin, Germany, 2008; Volume 13. [Google Scholar]
- Chinesta, F.; Leygue, A.; Bordeu, F.; Aguado, J.V.; Cueto, E.; Gonzalez, D.; Alfaro, I.; Ammar, A.; Huerta, A. PGD-Based Computational Vademecum for Efficient Design, Optimization and Control. Arch. Comput. Methods Eng. 2013, 20, 31–59. [Google Scholar] [CrossRef]
- Zahr, M.J.; Farhat, C. Progressive construction of a parametric reduced-order model for PDE-constrained optimization. Int. J. Numer. Methods Eng. 2015, 102, 1111–1135. [Google Scholar] [CrossRef]
- Niroomandi, S.; Alfaro, I.; Gonzalez, D.; Cueto, E.; Chinesta, F. Real-time simulation of surgery by reduced order modelling and X-FEM techniques. Int. J. Numer. Methods Biomed. Eng. 2011, 28, 574–588. [Google Scholar] [CrossRef] [PubMed]
- Aguado, J.V.; Huerta, A.; Chinesta, F.; Cueto, E. Real-time monitoring of thermal processes by reduced-order modeling. Int. J. Numer. Methods Eng. 2015, 102, 991–1017. [Google Scholar] [CrossRef]
- Benner, P.; Gugercin, S.; Willcox, K. A Survey of Projection-Based Model Reduction Methods for Parametric Dynamical Systems. SIAM Rev. 2015, 57, 483–531. [Google Scholar] [CrossRef]
- Rheinboldt, W.C. On the Theory and Error Estimation of the Reduced Basis Method for Multi-Parameters Problems. Nonlinear Anal. Theory Methods Appl. 1993, 21, 849–858. [Google Scholar] [CrossRef]
- Hesthaven, J.S.; Stamm, B.; Zhang, S. Efficient greedy algorithms for high-dimensional parameter spaces with applications to empirical interpolation and reduced basis methods. ESAIM M2AN 2014, 48, 259–283. [Google Scholar] [CrossRef]
- Quarteroni, A.; Manzoni, A.; Negri, F. Reduced Basis Methods for Partial Differential Equations: An Introduction; Springer International Publishing: Berlin, Germany, 2016. [Google Scholar]
- Rozza, G.; Huynh, D.B.P.; Patera, A.T. Reduced Basis Approximation and a Posteriori Error Estimation for Affinely Parametrized Elliptic Coercive Partial Differential Equations. Arch. Comput. Methods Eng. 2008, 15. [Google Scholar] [CrossRef]
- Siddiqui, M.S.; Fonn, E.; Kvamsdal, T.; Rasheed, A. Finite-Volume High-Fidelity Simulation Combined with Finite-Element-Based Reduced-Order Modeling of Incompressible Flow Problems. Energies 2019, 12, 1271. [Google Scholar] [CrossRef]
- Castagna, C.; Aufiero, M.; Lorenzi, S.; Lomonaco, G.; Cammi, A. Development of a Reduced Order Model for Fuel Burnup Analysis. Energies 2020, 13, 890. [Google Scholar] [CrossRef]
- Sirovich, L. Turbulence and the dynamics of Coherent Structures. Part 1: Coherent Structures. Q. Appl. Math. 1987, 45, 561–571. [Google Scholar] [CrossRef]
- Holmes, P.; Lumley, J.L.; Berkooz, G.; Rowley, C.W. Turbulence, Coherent Structures, Dynamical Systems and Symmetry; Cambridge University Press: Cambridge, UK, 2012. [Google Scholar]
- Taira, K.; Brunton, S.L.; Dawson, S.T.M.; Rowley, C.W.; Colonius, T.; McKeon, B.J.; Schmidt, O.T.; Gordeyev, S.; Theofilis, V.; Ukeiley, L.S. Modal Analysis of Fluid Flows. AIAA J. 2017, 55, 4013–4041. [Google Scholar] [CrossRef]
- Lucia, D.J.; King, P.I.; Beran, P.S. Reduced order modeling of a two-dimensional flow with moving shocks. Comput. Fluids 2003, 32, 917–938. [Google Scholar] [CrossRef]
- Lee, K.; Carlberg, K.T. Model reduction of dynamical systems on nonlinear manifolds using deep convolutional autoencoders. J. Comput. Phys. 2020, 404, 108973. [Google Scholar] [CrossRef]
