Initial Results of an Extensive, Long-Term Study of the Forecasting of Voltage Sags †
Abstract
1. Introduction
2. Main Characteristics of the Measured Data and Time Aggregation for Multiple Sags
- the sequential number of the sag (#);
- the code that identifies the HV/MV substation (ID Sub);
- the code that identifies the MV busbar (ID Bus);
- the phase involved (RS and/or ST and/or TR);
- the start time of the sag in terms of day, month, year, hour, minute, second with a least a resolution of hundredths of a second (Tocc);
- the duration of the sag with at least resolution of hundredths of a second (D);
- the nominal voltage in kV (Vn)
- the residual voltage both in kV and in percentage of Vn (Vr);
- the intervention of the distance protection (DP);
- the intervention of the maximum current protection of the transformer (MaxITr) (the type of voltage sag if true (T), false (F), not available (NA) The classification true-false-not available refers to the possible effects of the voltage transformer saturation used in the MSs, which can result in false voltage sags. The resolution of ARERA [22] required DSOs to install a proper algorithm in the MSs for identifying the true voltage sags, distinguishing them from false sags and from those whose identification is not unique (indicated in the table with not available). The algorithm is based on the measurement of the asymmetry of the voltage waveform during the sag [28].
- the system, HV or MV, where the sag was originated (Origin).
- (1)
- the effect on the operation of equipment and processes;
- (2)
- the possibility of incorrect registration;
- (3)
- the common cause that originated them.
3. The Use of ttne for the Statistical Analysis of Measured Voltage Sags: Clusters and Rare Sags
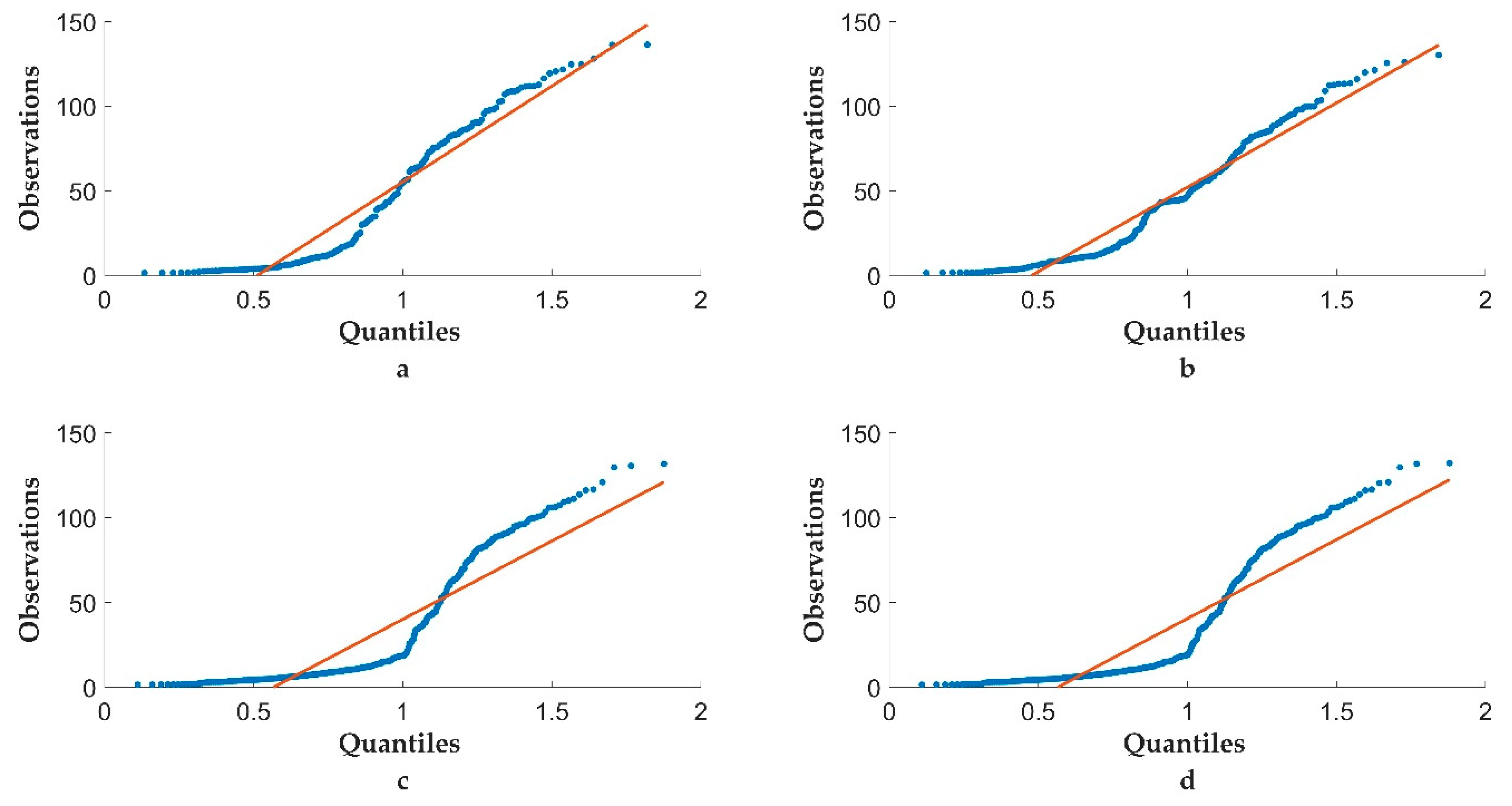
4. Assessing the Assumption about the Exponential Distribution of the Rare Voltage Sags
5. Forecast of the Average Expected Performance
6. Conclusions
Author Contributions
Funding
Institutional Review Board Statement
Informed Consent Statement
Data Availability Statement
Conflicts of Interest
References
- European Committee for Electrotechnical Standardization. EN50160, Voltage Characteristics of Electricity Supplied by Public Electricity Networks; CENELEC: Brussels, Belgium, 2016. [Google Scholar]
- Bollen, M.H.J. Understanding Power Quality Problems: Voltage Sags and Interruptions; IEEE Press: New York, NY, USA, 1999. [Google Scholar]
- Carpinelli, G.; Caramia, P.; Di Perna, C.; Varilone, P.; Verde, P. Complete matrix formulation of fault-position method for voltage-dip characterisation. IET Gener. Transm. Distrib. 2007, 1, 56. [Google Scholar] [CrossRef]
- Caramia, P.; Carpinelli, G.; Di Perna, C.; Varilone, P.; Verde, P. Fast Probabilistic Assessment of Voltage Dips in Power Systems. In Proceedings of the 2006 International Conference on Probabilistic Methods Applied to Power Systems, Stockholm, Sweden, 11–15 June 2006; pp. 1–6. [Google Scholar]
- Gong, X.; Yu, Y.; Wang, B.; Ye, F.; Zhou, N. A severity assessment method for multiple voltage sag. In Proceedings of the 2017 IEEE 3rd Information Technology and Mechatronics Engineering Conference (ITOEC), Chongqing, China, 3–5 October 2017; pp. 135–140. [Google Scholar]
- IEEE Guide for Voltage Sag Indices. In IEEE Std 1564–2014; IEEE: Piscataway, NJ, USA, 2014; pp. 1–59.