- Ahmed, S.E.; Rahman, S.M.; San, O.; Rasheed, A.; Navon, I.M. Memory embedded non-intrusive reduced order modeling of non-ergodic flows. Phys. Fluids 2019, 31, 126602. [Google Scholar] [CrossRef]
- Phillips, T.R.F.; Heaney, C.E.; Smith, P.N.; Pain, C.C. An autoencoder-based reduced-order model for eigenvalue problems with application to neutron diffusion. Int. J. Numer. Methods Eng. 2020. preprint. [Google Scholar]
- Buchan, A.G.; Pain, C.C.; Fang, F.; Navon, I.M. A POD reduced-order model for eigenvalue problems with application to reactor physics. Int. J. Numer. Methods Eng. 2013, 95, 1011–1032. [Google Scholar] [CrossRef]
- Sartori, A.; Cammi, A.; Luzzi, L.; Rozza, G. A Reduced Basis Approach for Modeling the Movement of Nuclear Reactor Control Rods. J. Nucl. Eng. Radiat. Sci. 2016, 2, 1–8. [Google Scholar] [CrossRef]
- Sartori, A.; Cammi, A.; Luzzi, L.; Rozza, G. Reduced Basis Approaches in Time-Dependent Non-Coercive Settings for Modelling the Movement of Nuclear Reactor Control Rods. Commun. Comput. Phys. 2016, 20, 23–59. [Google Scholar] [CrossRef]
- Zhang, C.; Chen, G. Fast solution of neutron diffusion problem by reduced basis finite element method. Ann. Nucl. Energy 2018, 111, 702–708. [Google Scholar]
- Zhang, C.; Chen, G. Fast solution of neutron transport SP3 equation by reduced basis finite element method. Ann. Nucl. Energy 2018, 120, 707–714. [Google Scholar] [CrossRef]
- Gong, H.; Chen, W.; Zhang, C.; Chen, G. Fast solution of neutron diffusion problem with movement of control rods. Ann. Nucl. Energy 2020, 149, 107814. [Google Scholar]
- Heaney, C.E.; Buchan, A.G.; Pain, C.C.; Jewer, S. A reduced order model for criticality problems in reactor physics varying control rod settings. In Proceedings of the 24th Conference on Computational Mechanics; Jefferson, A., Kerfriden, P., Eds.; ACME-UK: Cardiff, UK, 2016; pp. 327–330. [Google Scholar]
- Heaney, C.E.; Buchan, A.G.; Pain, C.C.; Jewer, S. Reactor Simulators and Reduced Order Modelling. Nuclear Future 2018, 14, 49–54. [Google Scholar]
- German, P.; Ragusa, J.C. Reduced-order modeling of parameterized multi-group diffusion k-eigenvalue problems. Ann. Nucl. Energy 2019, 134, 144–157. [Google Scholar] [CrossRef]
- Lorenzi, S. An Adjoint Proper Orthogonal Decomposition method for a neutronics reduced order model. Ann. Nucl. Energy 2018, 114, 245–258. [Google Scholar] [CrossRef]
- Choi, Y.; Brown, P.; Arrighi, W.; Anderson, R.; Huynh, K. Space-time reduced order model for large-scale linear dynamical systems with application to Boltzmann transport problems. J. Comput. Phys. 2021, 424, 109845. [Google Scholar] [CrossRef]
- Jamelot, E.; Ciarlet, P., Jr. Fast non-overlapping Schwarz domain decomposition methods for solving the neutron diffusion equation. J. Comput. Phys. 2013, 241, 445–463. [Google Scholar] [CrossRef]
- Cherezov, A.; Sanchez, R.; Joo, H.G. A reduced-basis element method for pin-by-pin reactor core calculations in diffusion and SP3 approximations. Ann. Nucl. Energy 2018, 116, 195–209. [Google Scholar] [CrossRef]
- Phillips, T.R.F.; Heaney, C.E.; Tollit, B.S.; Smith, P.N.; Pain, C.C. Reduced-Order Modelling with Domain Decomposition Applied to Multi-Group Neutron Transport. Energies 2021. accepted for publication. [Google Scholar]
- Fritsch, F.N.; Carlson, R.E. Monotone Piecewise Cubic Interpolation. SIAM J. Numer. Anal. 1980, 17, 238–246. [Google Scholar] [CrossRef]
- Cho, N. Fundamentals and Recent Developements of Reactor Physics Methods. Nucl. Eng. Technol. 2005, 37, 25–78. [Google Scholar]
- Yoon, J.I.; Joo, H.G. Two-Level Coarse Mesh Finite Difference Formulation with Multigroup Source Expansion Nodal Kernels. J. Nucl. Sci. Technol. 2008, 45, 668–682. [Google Scholar] [CrossRef]
- Munoz-Cobo, J.; Miró, R.; Wysocki, A.; Soler, A. 3D calculation of the lambda eigenvalues and eigenmodes of the two-group neutron diffusion equation by coarse-mesh nodal methods. Prog. Nucl. Energy 2019, 110, 393–409. [Google Scholar] [CrossRef]
- Newton, T.D.; Hutton, J.L. The next Generation WIMS Lattice Code: WIMS9. In Proceedings of the PHYSOR 2002, International Conference on the New Frontiers of Nuclear Technology, Seoul, Korea, 7–10 October 2002; Americal Nuclear Society: La Grange Park, IL, USA, 2002. [Google Scholar]
- Lumley, J.L. The Structure of Inhomogeneous Turbulent Flow. Atmos. Turbul. Radio Wave Propag. 1967, 166–178. [Google Scholar]
- Baur, U.; Benner, P.; Haasdonk, B.; Himpe, C.; Martini, I.; Ohlberger, M. Comparison of Methods for Parametric Model Order Reduction of Time-Dependent Problems. In Model Reduction and Approximation: Theory and Algorithms; Benner, P., Cohen, A., Ohlberger, M., Willcox, K., Eds.; Society for Industrial Applied Mathematics: Philadelphia, PA, USA, 2017; pp. 377–407. [Google Scholar]
- The FETCH Codes. Available online: www.imperial.ac.uk/earth-science/research/research-groups/amcg/software/fetch/ (accessed on 19 January 2021).
- Dalcin, L.; Kler, P.; Paz, R.; Cosimo, A. Parallel Distributed Computing using Python. Adv. Water Resour. 2011, 34, 1124–1139. [Google Scholar] [CrossRef]
- Hernandez, V.; Roman, J.E.; Vidal, V. SLEPc: A scalable and flexible tool kit for the solution of eigenvalue problems. ACM Trans. Math. Softw. 2005, 31, 351–362. [Google Scholar] [CrossRef]
- Langtangen, H.P.; Linge, S. Finite Difference Computing with PDEs: A Modern Software Approach; Springer: Berlin, Germany, 2017. [Google Scholar]












| = 291 °C | = 1398 °C | ||||
|---|---|---|---|---|---|
| Group 1 | Group 2 | Group 1 | Group 2 | ||
| 2.771021 × 10−3 | 5.774495 × 10−2 | 2.800322 × 10−3 | 6.148412 × 10−2 | ||
| 3.538874 × 10−1 | 3.651891 × 10−2 | 3.540753 × 10−1 | 3.650402 × 10−2 | ||
| Fuel region | 0 | 9.415292 × 10−1 | 0 | 9.378452 × 10−1 | |
| 1.517885 × 10−3 | 2.457978 × 10−2 | 1.534314 × 10−3 | 2.471806 × 10−2 | ||
| 2.756342 × 10−0 | 2.566988 × 10−0 | 2.758249 × 10−0 | 2.587363 × 10−0 | ||
| 9.996266 × 10−1 | 3.723758 × 10−4 | 9.996268 × 10−1 | 3.723757 × 10−4 | ||
| Control-rod region: | 5.602478 × 10−3 | 2.930136 × 10−1 | 5.617141 × 10−3 | 2.831443 × 10−1 | |
| control rod | 3.354628 × 10−1 | 3.309040 × 10−2 | 3.354471 × 10−1 | 3.306228 × 10−2 | |
| 0 | 8.465024 × 10−1 | 0 | 8.374902 × 10−1 | ||
| Control-rod region: | 1.886419 × 10−4 | 8.843329 × 10−3 | 1.886750 × 10−4 | 8.333319 × 10−3 | |
| water | 3.719904 × 10−1 | 6.081292 × 10−2 | 3.719480 × 10−1 | 6.077868 × 10−2 | |
| 0 | 1.284675 | 0 | 1.266680 | ||
| Points at Which Norm Is Evaluated | Interpolation | |||