- Joint Working Group Cigre/Cired C4.110. Voltage Dip Immunity of Equipment and Installations; Report 412; Cigré: Paris, France, 2010. [Google Scholar]
- Sadigh, A.K.; Smedley, K.M. Review of voltage compensation methods in dynamic voltage restorer (DVR). In Proceedings of the 2012 IEEE Power and Energy Society General Meeting, San Diego, CA, USA, 22–26 July 2012; pp. 1–8. [Google Scholar]
- Mottola, F.; Proto, D.; Varilone, P.; Verde, P. Planning of Distributed Energy Storage Systems in μGrids Accounting for Voltage Dips. Energies 2020, 13, 401. [Google Scholar] [CrossRef]
- Vilathgamuwa, D.; Perera, A.; Choi, S. Voltage sag compensation with energy optimized dynamic voltage restorer. IEEE Trans. Power Deliv. 2003, 18, 928–936. [Google Scholar] [CrossRef]
- Milanović, J.V.; Gupta, C.P. Probabilistic Assessment of Financial Losses due to Interruptions and Voltage Sags—Part I: The Methodology. IEEE Trans. Power Deliv. 2006, 21, 918–924. [Google Scholar] [CrossRef]
- Milanovic, J.V.; Gupta, C.P. Probabilistic Assessment of Financial Losses due to Interruptions and Voltage Sags—Part II: Practical Implementation. IEEE Trans. Power Deliv. 2006, 21, 925–932. [Google Scholar] [CrossRef]
- Didden, M.; Belmans, R.; D’Haeseleer, W. Cost-benefit analysis of voltage sag mitigation methods in fiber extrusion plants. Eur. Trans. Electr. Power 2003, 13, 73–77. [Google Scholar] [CrossRef]
- Di Fazio, A.; Duraccio, V.; Varilone, P.; Verde, P. Voltage sags in the automotive industry: Analysis and solutions. Electr. Power Syst. Res. 2014, 110, 25–30. [Google Scholar] [CrossRef]
- Dos Santos, A.; De Barros, M.C. Voltage sag prediction for network planning. Electr. Power Syst. Res. 2016, 140, 976–983. [Google Scholar] [CrossRef]
- Olguin, G.; Aedo, M.; Arias, M.; Ortiz, A. A Monte Carlo Simulation Approach to the Method of Fault Positions for Stochastic Assessment of Voltage Dips (Sags). In Proceedings of the 2005 IEEE/PES Transmission & Distribution Conference & Exposition: Asia and Pacific, Dalian, China, 18 August 2005; pp. 1–6. [Google Scholar]
- Caramia, P.; Varilone, P.; Verde, P.; Vitale, L. Tools for Assessing the Robustness of Electrical System against Voltage Dips in terms of Amplitude, Duration and Frequency. Renew. Energy Power Qual. J. 2014, 1, 177–182. [Google Scholar] [CrossRef]
- Lim, Y.; Strbac, G. Analytical approach to probabilistic prediction of voltage sags on transmission networks. IEEE Proc. Gener. Transm. Distrib. 2002, 149, 7–14. [Google Scholar] [CrossRef]
- Espinosa Juarez, E.; Hernandez, A. An Analytical Approach for Stochastic Assessment of Balanced and Unbalanced Voltage Sags in Large Systems. IEEE Trans. Power Deliv. 2006, 21, 1493–1500. [Google Scholar] [CrossRef]
- Directive (EU) 2019/944 of the European Parliament and of the Council of 5 June 2019 on Common Rules for the Internal Market for Electricity and Amending Directive 2012/27/EU; Parlamento Europeo e il Consiglio dell’Unione Europea: Brussels, Belgium, 2019; Available online: https://eur-lex.europa.eu/legal-content/EN/TXT/PDF/?uri=CELEX:32019L0944 (accessed on 22 February 2021).
- Incentives Schemes for Regulating Distribution System Operators, Including for Innovation; CEER: Brussels, Belgium, 2018; Available online: https://www.ceer.eu/documents/104400/-/-/f04f3e11-6a20-ff42-7536-f8afd4c06ba4 (accessed on 22 February 2021).
- AEEGSI. Resolution 29th December 2011, 198/2011. Available online: www.autorita.energia.it (accessed on 22 February 2021).
- ARERA. Resolution 23rd December 2019, 566/2019/R/EEL. Available online: https://www.arera.it/it/docs/19/566–19.html (accessed on 22 February 2021).
- CEI EN 61000–4-30: 2015. COR 2017. Electromagnetic Compatibility (EMC)-Part 4-30: Testing and Measurement Techniques-Power Quality Measurement Methods (IEC 61000–4-30:2015/COR1:2016). European Committee for Standards–Electrical. Available online: https://standards.iteh.ai/catalog/standards/clc/d368ab8d-9de5-4eae-90ed-9953b558c688/en-61000-4-30-2015-ac-2017-01 (accessed on 24 February 2021).