|---|---|---|---|---|
| linear | 5.9 × 10−5 | 9.3 × 10−5 | 9.1 × 10−3 | |
| nonlinear | 4.3 × 10−6 | 2.2 × 10−5 | 2.3 × 10−3 | |
| linear | 2.1 × 10−3 | 9.7 × 10−3 | 4.5 × 10−2 | |
| nonlinear | 1.4 × 10−5 | 7.8 × 10−5 | 3.1 × 10−3 |
| Points at Which Norm Is Evaluated | Interpolation | |||
|---|---|---|---|---|
| linear | 2.0 × 10−3 | 9.1 × 10−3 | 5.8 × 10−2 | |
| nonlinear | 6.7 × 10−5 | 2.7 × 10−4 | 3.4 × 10−3 | |
| linear | 2.0 × 10−3 | 9.2 × 10−3 | 6.3 × 10−2 | |
| ) | nonlinear | 7.1 × 10−5 | 1.4 × 10−4 | 2.7 × 10−3 |
| Layer | 1 | 2 | 3 | 4 | 5 | 6 | 7 | 8 | 9 | 10 |
|---|---|---|---|---|---|---|---|---|---|---|
| group 1 | 5 | 5 | 4 | 4 | 4 | 4 | 3 | 3 | 3 | 3 |
| group 2 | 6 | 5 | 4 | 4 | 4 | 4 | 4 | 4 | 4 | 3 |
| 11 | 10 | 8 | 8 | 8 | 8 | 7 | 7 | 7 | 6 |
| Points at Which Norm Is Evaluated | Interpolation | |||
|---|---|---|---|---|
| linear | 1.0 × 10−4 | 1.3 × 10−4 | 8.7 × 10−3 | |
| nonlinear | 2.2 × 10−5 | 1.2 × 10−4 | 2.6 × 10−3 | |
| linear | 2.1 × 10−3 | 9.7 × 10−3 | 3.2 × 10−2 | |
| nonlinear | 2.4 × 10−5 | 1.2 × 10−4 | 2.4 × 10−3 |
| Points at Which Norm Is Evaluated | Interpolation | |||
|---|---|---|---|---|
| linear | 2.0 × 10−3 | 9.0 × 10−3 | 7.6 × 10−2 | |
| nonlinear | 1.0 × 10−4 | 2.2 × 10−4 | 2.0 × 10−3 | |
| linear | 2.0 × 10−3 | 9.1 × 10−3 | 8.1 × 10−2 | |
| nonlinear | 8.3 × 10−5 | 1.6 × 10−4 | 2.2 × 10−3 |
| GPOD | LPOD | ||
|---|---|---|---|
| offline costs | time taken per snapshot | 499 s | 499 s |
| total time taken for all snapshots | 30,990 s | 30,990 s | |
| total time taken for midpoint solutions | 14,995 s | 14,995 s | |
| number of basis functions used | 17 | between 3 and 5 | |
| 25 | between 3 and 6 | ||
| online costs | time taken for one ROM calculation | s | s |
| time taken to reconstruct the flux | s | s | |
| speed up | 120,000 | 150,000 |
Publisher’s Note: MDPI stays neutral with regard to jurisdictional claims in published maps and institutional affiliations. |
© 2021 by the authors. Licensee MDPI, Basel, Switzerland. This article is an open access article distributed under the terms and conditions of the Creative Commons Attribution (CC BY) license (http://creativecommons.org/licenses/by/4.0/).
Share and Cite
Heaney, C.E.; Buchan, A.G.; Pain, C.C.; Jewer, S. Reduced-Order Modelling Applied to the Multigroup Neutron Diffusion Equation Using a Nonlinear Interpolation Method for Control-Rod Movement. Energies 2021, 14, 1350. https://doi.org/10.3390/en14051350
Heaney CE, Buchan AG, Pain CC, Jewer S. Reduced-Order Modelling Applied to the Multigroup Neutron Diffusion Equation Using a Nonlinear Interpolation Method for Control-Rod Movement. Energies. 2021; 14(5):1350. https://doi.org/10.3390/en14051350
Chicago/Turabian StyleHeaney, Claire E., Andrew G. Buchan, Christopher C. Pain, and Simon Jewer. 2021. "Reduced-Order Modelling Applied to the Multigroup Neutron Diffusion Equation Using a Nonlinear Interpolation Method for Control-Rod Movement" Energies 14, no. 5: 1350. https://doi.org/10.3390/en14051350
APA StyleHeaney, C. E., Buchan, A. G., Pain, C. C., & Jewer, S. (2021). Reduced-Order Modelling Applied to the Multigroup Neutron Diffusion Equation Using a Nonlinear Interpolation Method for Control-Rod Movement. Energies, 14(5), 1350. https://doi.org/10.3390/en14051350