- Noce, C.; Di Stasio, L.; Varilone, P.; Verde, P.; De Santis, M. On the Forecast of the Voltage Sags: First Stages of Analysis on Real Systems. In Proceedings of the 2020 55th International Universities Power Engineering Conference (UPEC), Turin, Italy, 1–4 September 2020; pp. 1–6. [Google Scholar]
- Dos Santos, A.; Rosa, T.; De Barros, M.T.C. Stochastic Characterization of Voltage Sag Occurrence Based on Field Data. IEEE Trans. Power Deliv. 2018, 34, 496–504. [Google Scholar] [CrossRef]
- Caramia, P.; Di Mambro, E.; Varilone, P.; Verde, P. Impact of Distributed Generation on the Voltage Sag Performance of Transmission Systems. Energies 2017, 10, 959. [Google Scholar] [CrossRef]
- Chiumeo, R.; De Nigris, M.; Garbero, L.; Gandolfi, C.; Tenti, L.; Carpaneto, E. Implementation of a New Method for an Improved Voltage Dips Evaluation by the Italian Power Quality Monitoring System in Presence of VT Saturation Effects. Renew. Energy Power Qual. J. 2010, 1, 519–522. [Google Scholar] [CrossRef]
- De Santis, M.; Noce, C.; Varilone, P.; Verde, P. Analysis of the origin of measured voltage sags in interconnected networks. Electr. Power Syst. Res. 2018, 154, 391–400. [Google Scholar] [CrossRef]
- Noce, C.; De Santis, M.; Di Stasio, L.; Varilone, P.; Verde, P. Detecting the Origin of the Voltage Sags Measured in the Smart Grids. In Proceedings of the 2019 International Conference on Clean Electrical Power (ICCEP), Otranto, Italy, 2–4 July 2019; pp. 129–135. [Google Scholar]
- Liu, H.; Zeng, Q.; Liu, S.; Wu, Z.; Li, L.; Ma, R. Voltage sag analysis based on cluster analysis and correlation analysis. In IOP Conference Series: Materials Science and Engineering, Proceedings of the 2020 The 6th International Conference on Electrical Engineering, Control and Robotics, Xiamen, China, 10–12 January 2020; IOP Publishing: Bristol, UK, 2020; Volume 853, p. 12018. [Google Scholar]
- IEC 61000-4-11:2020, Electromagnetic Compatibility (EMC)-Part 4–11: Testing and Measurement Techniques-Voltage Dips, Short Interruptions and Voltage Variations Immunity Tests for Equipment with Input Current up to 16 A Per Phase. European Committee for Standards–Electrical. Available online: https://webstore.iec.ch/publication/63503#additionalinfo (accessed on 22 February 2021).
- Di Mambro, E.; Caramia, P.; Varilone, P.; Verde, P. Voltage sag estimation of real transmission systems for faults along the lines. In Proceedings of the 2018 18th International Conference on Harmonics and Quality of Power (ICHQP), Ljubljana, Slovenia, 13–16 May 2018; pp. 1–6. [Google Scholar]
- Qader, M.; Bollen, M.; Allan, R. Stochastic prediction of voltage sags in a large transmission system. IEEE Trans. Ind. Appl. 1999, 35, 152–162. [Google Scholar] [CrossRef]
- Bollen, M.H.J.; Gu, I.Y.-H. Signal Processing of Power Quality Disturbances; Wiley: Hoboken, NJ, USA, 2006. [Google Scholar]
- Papoulis, A. Probability, Random Variables, and Stochastic Processes; McGraw-Hill: Japan, Tokyo, 1965. [Google Scholar]
- Chambers, J.M.; Cleveland, W.S.; Kleiner, B.; Tukey, P.A. Graphical Methods for Data Analysis; CRC Press: Boca Raton, FL, USA, 2018. [Google Scholar]



























| # | ID Sub | ID Bus | RS | ST | TR | D | DP | MaxITR | Type | Origin | ||||
|---|---|---|---|---|---|---|---|---|---|---|---|---|---|---|
| 1 | Id_Sub Code | Id_Bus Code | X | X | X | (gg/mm/aaaa hh:mm:ss.cc) | (hh:mm:ss.cc) | kV | kV | % | Yes No | Yes No | T F NA | HV MV |
| . | …. | …. | . | . | . | …. | …. | . | . | . | …. | …. | …. | .. |
| M | …. | …. | . | . | . | …. | …. | … | . | . | …. | …. | …. | .. |
| Residual Voltage Vr (%) | Duration (ms) | ||||
|---|---|---|---|---|---|
| 10 ≤ t ≤ 200 | 200 < t ≤ 500 | 500 < t ≤ 1000 | 1000 < t ≤ 5000 | 5000 < t ≤ 60,000 | |
| 90 | 40.20 | 10.17 | 1.17 | 1.03 | 0.18 |
| 80 | 15.94 | 4.74 | 0.35 | 0.35 | 0.01 |
| 70 | 16.69 | 2.81 | 0.37 | 0.22 | 0.04 |
| 405 | 4.36 | 0.52 | 0.12 | 0.02 | 0.01 |
| 0.05 | 0.00 | 0.00 | 0.00 | 0.00 | |
| Residual Voltage Vr (%) | Duration (ms) | ||||
|---|---|---|---|---|---|
| 10 ≤ t ≤ 200 | 200 < t ≤ 500 | 500 < t ≤ 1000 | 1000 < t ≤ 5000 | 5000 < t ≤ 60,000 | |
| 90 | 41.65 | 8.99 | 1.15 | 0.95 | 0.21 |
| 80 | 16.53 | 4.27 | 0.39 | 0.34 | 0.01 |
| 70 | 16.89 | 2.37 | 0.40 | 0.22 | 0.04 |
| 405 | 4.22 | 0.41 | 0.14 | 0.01 | 0.00 |
| 0.06 | 0.00 | 0.00 | 0.00 | 0.00 | |
| Site # | P50%(s) | P50%(h) |
|---|---|---|
| 20 | 35,000 | 9.7 |
| 44 | 64,000 | 17.8 |
| 74 | 1836 | 0.5 |
| 75 | 1951 | 0.5 |
| #Site | P50%(s) | P50% (h) |
|---|---|---|
| 20 | 2.8 × 105 | 77.8 |
| 44 | 1.4 × 105 | 38.9 |
| 74 | 2.3 × 105 | 63.9 |
| 75 | 2.3 × 105 | 63.9 |
| Site # | Number of Rare Voltage Sags | Correlation Factor r |
|---|---|---|
| 128 | 0.99 | |
| 173 | 0.99 | |
| 155 | 0.98 | |
| 164 | 0.98 |
| Site # | Number of Total Voltage Sags (Rare Sags and Clusters) | Correlation Factor r |
|---|---|---|
| 208 | 0.96 | |
| 261 | 0.97 | |
| 368 | 0.89 | |
| 380 | 0.89 |
| Site # | Nm,k | εf,k (%) | ||
|---|---|---|---|---|
| 955,316.20 | 33 | 32 | 3.12 | |
| 652,144.06 | 48 | 50 | 4.00 | |
| 895,082.38 | 35 | 97 | 63.92 | |
| 75 | 915,980.25 | 34 | 98 | 65.31 |
| Site # | Nm,k | εf,k (%) | ||
|---|---|---|---|---|
| 74 | 5.7 × 105 | 58 | 58 | 0.00 |
| 75 | 5.5 × 105 | 57 | 57 | 0.00 |
Publisher’s Note: MDPI stays neutral with regard to jurisdictional claims in published maps and institutional affiliations. |
© 2021 by the authors. Licensee MDPI, Basel, Switzerland. This article is an open access article distributed under the terms and conditions of the Creative Commons Attribution (CC BY) license (http://creativecommons.org/licenses/by/4.0/).
Share and Cite
De Santis, M.; Di Stasio, L.; Noce, C.; Verde, P.; Varilone, P. Initial Results of an Extensive, Long-Term Study of the Forecasting of Voltage Sags. Energies 2021, 14, 1264. https://doi.org/10.3390/en14051264
De Santis M, Di Stasio L, Noce C, Verde P, Varilone P. Initial Results of an Extensive, Long-Term Study of the Forecasting of Voltage Sags. Energies. 2021; 14(5):1264. https://doi.org/10.3390/en14051264
Chicago/Turabian StyleDe Santis, Michele, Leonardo Di Stasio, Christian Noce, Paola Verde, and Pietro Varilone. 2021. "Initial Results of an Extensive, Long-Term Study of the Forecasting of Voltage Sags" Energies 14, no. 5: 1264. https://doi.org/10.3390/en14051264
APA StyleDe Santis, M., Di Stasio, L., Noce, C., Verde, P., & Varilone, P. (2021). Initial Results of an Extensive, Long-Term Study of the Forecasting of Voltage Sags. Energies, 14(5), 1264. https://doi.org/10.3390/en14051264

